Intervalo entre primos

Um intervalo entre primos consecutivos é a diferença entre dois números primos sucessivos. O n-ésimo intervalo de primos, denotado por gn ou g(pn) (Usa-se a letra g do inglês prime gap) é a diferença entre (n + 1)-ésimo é o n-ésimo números primos, i.e.
Tem-se que g1 = 1, g2 = g3 = 2, e g4 = 4. A sequência (gn) dos intervalos entre primos é intensamente estudada, por conta de sua importância na distribuição dos números primos. Apesar disso, diversas conjecturas permanecem sem demonstração ou refutação. Os primeiros 60 intervalos entre dois primos consecutivos são:
- 1, 2, 2, 4, 2, 4, 2, 4, 6, 2, 6, 4, 2, 4, 6, 6, 2, 6, 4, 2, 6, 4, 6, 8, 4, 2, 4, 2, 4, 14, 4, 6, 2, 10, 2, 6, 6, 4, 6, 6, 2, 10, 2, 4, 2, 12, 12, 4, 2, 4, 6, 2, 10, 6, 6, 6, 2, 6, 4, 2, ... (sequência A001223 na OEIS).
Pela definição de gn, todo número primo pode ser escrito como
Observações iniciais
O primeiro, menor e único intervalo entre primos consecutivos ímpar é 1, entre o único número primo par, 2, e o primeiro número primo ímpar, 3. Todos os outros intervalos entre primos são pares, pelo fato de quaisquer dois primos consecutivos maiores que 3 terem diferença par. Existe apenas um par de intervalos entre três números naturais ímpares dos quais todos são primos. Estes intervalos são g2 eg3 entre os primos 3, 5 e 7 (o único par de números primos trigêmeos).
Para algum número primo P, escrevemos P# para representar P primorial, ou seja, o produto de todos os números primos menores ou iguais a P. Se Q é o número primo seguinte a P, então a sequência
é uma sequência Q − 2 números inteiros compostos, onde temos um intervalo entre primos de tamanho mínimo Q − 1. Portanto, existem intervalos entre primos de tamanho arbitrariamente longos, i.e., para cada número primo P, existe um inteiro n com g. Outra forma de ver que intervalos arbitrariamente grandes de primos é o fato de que a densidade de números primos se aproxima de zero, de acordo com o Teorema do Número Primo.
Na verdade, intervalos entre primos de P números podem ocorrer com números muito menores que P#. Por exemplo, a menor sequência de 71 números inteiros compostos consecutivos ocorre entre 31398 e 31468, enquanto 71# tem vinte e sete dígitos – seu valor total é 557940830126698960967415390.
Ainda que os intervalos das diferenças entre primos aumentem assintoticamente como o logaritmo neperiano, a razão dos intervalos entre primos para os inteiros decresce e assintoticamente é 0. Isso é novamente consequência do teorema do número primo.
Na direção oposta, a conjectura dos primos gêmeos afirma que gn = 2 para infinitos valores inteiros de n.
Resultados numéricos
O maior intervalo entre dois primos conhecidos até 2016 com prováveis primos identificados tem tamanho 4680156, com números primos de 99750 dígitos encontrada por Martin Raab. O maior intervalo entre dois primos com primos já provados tem tamanho 1113106, com números primos de 18662 encontrados por P. Cami, M. Jansen and J. K. Andersen.[2][3]
Dizemos que gn é um intervalo maximal, se gm < gn m < n. O maior intervalo maximal conhecido até agosto de 2016 tem tamanho 1476, encontrado por Tomás Oliveira e Silva. É o septuagésimo-sétimo intervalo maximal, e ocorre após o número primo 1425172824437699411.[4] Outros recordes de intervalos maximais podem ser vistos em (sequência A002386 na OEIS).
