Nucleossíntese primordial
| Parte de uma série sobre |
| Cosmologia física |
|---|
![]() |
|
Em Cosmologia, a nucleossíntese primordial (ou nucleossíntese do Big Bang) se refere a um período de 10 segundos a 20 minutos que se iniciou após o Big Bang,[1] durante o qual foram formados alguns elementos químicos leves: o abundante hidrogênio-1 (1H), também conhecido como prótio, seu isótopo, o deutério (2H ou D), os isótopos hélio-3 (3He), hélio-4 (4He) e lítio-7 (7Li).[2] Além desses núcleos estáveis foram também produzidos dois isótopos instáveis: o trítio (3H) e o berílio-7 (7Be).
História da teoria

.jpg)

A teoria que descreve a formação dos elementos químicos primordiais, conhecida como teoria Alpher-Bethe-Gamow, foi elaborada por Ralph Alpher quando era doutorando em física, orientado por George Gamow. A tese de Alpher afirmava que o Big Bang deveria criar hidrogênio, hélio e elementos mais pesados em determinadas proporções para explicar sua abundância no universo primordial.
Em 1 de abril de 1948, foi publicado um artigo na Physical Review por Ralph Alpher, Hans Bethe e George Gamow, intitulado "A Origem dos Elementos Químicos".[5] O trabalho ficou conhecido como αβγ paper, pois os sobrenomes dos autores fazia uma alusão às três primeiras letras do alfabeto grego - alfa, beta e gama (α, β, γ). No entanto, esta configuração de autores não foi uma coincidência: Gamow era famoso por seu senso de humor e adicionou seu amigo Bethe, conhecido por seu trabalho com nucleossíntese estelar, para fazer o trocadilho com o alfabeto. Na época, Alpher como estudante de doutorado se opôs à adição de Bethe, pois o nome do físico poderia ofuscar sua contribuição no trabalho, mas Gamow publicou o artigo apesar das objeções.[6]
A criação de elementos leves
Durante o curto período de nucleossíntese a formação de elementos dependia de uma série de parâmetros — hoje observado através do Modelo Padrão da física de partículas — principalmente partículas elementares.
Razão entre nêutrons e prótons
Um importante vínculo para os modelos cosmológicos é a razão nêutrons/prótons. Nos primeiros segundos de formação do universo com temperaturas a taxa de formação destas partículas permanecia praticamente constante:
- (decaimento beta): nesta caso o nêutron pode decair em um próton e um antineutrino associado ao elétron.
- (captura de elétron): o próton se une a um elétron gerando um nêutron e um neutrino relacionado ao elétron; para que ocorra esta reação a energia do elétron deve ser para que ocorra a conservação de energia.
Quando a temperatura diminui, a taxa de produção de próton é mais alta devido à massa do nêutron ser ligeiramente superior à do próton, consequentemente a razão entre as partículas diminui.[7]
Formação de deutério

O elemento mais simples formado é o deutério, cujo núcleo atômico é composto por um próton e um nêutron. Na reação também são gerados fótons de radiação gama. Esta abundância de fótons altamente energéticos é muito maior que a de bárions e, por isso, o deutério sofre foto-dissociação em altas temperaturas, no caso quando [8] Assim a taxa de produção de deutério se torna maior que a de destruição, atingindo uma densidade considerável. Após um período muito curto devido à forte interação, virtualmente todos nêutrons vinculam-se ao deutério. O 3He, por sua vez, é formado a partir da captura de um próton pelo deutério, ou por meio de colisões envolvendo dois núcleos de deutério.
Hélio-4
Devida à alta densidade de deutério, quase toda sua produção se transforma em 4He, basicamente formado pela captura de um deutério pelo trítio, ou pela colisão de dois núcleos de 3He[9] Esse isótopo possui uma energia de ligação alta (núcleo constituído por dois prótons e dois nêutrons) e não sofre foto-dissociação.
Abundância de hélio

