Genipina
Genipina
| |||||||||||||||
|---|---|---|---|---|---|---|---|---|---|---|---|---|---|---|---|
![]() | |||||||||||||||
| Nomes | |||||||||||||||
| Nome IUPAC | (1R,2R,6S)-2-Hidroxi-9-(hidroximetil)-3-oxabiciclo[4.3.0]nona-4,8-dieno-5-carboxilato de metila | ||||||||||||||
| Outros nomes | Éster metilico do ácido 1,4a-alfa,5,7a-alfa-tetrahidro-1-hidroxi-7-(hidroximetil)- ciclopenta(c) pirano-4-carboxilíco | ||||||||||||||
| |||||||||||||||
| |||||||||||||||
| Página de dados suplementares | |||||||||||||||
| Estrutura e propriedades | n, εr, etc. | ||||||||||||||
| Dados termodinâmicos | Phase behaviour Solid, liquid, gas | ||||||||||||||
| Dados espectrais | UV, IV, RMN, EM | ||||||||||||||
| Exceto onde denotado, os dados referem-se a materiais sob condições normais de temperatura e pressão. Referências e avisos gerais sobre esta caixa. Alerta sobre risco à saúde. | |||||||||||||||
A genipina é o composto orgânico encontrado no jenipapo (Genipa americana) responsável pela utilização tradicional dos frutos verdes para a pintura corporal, hábito comum de várias tribos indígenas sul-americanas.[2][3] Quimicamente, pertence à classe dos iridoides, um tipo de metabólitos secundários de natureza terpênica largamente disseminado no reino vegetal.
É também a aglicona do geniposídeo, glicosídeo encontrado na Gardenia jasminoides, cujo extrato é utilizado na medicina tradicional chinesa para tratamento do diabetes do tipo 2. Esta utilização tem sido atualmente alvo de pesquisas científicas[4]
A genipina forma ligações cruzadas com materiais protéicos e colágenos, o que é base dos estudos para a sua utilização como agente imobilizante de enzimas e como regulador de dosagem medicamentosa.[5] Outras aplicações promissoras que vêm sendo estudadas são a utilização de seus derivados de forte cor azul-escura, produto da interação com materiais proteicos, como corante alimentar, a determinação analítica de aminoácidos,[6] e a detecção forense de impressões digitais.[7]
Formação de Corantes

A propriedade mais marcante da genipina é a sua capacidade de formar compostos de cor azul intensa ao reagir com produtos ricos em proteínas ou aminoácidos livres. Tais produtos são gerados a partir da condensação entre a genipina e compostos que contenham o grupo amina primária livre,[8] como aminoácidos, peptídeos ou os grupamentos amina livres das cadeias laterais dos resíduos de lisina presentes em muitas proteínas, seguida de oxidação pelo ar. Esta é a base do uso do extrato dos frutos de jenipapo verdes pelos índios brasileiros para pinturas corporais: a genipina reage com os grupos amina livres das proteínas da pele, produzindo assim um pigmento azul-escuro a quase preto, dependendo de outros materiais corantes utilizados em conjunto (como o urucum).[9]
A cor azul da genipina é estabilizada no leite devido ao pH natural do leite. [10]
Produtos formados pela reação da genipina com aminas aromáticas (como a anilina e derivados) tendem a apresentar uma cor verde em vez de azul.[11]
Reação química


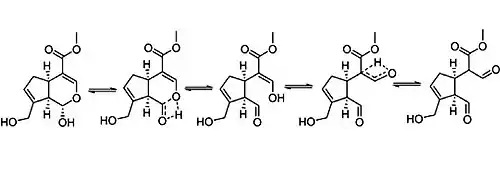