Em 1931, Westzynthius provou que os intervalos entre primos cresce de forma maior do que a logarítmica. Ou seja, [5]
Normalmente, a razão gn / ln(pn) é chamada de mérito de um intervalo entre primos gn .
| Mérito | gn | algarismos | pn | Data | Descobridor |
|---|---|---|---|---|---|
| 36,858288 | 10716 | 127 | 2016 | Dana Jacobsen | |
| 36,590183 | 13692 | 163 | 2016 | Dana Jacobsen | |
| 36,420568 | 26892 | 321 | 2016 | Dana Jacobsen | |
| 35,424459 | 66520 | 816 | 2012 | Michiel Jansen | |
| 35,310308 | 1476 | 19 | 1425172824437699411 | 2009 | Tomás Oliveira e Silva |
Até novembro de 2016, o maior valor de "mérito" conhecido foi descoberto por Dana Jacobsen, sendo
onde 283# indica o primorial de 283.[6]
A razão de Cramér–Shanks–Granville é dada por
O maior valor conhecido dessa razão é 0,9206386 para o primo 1693182318746371. Outros termos recordes estão em (sequência A111943 na OEIS).
|
|
|
Resultados posteriores
Limite superior
O postulado de Bertrand, provado em 1852, afirma que sempre existe um número primo entre k e 2k, em particular pn+1 < 2pn, o que significa que gn < pn.
O teorema do número primo, provado em 1896, diz que as distâncias totais entre dois intervalos entre o primo p e o próximo primo é ln(p). O real tamanho do intervalo pode ser muito maior ou menor. Apesar disso, o teorema do número primo nos deduz um limite superior para o tamanho dos intervalos entre primos: Para todo ε > 0, existe um número N tal que
- gn < εpn n > N.
Pode-se deduzir que os intervalos arbitrariamente pequenos tem proporções com os números primos a partir do limite do quociente
Hoheisel em 1930 foi o primeiro a mostrar[9] que existe uma constante θ < 1 tal que
mostrando assim que
para n suficientemente grande.
Hoheisel obteve um possível valor para θ. O valor da constante foi posteriormente aprimorado para Heilbronn,[10] e para θ = 3/4 + ε, para algum ε > 0, por Chudakov.[11]
O melhor resultado é devido a Ingham,[12] que mostrou que
para alguma constante positiva c, onde O' refere-se à notação de ordem de grandeza, e
para algum . ζ denota a função zeta de Riemann e π a função contagem de números primos. Sabendo que para algum é admissível, obtém-se que θ é um número maior que .
Uma consequência imediata do resultado de Ingham é que sempre existe um número primo entre n3 e (n + 1)3, se n é suficientemente grande.[13] A hipótese de Lindelöf pode implicar que a fórmula de Ingham funciona para qualquer constante positiva c: mas mesmo isso não é o suficiente para implicar que existe um número primo entre n2 e (n + 1)2 para n suficientemente grande (veja a Conjectura de Legendre). Para verificar isso, um resultado mais forte como a conjectura de Cramér se faz necessária.
Huxley em 1972 mostrou que pode-se escolher θ = \frac{7}{12} = 0,58(3).[14]
Um resultado, devido a Baker, Harman e Pintz em 2001, mostrou que θ pode ser tomado como sendo 0,525.[15]
Em 2005, Daniel Goldston, János Pintz e Cem Yıldırım demonstraram que
e dois anos mais tarde mostraram que [16]
Em 2013, Yitang Zhang provou que
significando assim que existem infinitos intervalos entre dois primos consecutivos que não excedem 70 milhões.[17] Um esforço colaborativo do projeto Polymath Project é feito para otimizar o limite de Zhang.[18] Em novembro de 2013, James Maynard criou um novo refinamento, permitindo a ele reduzir o limite para 600 e mostra que para algum m existe um intervalo maximal de m números primos.[19] Usando as ideias de Maynard, o projeto Polymath melhorou o limite para 46;[18][20] assumindo a conjectura de Elliott–Halberstam, N pode ser reduzido para 12 e 6, respectivamente.[18]
Limites inferiores
Em 1938, Robert Rankin provou a existência de uma constante c > 0 tal que a desigualdade