Com a formação do isótopo 4He, virtualmente todos os nêutrons estão presos em seu núcleo. A partir desta informação pode-se estimar a abundância de hélio-4 primordial dividindo as densidades numéricas do número de nêutrons por dois: . Sendo assim, a fração de massa Y de 4He é dada por:
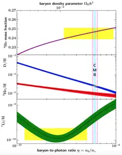
Em que, a massa de Hélio é dividida pela massa total (massa de hélio mais hidrogênio (ou prótons)). Note que foi considerado uma aproximação na qual o 4He é quatro vezes "mais pesado" que o H; os prótons livres neste momento estão ligados ao 4He ou hidrogênio, a diferença de densidades entre essas duas partículas deve ser igual à densidade de hidrogênio . É previsto também que a razão em .[11][12][13] Portanto, a partir destas previsões, os modelos cosmológicos preveem aproximadamente que 1/4 da matéria bariônica neste período era composto por 4He.[14] Com o resfriamento do Universo este conteúdo de 4He irá mudar devido a produção de estrelas em aproximadamente 100 milhões de anos após o Big Bang.[15]
Uma das formas de testar as previsões da abundância de Hélio primordial é encontrando galáxias onde a formação de estrelas é recente, nelas a abundância de Hélio ainda não foi modificado pela Nucleossíntese Estelar. Um exemplo de galáxia é a I Zwicky 18, que é muito pobre em metais (lembrando que em astrofísica considera-se os elementos além do Hélio e Hidrogênio como "metais"). Além disso, também são usados dados da radiação cósmica de fundo em micro-ondas.
Lítio
O lítio-7, segundo os resultados das observações da sonda WMAP e observações de estrelas da População II, mostram uma discrepância para sua estimativa primordial por um fator de 2,4 - 4,3 - atualmente é considerado um problema para muitos modelos.[16]
Densidade de bárions e a evidência de matéria escura

