Nucleossíntese estelar

Secção de uma gigante vermelha mostrando a nucleossíntese e os elementos formados.

A nucleossíntese estelar é o conjunto de reações nucleares que tem lugar nas estrelas para fabricar elementos mais pesados. (Para informação sobre outros processos de síntese de elementos, ver nucleossíntese)

Estes processos começaram a ser entendidos em princípios do século XX, quando ficou claro que só as reações nucleares poderiam explicar a grande longevidade da fonte de calor e luz do Sol. Aproximadamente 90% da energia produzida pelas estrelas viria das reações de fusão nuclear do hidrogênio para convertê-lo em hélio e mais 6% viria da fusão do hélio em carbono. O restante de fases de fusão contribuiria de forma pouco significativa à energia emitida pela estrela ao longo de toda sua vida.

História

Em 1920, Arthur Eddington, baseando-se nas precisas medições dos átomos realizadas por F.W Aston, foi o primeiro a sugerir que as estrelas obtinham sua energia a partir da fusão nuclear do hidrogênio em hélio. Em 1928, George Gamow deduziu o chamado fator de Gamow, uma fórmula da mecânica quântica que dá a probabilidade de encontrar, a uma determinada temperatura, dois núcleos suficientemente próximos para que possam atravessar a barreira coulombiana. O fator de Gamow foi usado nessa década pelo astrônomo inglês Robert d'Escourt Atkinson e o físico austríaco Fritz Houtermans e, mais tarde, pelo próprio Gamow e Edward Teller para calcular o ritmo com que as reações nucleares se produziam nas altas temperaturas existentes nos interiores estelares.

Em 1939, em um artigo intitulado Energy Production in Stars, o estadunidense Hans Bethe analisou as diferentes possibilidades para que se desse a fusão do hidrogênio a hélio, o que lhe rendeu o Nobel de Física, em 1967. Selecionou dois processos que ele acreditou serem a principal fonte de energia das estrelas. O primeiro deles foram as cadeias próton-próton, que são as reações dominantes em estrelas pequenas com massas não muito maiores que a do Sol. O segundo processo foi o ciclo carbono-nitrogênio-oxigênio (ciclo CNO), o qual foi também tratado independente e simultaneamente pelo alemão Carl Friedrich von Weizsäcker em 1938; este grupo de reações é mais importante nas estrelas massivas, pois necessita de energias maiores para iniciar, ocorrendo a absorção de prótons e a liberação de núcleos mais pesados e é igualmente equivalente à fusão de quatro prótons para formar um núcleo de hélio-4. Trata-se de uma reação autocatalítica (reação em que um dos produtos formados atua como catalisador da própria reação).

Esses trabalhos explicavam a geração de energia capaz de manter as estrelas quentes, mas não tratavam da criação de núcleos mais pesados. Esta teoria foi iniciada por Fred Hoyle em 1946, com seu argumento de que um conjunto de núcleos muito quentes se converteria em ferro.[1] Hoyle prosseguiu em 1954, com um grande artigo estabelecendo como estágios avançados de fusão dentro das estrelas sintetizariam elementos com massa entre o carbono e ferro.

Rapidamente, muitas omissões importantes da teoria de Hoyle foram corrigidas, iniciando-se com a publicação de um relevante e celebrado artigo de revisão em 1957, por Margaret Burbidge, Geoffrey Burbidge, William Alfred Fowler e Hoyle (comumente referido como o Artigo B²FH).[2] Este último trabalho reunia e refinava as pesquisas iniciais num quadro amplo que prometia a explicação para a abundância relativa observada dos elementos. Significativas melhorias foram apresentadas por Alastair G. W. Cameron e por Donald D. Clayton. Cameron apresentou sua própria abordagem independente (seguindo Hoyle) da nucleossíntese e introduziu computadores nos cálculos dependentes de tempo da evolução de sistemas nucleares. Clayton calculou os primeiros modelos dependentes de tempo do processo s (slow), o processo r (rapid), referente à queima de silício em elementos do grupo do ferro, e descobriu cronologias para determinar a idade dos elementos. Este campo inteiro de pesquisas expandiu-se rapidamente nos anos 1970.

Reações importantes

Uma versão da tabela periódica indicando as origens – incluindo nucleossíntes estelar – dos elementos. Elementos acima de 94 são artificiais e não estão incluídos.

As reações mais importantes na nucleossíntese estelar são:

Queima de metais

O pico do ferro marca o final da vida das estrelas. Como se vê no diagrama, o rendimento a cada nova etapa de fusão diminui rapidamente. Chegando ao ferro esse rendimento é negativo e as reações de fusão se detêm.

