Via metabólica

Em bioquímica, uma via metabólica ou rota metabólica é um conjunto de reações químicas de tipo enzimático, que ocorrem sequencialmente e vão transformando gradualmente um substrato inicial, que origina no final da via um ou vários produtos finais. A via progride através de uma série de metabolitos intermediários, de modo que o produto final de uma reação da via é o substrato inicial da reação seguinte.[1] Por exemplo, numa via metabólica que inclua a seguinte sequência de reações:
A é o substrato inicial, E é o produto final, e B, C, D são os metabolitos intermediários da via metabólica. Em cada uma das reações interviria uma enzima.
Uma mutação genética num gene que codificava uma das enzimas da via pode fazer com que a via não funcione corretamente, o que originará um transtorno, que pode ser muito grave.
Muitas destas rotas são muito complexas e implicam uma modificação passo a passo da substância inicial para lhe dar a forma do produto com a estrutura química desejada. Geralmente cada enzima introduz apenas pequenas modificações no substrato. As reações enzimáticas da rota são na sua maioria reversíveis e próximas do equilíbrio, mas nas condições celulares estão deslocadas num dos sentidos, embora as rotas incluam também algumas reações irreversíveis.
Todas as vias metabólicas estão interconectadas e muitas não têm sentido isoladamente; no entanto, dada a enorme complexidade do metabolismo, a sua subdivisão em séries relativamente curtas de reações facilita muito a sua compreensão. Muitas vias metabólicas intercruzam-se e existem alguns metabolitos que são importantes encruzilhadas metabólicas, como o acetil-CoA.
As vias metabólicas estão perfeitamente reguladas para que se produzam as substâncias precisas nas quantidades precisas e nos momentos adequados. Existem enzimas reguladoras, geralmente alostéricas, situadas no início ou nalgum ponto chave da via, que controlam o funcionamento de toda a via. É frequente a regulação por retroalimentação negativa ou inibição por feed-back (quando se formou produto final suficiente numa rota, este produto inibe as enzimas da rota).
Nos eucariotas as vias do anabolismo e catabolismo geralmente funcionam independentemente e até costumam estar separadas fisicamente em compartimentos celulares ou organelos distintos.[2] Por exemplo, a síntese dos ácidos gordos tem lugar fundamentalmente no citosol, enquanto que a beta-oxidação dos ácidos gordos tem lugar fundamentalmente nas mitocôndrias.
Tipos de Vias Metabólicas
As vias metabólicas podem ser lineares, ramificadas ou cíclicas. Podem ser rotas centrais, utilizadas para as reações metabólicas mais básicas, nas quais confluem ou partem outras rotas mais especializadas, que fazem parte do metabolismo secundário. De acordo com a função da rota no metabolismo, distinguimos entre:
- Vias Catabólicas. São rotas oxidativas nas quais se liberta energia e se originam moléculas com capacidade redutora (poder redutor) e, ao mesmo tempo, se sintetiza ATP. Por exemplo, a glicólise e a beta-oxidação dos ácidos gordos. Em conjunto formam o catabolismo.
- Vias Anabólicas. São rotas redutoras nas quais se consome energia (ATP) e poder redutor e se sintetizam novas moléculas. Por exemplo, a gliconeogénese e o ciclo de Calvin da fotossíntese. Em conjunto formam o anabolismo.
- Vias Anfibólicas. São rotas mistas, catabólicas e anabólicas, como o ciclo de Krebs, que gera energia e poder redutor, mas também precursores para a biosíntese.
Principais vias metabólicas em um mapa topológico. Clique em qualquer texto (nome da via ou de metabólitos) para aceder ao artigo correspondente. Linhas simples: vias comuns à maioria das formas de vida. Linhas duplas: vias não presentes em humanos (ocorrem, por exemplo, em plantas, fungos, procariotas). |
Panorâmica do Metabolismo
No seguinte gráfico mostram-se as principais vias metabólicas e a sua interconexão no metabolismo animal.

Principais Vias Metabólicas
A respiração aeróbica é uma rota catabólica central em quase todos os seres vivos. Compreende várias rotas.
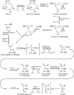
- Glicólise e as rotas de transporte chamadas lançadeiras do malato-aspartato e da glicerol-fosfato
- Descarboxilação do piruvato
- Ciclo do ácido cítrico ou de Krebs
- Transporte de eletrões na cadeia de transporte electrónico e fosforilação oxidativa.
Alguns organismos utilizam vias metabólicas como as fermentações ou a respiração anaeróbica ou o ciclo do glioxilato[3].
Outras vias importantes presentes em muitos ou em todos os seres vivos são as seguintes:
- Beta-oxidação dos ácidos gordos
- Gliconeogénese
- Metabolismo de aminoácidos
- Ciclo da ureia (metabolismo do nitrogénio)
- Metabolismo dos nucleótidos
- Glicogenogénese (síntese de glicogénio)
- Via da pentose-fosfato
- Síntese de porfirinas (ou síntese do grupo heme)
- Síntese de ácidos gordos, lipogénese
- Síntese de esteroides etc.
A síntese de compostos energéticos nos organismos autótrofos pode ser feita por:
- Fotosíntese (plantas, algas, cianobactérias e outras bactérias), que inclui o ciclo de Calvin.
- Quimiossíntese (nalgumas bactérias).
Ver também
- Via biológica
Referências
- ↑ Lehninger A. Principios de Bioquímica (1988). Omega. Capítulo 13. Páginas 337-340. ISBN 84-282-0738-0
- ↑ Bruce Alberts et al. Biología Molecular de la Célula. (1986) Omega. Páginas 340-344. ISBN 84-282-0752-6
- ↑ Michael T. Madigan, John M. Martinko, Jack Parker. Brock Biología de los Microorganismos. (2003) Pearson-Prentice Hill. ISBN 84-205-3679-2
.svg.png)