A partir dos dados de 2015 da sonda Planck e utilizando o modelo Lambda-CDM, foram estimados os parâmetros cosmológicos da densidade de bárions em 0,0486 ± 0,0010 — matéria que se refere a todo o material composto principalmente de prótons, nêutrons e elétrons. No entanto as observações astronômicas e as previsões do modelo estimam o parâmetro cosmológico de matéria no Universo em 0,3089 ± 0,0062. A diferença entre os parâmetros cosmológicos pode evidenciar um outro tipo de matéria, chamada de matéria escura e seu valor (ainda uma estimativa diante das últimas pesquisas) segundo o modelo é 0, 2589 ± 0,0057.[17][18]
Status da teoria
Além do cenário padrão da Teoria de nucleossíntese primordial, existem outros não padronizados.[19] Estes não devem ser confundidos com teorias que não pressupõe um Big Bang, mas insere a possibilidade de uma física adicional para prever como as abundâncias elementares primordiais aconteceram. Esta física adicional inclui relaxar ou remover a suposição de homogeneidade do universo, ou inserir novas partículas, como os neutrinos.[20]
Ver também
- Big Bang
- Cronologia do Universo
- Nucleossíntese
- Modelo Lambda-CDM
- Idade do Universo
- Matéria escura
- Matéria bariônica
Referências
- ↑ Coc, Alain; Vangioni, Elisabeth (agosto de 2017). «Primordial nucleosynthesis». International Journal of Modern Physics E (08). 1741002 páginas. ISSN 0218-3013. doi:10.1142/S0218301317410026. Consultado em 22 de novembro de 2020
- ↑ «Elements of the past: Big Bang Nucleosynthesis and observation». web.archive.org. 8 de fevereiro de 2007. Consultado em 28 de novembro de 2020
- ↑ Alpher, Victor S. (1 de setembro de 2012). «Ralph A. Alpher, Robert C. Herman, and the Cosmic Microwave Background Radiation». Physics in Perspective (em inglês) (3): 300–334. ISSN 1422-6960. doi:10.1007/s00016-012-0088-7. Consultado em 1 de dezembro de 2020
- ↑ «The Nobel Prize in Physics 1967». NobelPrize.org (em inglês). Consultado em 1 de dezembro de 2020
- ↑ Alpher, R. A.; Bethe, H.; Gamow, G. (1 de abril de 1948). «The Origin of Chemical Elements». Physical Review (7): 803–804. doi:10.1103/PhysRev.73.803. Consultado em 26 de novembro de 2020
- ↑ «This Month in Physics History». www.aps.org (em inglês). Consultado em 26 de novembro de 2020
- ↑ «Extragalactic Astronomy and Cosmology». 2006. doi:10.1007/978-3-540-33175-9. Consultado em 27 de novembro de 2020
- ↑ .«Extragalactic Astronomy and Cosmology». 2006. doi:10.1007/978-3-540-33175-9. Consultado em 27 de novembro de 2020
- ↑ .«Formacao dos elementos». www.astro.iag.usp.br. Consultado em 27 de novembro de 2020
- ↑ Aver, Erik; Olive, Keith A.; Skillman, Evan D. (5 de maio de 2010). «A New Approach to Systematic Uncertainties and Self-Consistency in Helium Abundance Determinations». Journal of Cosmology and Astroparticle Physics (05): 003–003. ISSN 1475-7516. doi:10.1088/1475-7516/2010/05/003. Consultado em 28 de novembro de 2020
- ↑ Bernstein, Jeremy; Brown, Lowell S.; Feinberg, Gerald (1 de janeiro de 1989). «Cosmological helium production simplified». Reviews of Modern Physics (1): 25–39. doi:10.1103/RevModPhys.61.25. Consultado em 28 de novembro de 2020
- ↑ Iocco, Fabio; Mangano, Gianpiero; Miele, Gennaro; Pisanti, Ofelia; Serpico, Pasquale D. (1 de março de 2009). «Primordial nucleosynthesis: From precision cosmology to fundamental physics». Physics Reports (em inglês) (1): 1–76. ISSN 0370-1573. doi:10.1016/j.physrep.2009.02.002. Consultado em 28 de novembro de 2020
- ↑ Mukhanov, V. (1 de março de 2004). «Nucleosynthesis Without Computer». International Journal of Theoretical Physics (em inglês) (3): 669–693. ISSN 1572-9575. doi:10.1023/B:IJTP.0000048169.69609.77. Consultado em 28 de novembro de 2020
- ↑ Sarkar, Subir (1 de dezembro de 1996). «Big Bang nucleosynthesis and physics beyond the Standard Model». Reports on Progress in Physics (12): 1493–1609. ISSN 0034-4885. doi:10.1088/0034-4885/59/12/001. Consultado em 28 de novembro de 2020
- ↑ LARSON, RICHARD B.; BROMM, VOLKER (2001). «THE FIRST STARS IN THE UNIVERSE». Scientific American (6): 64–71. ISSN 0036-8733. Consultado em 28 de novembro de 2020
- ↑ Karki, Ravi. (2010). The Foreground of Big Bang Nucleosynthesis. Himalayan Physics. 1. 10.3126/hj.v1i0.5186.
- ↑ Planck Collaboration; Ade, P. A. R.; Aghanim, N.; Arnaud, M.; Ashdown, M.; Aumont, J.; Baccigalupi, C.; Banday, A. J.; Barreiro, R. B. (outubro de 2016). «Planck 2015 results. XIII. Cosmological parameters». Astronomy & Astrophysics: A13. ISSN 0004-6361. doi:10.1051/0004-6361/201525830. Consultado em 29 de novembro de 2020
- ↑ March 2015, Calla Cofield 26. «Dark Matter Probably Isn't a Mirror Universe, Colliding Galaxies Suggest». Space.com (em inglês). Consultado em 29 de novembro de 2020
- ↑ Malaney, Robert A.; Mathews, Grant J. (1 de julho de 1993). «Probing the early universe: a review of primordial nucleosynthesis beyond the standard big bang». Physics Reports (em inglês) (4): 145–219. ISSN 0370-1573. doi:10.1016/0370-1573(93)90134-Y. Consultado em 29 de novembro de 2020
- ↑ Soler, F. J. P.; Froggatt, Colin D.; Muheim, Franz (29 de outubro de 2008). Neutrinos in Particle Physics, Astrophysics and Cosmology (em inglês). [S.l.]: CRC Press
Bibliografia
- Peter Schneider: Extragalactic Astronomy and Cosmology, Springer
- Notas de Aula sobre Nucleossíntese Primordial do Prof. Dr. Oscar Cavichia do Instituto de Física e Química da Universidade Federal de Itajubá.