Se, ao esgotar-se o hélio no núcleo da estrela, a massa da estrela for suficientemente grande, o núcleo será capaz de comprimir-se e aquecer-se o suficiente para empreender a fase seguinte de fusão do carbono. Haverá, pois, duas novas camadas de fusão, uma de hélio e outra de hidrogênio em cima dela. Tal como ocorria na transformação em supergigante vermelha, agora a pressão exercida por essas novas camadas fará que a cobertura externa da estrela se expanda outra vez. As massas mínimas para estes processos não estão bem determinadas, já que não se conhecem suficientemente as taxas de reação, as seções eficazes e os ritmos de expulsão de massa por vento estelar das estrelas mais massivas. O início das reações do carbono se situa indicativamente em um mínimo de oito massas solares, mas poderia se produzir a massas menores. Pode-se assegurar que com essa massa se chega a queimar o carbono, mas o mínimo real talvez esteja entre 4 e 8. No que diz respeito aos demais ciclos, os dados são ainda mais incertos, mesmo que se possa afirmar que uma estrela de mais de 12 vezes a massa do Sol deveria passar por todas as fases de fusão possíveis até chegar ao ferro. À medida que se somam fases de fusão adicionam-se mais camadas, formando uma espécie de núcleo com estrutura de cebola. Deveriam produzir-se trocas a cada fase, mas a do carbono é a última que dura um tempo significativo. Por este motivo, as demais etapas de fusão não modificam significativamente a constituição da estrela, pois ocorrem tão rápido que não há tempo para a estrela se adaptar a cada nova situação. Assim, a etapa de supergigante vermelha é, realmente, a última transformação significativa; depois dela, e nas fases posteriores de fusão nuclear, a estrela se tornará cada vez mais instável, convertendo-se, muito provavelmente, em uma variável, antes de seu destino final como objeto compacto.

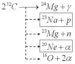
Fusão do carbono ( > 8 MSol )

Terminada a fusão do hélio, o núcleo volta a comprimir-se e a elevar sua temperatura. Dos três elementos que compõem a maior parte do núcleo neste estágio (carbono e oxigênio em 90%, mais um pouco de neônio), o carbono é o que tem a temperatura de fusão mais baixa, uns 600 milhões de graus (6•108 K). Ao chegar a esta temperatura e a uma densidade de uns 2×108 kg/m3, os átomos de carbono começam a reagir entre si, dando lugar a diversos elementos mais pesados através de uma série de canais de saída distintos. A duração desta etapa será da ordem de umas centenas de anos, podendo chegar aos mil anos. As reações mais prováveis são as que estão apresentadas no diagrama. A do sódio-23 tem uns 56% de ocorrência e a do neônio-20 uns 44%. Os prótons e as partículas alfa emitidas em tais reações serão rapidamente recapturados pelo carbono, o oxigênio, o neônio e o próprio sódio. Estas reabsorções não têm efeitos energéticos significativos, mas são relevantes no que diz respeito à nucleossíntese, pois farão com que o sódio não esteja presente entre os elementos residuais da fusão do carbono. Quanto ao oxigênio, ainda que se forme pouco, ele se soma ao que já havia sido formado durante o processo triplo alfa. Tudo isto fará com que resulte um núcleo de oxigênio-16, neônio-20, magnésio-24 e alguns traços de silício-28. A composição das cinzas desta etapa é fundamentalmente a seguinte:

Frações de massa:

Fotodesintegração do neônio

Terminado o carbono do núcleo central, este volta a contrair-se até chegar à temperatura de 1,2•109 K, momento no qual volta a deter-se o colapso durante uns poucos anos, uma década no máximo. A essas temperaturas os fótons irradiados pelo centro do núcleo são tão energéticos que conseguem fotodesintegrar o neônio-20. Apesar de este processo ser endotérmico (consome energia), de seus subprodutos deriva outra reação que é exotérmica. O balanço global de ambos os processos é positivo e o resultado é que a estrela consegue sustentar-se, ainda que sobre neônio por fotodesintegrar-se no núcleo.


Como se vê nas reações apresentadas, as cinzas desta fase serão as mesmas que na anterior, menos o neônio, que terá sido consumido. Aumentará a quantidade de oxigênio e magnésio, enquanto continuam se criando novas camadas de fusão. Agora, além do núcleo de neônio, há uma camada de carbono, uma de hélio e uma de hidrogênio. Os ventos solares são já muito intensos e desprendem grandes quantidades do hidrogênio mais externo, já pouco ligado à estrela.