A genipina existe principalmente na forma de um composto enol-hemiacetal cíclico, o qual pode sofrer uma reação de abertura do anel piranoide de seis membros expondo um grupamento aldeído livre e um enol, este último rapidamente tautomeriza para um segundo grupo aldeído. O resultado é a formação de um composto dialdeído reativo, o qual facilmente condensa com compostos do tipo amina primária,[12] inicialmente formando uma base de Schiff com um dos grupos aldeído e em seguida formando um hemiaminal cíclico com o outro grupo. O composto resultante pode sofrer desidratação e condensação com uma outra molécula de derivado hemiaminal para formar um composto que, ao ser oxidado pelo oxigênio do ar, gera uma substância de cor azul. [13] Os compostos azuis resultantes da condensação de genipina com aminoácidos são chamados genipocianinas.[14]
Usos
A genipina é um excelente reticulador natural para reticulação de proteínas, colágeno, gelatina e quitosano. Ela tem baixa toxicidade aguda, com DL50 iv 382 mg/kg em camundongos, portanto, muito menos tóxica do que o glutaraldeído e muitos outros reagentes de reticulação sintéticos comumente usados. Além disso, a genipina pode ser usada como um agente regulador para administração de medicamentos, como matéria-prima para preparação de pigmento azul de gardênia e como intermediário para sínteses de alcalóides.[15]
Nos últimos anos, com a crescente demanda por corantes naturais em substituição aos corantes sintéticos, essa substância vem sendo empregada como fonte de corantes azuis estáveis, os quais são bastante raros na Natureza. [16]
Referências
- ↑ a b c Djerassi C., Gray J.D., Kincl F.A. Naturally Occurring Oxygen Heterocyclics. IX. Isolation and Characterization of Genipin. J. Org. Chem. 1960, 25, 2174-2177.
- ↑ Rizzini, C.T., Mors, W.B. Botânica Econômica Brasileira. São Paulo: Edusp,1976. pg.155.
- ↑ Almeida, E.R. Plantas medicinais brasileiras: conhecimentos populares e científicos. São Paulo: Hemus,1993. p.215-216.
- ↑ Chinese remedy 'treats diabetes' (BBC News)
- ↑ Chen, Wu, Mi, Lin, Yu, Sung A Novel pH-Sensitive Hydrogel Composed of N,O-carboxymethyl Chitosan and Alginate Cross-linked by Genipin for Protein Drug Delivery. J. Controlled Release 2004, 96, 285-300.
- ↑ Lee S.W., Lim J.M., Bhoo S.H., Paik Y.S., Hahn T.R. Colorimetric Determination of Amino Acids Using Genipin from Gardenia jasminoides. Analytica Chimica Acta 2003, 480, 267-274.
- ↑ Almog J., Cohen Y., Azoury M., Hahn T.R. Genipin-A Novel Fingerprint Reagent with Colorimetric and Fluorogenic Activity. J. Forensic Sci. 2004, 49, 255-257.
- ↑ https://pubmed.ncbi.nlm.nih.gov/35761551/
- ↑ https://www.journals.ufrpe.br/index.php/REDEQUIM/article/download/4207/482484490
- ↑ M.I.L. Neves, A. Valdés, E.K. Silva, M.A.A. Meireles, E. Ibáñez, A. Cifuentes (2022), «Study of the reaction between genipin and amino acids, dairy proteins, and milk to form a blue colorant ingredient», Food Research International, 157, p. 111240, PMID 35761551, doi:10.1016/j.foodres.2022.111240, hdl:10261/311292
, consultado em 9 dezembro 2022
- ↑ https://www.sciencedirect.com/science/article/abs/pii/S0143720823006071
- ↑ https://pubmed.ncbi.nlm.nih.gov/35761551/
- ↑ https://atenaeditora.com.br/catalogo/post/extracao-identificacao-e-quantificacao-de-genipina-a-partir-dos-frutos-verdes-de-genipa-americana-l
- ↑ https://www.abq.org.br/cbq/2019/trabalhos/10/1840-28252.html
- ↑ Brenda Vaandering, Genipin, consultado em 22 dezembro 2019
- ↑ https://www.sciencedirect.com/science/article/pii/S0924224417301802
