Impedância elétrica
| Artigos sobre |
| Eletromagnetismo |
|---|
![]() |
|
Impedância elétrica ou simplesmente impedância (quando, em domínio de circuitos ou sistemas elétricos, não houver possibilidade de confusão com outras possíveis acepções de impedância), é a oposição que um circuito elétrico faz à passagem de corrente elétrica quando é submetido a uma tensão. Pode ser definida como a relação entre o valor eficaz da diferença de potencial entre dois pontos do circuito em consideração e o valor eficaz da corrente elétrica resultante no circuito.
Introdução
De uma maneira mais simples, impedância é a carga resistiva total de um circuito CA (Corrente alternada), ou seja, quando um determinado componente cria uma resistência e gasta energia em forma de calor, tem-se o Efeito Joule, isso chamado de resistência e, se o componente não gasta energia em forma de calor, temos a reatância, então, quando estão presentes a resistência e a reatância, chamamos de impedância.
A impedância não é um fasor, mas é expressa como um número complexo, possuindo uma parte real equivalente à resistência R e uma parte imaginária dada pela reatância X. A impedância é, também, expressa em ohms e designada pelo símbolo Z, que indica a oposição total que um circuito oferece ao fluxo de uma corrente elétrica variável no tempo.
Formulação Matemática
As equações dos circuitos com capacitores e indutores são sempre equações diferenciais. No entanto, como essas equações são lineares, as suas transformadas de Laplace serão sempre equações algébricas em função de um parâmetro com unidades de frequência.[1]
Será muito mais fácil encontrar a equação do circuito em função do parâmetro e a seguir podemos calcular a transformada de Laplace inversa se quisermos saber como é a equação diferencial em função do tempo . A equação do circuito, no domínio da frequência , é obtida calculando as transformadas de Laplace da tensão em cada um dos elementos do circuito.[1]
Se admitirmos que o circuito encontra-se inicialmente num estado de equilíbrio estável e que o sinal de entrada só aparece em , temos que:
Assim, as transformadas de Laplace de e são e , onde e são as transformadas dos sinais de entrada e saída.[1]
Como as derivadas dos sinais também são inicialmente nulas, as transformadas de e são e .
Numa resistência a lei de Ohm define a relação entre os sinais da tensão e da corrente:
aplicando a transformada de Laplace nos dois lados da equação obtemos:
Num indutor, a relação entre a tensão e a corrente é:
Como estamos a admitir que em a tensão e a corrente são nulas, usando a propriedade da transformada de Laplace da derivada obtemos a equação:
que é semelhante à lei de Ohm para as resistências, excepto que em vez de temos uma função que depende da frequência:
Num capacitor, a diferença de potencial é diretamente proporcional à carga acumulada:
Como estamos a admitir que em não existem cargas nem correntes, então a carga acumulada no instante será igual ao integral da corrente, desde até o instante t:
e usando a propriedade da transformada de Laplace do integral, obtemos:
Mais uma vez, obtivemos uma relação semelhante à lei de Ohm, mas em vez do valor da resistência temos uma função que depende da frequência:
Resumindo, no domínio da frequência, as resistências, indutores e condensadores verificam todos uma lei de Ohm generalizada:
Onde a função denomina-se impedância generalizada e é dada pela seguinte expressão:
É de salientar que os indutores produzem uma maior impedância para sinais com frequências maiores, os capacitores apresentam maior impedância quando o sinal tiver menor frequência e nas resistências a impedância é constante, independentemente da frequência.
Associações de impedâncias

Duas resistências em série são equivalentes a uma única resistência com valor igual à soma das resistências. Nessa demonstração, o fato de que além da corrente nas duas resistências em série dever ser igual, a diferença de potencial total é igual à soma das diferenças de potencial em cada resistência e em cada resistência verifica-se a lei de Ohm.[1]
Os mesmos 3 fatos são válidos no caso de dois dispositivos em série (resistências, indutores ou condensadores) onde se verifique a lei de Ohm generalizada.
Assim, podemos generalizar as mesmas regras de combinação de resistências em série ao caso de condensadores e indutores, como ilustra a figura ao lado. Nomeadamente, quando dois dispositivos são ligados em série, o sistema pode ser substituído por um único dispositivo com impedância igual à soma das impedâncias dos dois dispositivos:[1]

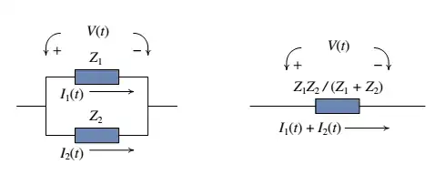
Se os dois dispositivos estiverem ligados em paralelo, como no caso da figura ao lado, em qualquer instante a diferença de potencial será a mesma nos dois dispositivos e a corrente total no sistema será a soma das correntes nos dois dispositivos. Isso, junto com a lei de Ohm generalizada , permite-nos concluir que o sistema pode ser substituído por um único dispositivo com impedância:
Referências
- EDMINISTER, J. A.. Circuitos Elétricos. Teoria e Problemas Resolvidos. São Paulo (SP, Brasil): McGraw-Hill do Brasil Ltda., 1974.
- HAYT & KEMMERLY. Análise de Circuitos em Engenharia. São Paulo (SP, Brasil): McGraw-Hill do Brasil Ltda., 1990.