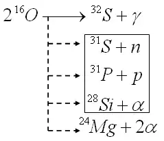
Fusão do oxigênio

Finalizada a etapa do neônio, o núcleo da estrela volta a se aquecer e contrair até 1,5 a 2•109 K e 107 g/cm³, temperatura e densidade a partir das quais se alcança a ignição do oxigênio. A reação de fusão nuclear do oxigênio produz diversos canais de saída, uns mais prováveis que outros, do mesmo modo que ocorria na fusão do carbono. A etapa dura uns poucos meses, talvez um ano, e suas cinzas são sobretudo silício-28, acompanhado de silício-30, enxofre-34, cálcio-42 e titânio-46. Muitos destes elementos são subprodutos das reações com prótons, nêutrons ou alfas recapturados. As três reações mais prováveis são as que estão apresentadas. Resultará enxofre-31 em 18% das vezes, fósforo-31 em 61% e silício-28 em 21% das vezes.

Fotodesintegração e fusão do silício

Camadas de fusão em uma estrela em seus últimos momentos antes do colapso final.

Quando o núcleo alcança os 2,7•109 K e 3•107 g/cm³, ocorre a incineração do silício em um conjunto de complexas reações que sustentam a estrela por um pouco mais de um dia. Uma parte do silício-28 recebe o impacto de fótons ultraenergéticos, que o rompem em outros isótopos como silício-27 ou magnésio-24. No processo se reemite grande quantidade de prótons, nêutrons e partículas alfa, que em seguida são recapturados por átomos cada vez mais pesados, em uma aproximação assintótica até o pico do ferro. Assim mesmo, o silício também alcança temperaturas de fusão que o levam a formar níquel-56, que posteriormente se degrada até o ferro-56, elemento final a partir do qual a fusão nuclear deixa de ser uma reação rentável e exotérmica, alcançando-se finalmente o equilíbrio estatístico nuclear (Fe56+Ni56). Chegado este ponto, a já muito convulsiva estrela não poderá mais sustentar-se por si mesma.



Nucleossíntese explosiva

A fusão do ferro é endotérmica, o que significa que ela vai absorver energia do meio, ao invés de fornecê-la. Rapidamente (alguns segundos, conforme a massa da estrela), a gravitação prevalece e o núcleo desaba sobre si mesmo. A produção de energia cai brutalmente e a estrela não é mais sustentada pela pressão de radiação, quebrando o equilíbrio gravidade vs pressão de radiação que mantinha a estrela estável. Toda a estrela então desaba sobre si mesmo, implodindo. A densidade do núcleo aumenta, até atingir a dos núcleos atômicos, a partir da qual ela não pode mais aumentar. A matéria que chega sobre o núcleo tomba contra ele e uma onda de choque varre a estrela, do centro para as camadas externas, reacendendo a fusão nessas camadas.

É aí, nessa explosão, que são sintetizados todos os elementos mais pesados que o ferro, segundo o processo r e o processo s. A energia cinética da periferia do núcleo desabado aumenta brutalmente, de forma desordenada, em torno do núcleo central, o que conduz a colisões muito numerosas, produzindo uma quantidade colossal de energia; a estrela se transforma em uma supernova, que vai ejetar violentamente para o universo, sob o efeito da onda de choque, os elementos pesados que a estrela sintetizou. Durante este desabamento, numerosas outras reações de fusão e de fissão parcial vão se produzir e formar os isótopos mais pesados (como o chumbo, o ouro, a platina, o urânio, etc.), imediatamente antes de serem propelidos para fora da estrela sob o efeito da onda de choque centrífuga. A massa total da estrela tem um papel crítico na natureza dos elementos formados, por causa da quantidade de nêutrons necessária a essas fusões, produzidos pelas desintegrações secundárias.

Referências

  1. F. Hoyle (1946). «The synthesis of the elements from hydrogen». Monthly Notices of the Royal Astronomical Society. 106: 343-383
  2. E. M. Burbidge, G. R. Burbidge, W. A. Fowler, F. Hoyle (1957). «Synthesis of the Elements in Stars». Reviews of Modern Physics. 29 (4): 547-650. doi:10.1103/RevModPhys.29.547

Bibliografia

  • Hoyle, F. (1954). «On Nuclear Reactions occurring in very hot stars: Sysnthesis of elements from carbon to nickel». Astrophys. J. (Supplement 1): 121-146 
  • Clayton, Donald D. (1968). Principles of Stellar Evolution and Nucleosynthesis. New York: McGraw-Hill 
  • Wallerstein, G.; I. Iben Jr.; P. Parker; A.M. Boesgaard; G.M. Hale; A. E. Champagne; C.A. Barnes; F. Käppeler; V.V. Smith; R.D. Hoffman; F.X. Timmes; C. Sneden; R.N. Boyd; B.S. Meyer; D.L. Lambert (1999). «Synthesis of the elements in stars: forty years of progress» (PDF). Reviews of Modern Physics. 69 (4): 995-1084. Consultado em 4 de agosto de 2006. Arquivado do original (pdf) em 17 de dezembro de 2008 
  • Clayton, Donald D. (2003). Handbook of Isotopes in the Cosmos. Cambridge: Cambridge University Press. ISBN 0521823811 

Ligações externas