funciona para infinitos valores de n, melhorando os resultados de Westzynthius e Paul Erdős. Ele posteriormente mostrou que esta constante pode ser c < eγ,onde γ é a constante de Euler–Mascheroni. O valor da constante c foi melhorado em 1997 para um valor menor que 2eγ.[21]
Paul Erdős ofereceu um prêmio de $10000 (10000 dólares) para uma prova ou refutação de que a constante c na desigualdade acima pode ser tomado como sendo arbitrariamente grande. Foi provado como sendo correto em 2014 por Ford–Green–Konyagin–Tao e, de forma independente, por James Maynard.[22][23]
O resultado foi posteriormente melhorado para
para infinitos valores de n por Ford–Green–Konyagin–Maynard–Tao.[24]
Limites inferiores para cadeias de primos podem então ser determinados.[25]
Conjecturas sobre o intervalo entre primos

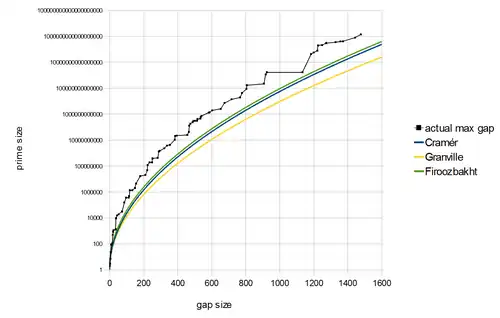
Mesmo melhores resultados estão condicionados à hipótese de Riemann. Harald Cramér demonstrou[26] que a hipótese de Riemann inplica que gn satisfaz[27]
Posteriormente, ele conjecturou que esses valores são sempre menores. Ou seja, a conjectura de Cramér utiliza a seguinte assertiva:
A conjectura de Firoozbakht afirma que (onde é o n-ésimo número primo) é uma função estritamente decrescente de n, i.e.,
Se esta conjectura for verdadeira, então a função satisfaz
Isso implica na forma forte da conjectura de Crámer, mas é inconsistente com as heurísticas de Granville e Pintz[29][30][31] que sugere que vale para onde denota a constante de Euler-Mascheroni.
Enquanto isso, a conjectura de Oppermann é mais fraca que a conjectura de Cramér. O tamanho esperado de um intervalo entre dois primos consecutivos com a conjectura de Oppermann é da ordem de
Como resultado, isso significa (assumindo a conjectura de Oppermann como verdadeira) m > 0 (provavelmente m = 30) para todo número natual n > m satisfaz
A conjectura de Andrica, a qual é mais fraca que a de Oppermann, afirma que[32]
Como uma função aritmética
O tamanho do intervalo gn entre o n-ésimo e o (n + 1)-ésimo números primos é um exemplo de função aritmética. Nesse contexto, é usualmente denotada por dn e chamada de função diferença entre primos.[32] Esta função não aditiva nem multiplicativa. [33]
Programa em Python
Vários tipos de programas podem ser feitos para calcular o valor de , sendo um importante recurso para a matemática computacional. Abaixo, tem-se uma versão para Python, que calcula para os números primos entre 1 e 10000 (até ao número primo 9973): [33]
def prime(num):
for divisor in range(2, num):
if num % divisor == 0:
return False
return True
list_prime = []
for i in range(1,10000):
if prime(i):
list_prime.append(i)
for n in range(2, len(list_prime)):
print(f'g({n-1}) = {list_prime[n] - list_prime[n-1]}')
Ver também
- Desigualdade de Bonse
- Números primos gêmeos
- Conjectura de Goldbach
Ligações externas
- Thomas R. Nicely, Some Results of Computational Research in Prime Numbers -- Computational Number Theory. (em inglês)
- Weisstein, Eric W. «Prime Difference Function». MathWorld (em inglês) (em inglês)
- Armin Shams, Re-extending Chebyshev's theorem about Bertrand's conjecture. (em inglês)
- www.primegaps.com Um site dedicado exclusivamente ao estudo de intervalos entre primos. (em inglês)
- Ian Stewart, Almanaque das curiosidades matemáticas. Rio de Janeiro, Zahar, 2009.
- Andrew Granville, Primes in Intervals of Bounded Length. (em inglês)
Referências
- ↑ "Hidden structure in the randomness of the prime number sequence?", S. Ares & M. Castro, 2005
- ↑ Andersen, Jens Kruse. «The Top-20 Prime Gaps». Consultado em 13 de junho de 2014
- ↑ Intervalo de tamanho 1113106
- ↑ Intervalos maximais
- ↑ Westzynthius, E. (1931), «Über die Verteilung der Zahlen die zu den n ersten Primzahlen teilerfremd sind», Commentationes Physico-Mathematicae Helsingsfors (em alemão), 5: 1–37, JFM 57.0186.02, Zbl 0003.24601.
- ↑ a b c NEW PRIME GAP OF MAXIMUM KNOWN MERIT
- ↑ Dynamic prime gap statistics
- ↑ «TABLES OF PRIME GAPS». Consultado em 9 de janeiro de 2017. Cópia arquivada em 20 de junho de 2016
- ↑ Hoheisel, G. (1930). «Primzahlprobleme in der Analysis». Sitzunsberichte der Königlich Preussischen Akademie der Wissenschaften zu Berlin. 33: 3–11. JFM 56.0172.02
- ↑ Heilbronn, H. A. (1933). «Über den Primzahlsatz von Herrn Hoheisel». Mathematische Zeitschrift. 36 (1): 394–423. doi:10.1007/BF01188631
- ↑ Tchudakoff, N. G. (1936). «On the difference between two neighboring prime numbers». Math. Sb. 1: 799–814
- ↑ Ingham, A. E. (1937). «On the difference between consecutive primes». Quarterly Journal of Mathematics. Oxford Series. 8 (1): 255–266. doi:10.1093/qmath/os-8.1.255
- ↑ Cheng, Yuan-You Fu-Rui (2010). «Explicit estimate on primes between consecutive cubes». Rocky Mt. J. Math. 40: 117–153. Zbl 1201.11111. doi:10.1216/rmj-2010-40-1-117
- ↑ Huxley, M. N. (1972). «On the Difference between Consecutive Primes». Inventiones Mathematicae. 15 (2): 164–170. doi:10.1007/BF01418933
- ↑ Baker, R. C.; Harman, G.; Pintz, J. (2001). «The difference between consecutive primes, II». Proceedings of the London Mathematical Society. 83 (3): 532–562. doi:10.1112/plms/83.3.532
- ↑ Goldston, D. A.; Pintz, J.; Yildirim, C. Y. (2007). «Primes in Tuples II». arXiv:0710.2728
[math.NT]
- ↑ Zhang, Yitang (2014). «Bounded gaps between primes». Annals of Mathematics. 179 (3): 1121–1174. MR 3171761. doi:10.4007/annals.2014.179.3.7
- ↑ a b c «Bounded gaps between primes». Polymath. Consultado em 21 de julho de 2013
- ↑ Maynard, James (2015). «Small gaps between primes». Annals of Mathematics. 181 (1): 383–413. MR 3272929. doi:10.4007/annals.2015.181.1.7
- ↑ D.H.J. Polymath (2014). «Variants of the Selberg sieve, and bounded intervals containing many primes». Research in the Mathematical Sciences. 1 (12). MR 3373710. arXiv:1407.4897
. doi:10.1186/s40687-014-0012-7
- ↑ Pintz, J. (1997). «Very large gaps between consecutive primes». J. Number Theory. 63 (2): 286–301. doi:10.1006/jnth.1997.2081
- ↑ Ford, Kevin; Green, Ben; Konyagin, Sergei; Tao, Terence (2016). «Large gaps between consecutive prime numbers». Ann. Of Math. 183 (3): 935–974. MR 3488740. arXiv:1408.4505
. doi:10.4007/annals.2016.183.3.4
- ↑ Maynard, James (2016). «Large gaps between primes». Ann. Of Math. 183 (3): 915–933. MR 3488739. arXiv:1408.5110
. doi:10.4007/annals.2016.183.3.3
- ↑ Ford, Kevin; Green, Ben; Konyagin, Sergei; Maynard, James; Tao, Terence (2015). «Long gaps between primes». arXiv:1412.5029
[math.NT]
- ↑ Ford, Kevin; Maynard, James; Tao, Terence (13 de outubro de 2015). «Chains of large gaps between primes». arXiv:1511.04468
[math.NT]
- ↑ Cramér, Harald (1936). «On the order of magnitude of the difference between consecutive prime numbers» (PDF). Acta Arithmetica. 2: 23–46
- ↑ [1]
- ↑ Sinha, Nilotpal Kanti (2010). «On a new property of primes that leads to a generalization of Cramer's conjecture». arXiv:1010.1399
[math.NT].
- ↑ Granville, A. (1995). «Harald Cramér and the distribution of prime numbers» (PDF). Scandinavian Actuarial Journal. 1: 12–28.
- ↑ Granville, Andrew (1995). «Unexpected irregularities in the distribution of prime numbers» (PDF). Proceedings of the International Congress of Mathematicians. 1: 388–399.
- ↑ Pintz, János (2007). «Cramér vs. Cramér: On Cramér's probabilistic model for primes». Funct. Approx. Comment. Math. 37 (2): 232–471
- ↑ a b Guy (2004) §A8
- ↑ a b [2]