Gabapentina
Gabapentina | |||||||||||||||
|---|---|---|---|---|---|---|---|---|---|---|---|---|---|---|---|
![]() | |||||||||||||||
![]() | |||||||||||||||
| Nomes | |||||||||||||||
| Nome IUPAC | 2-[1-(aminomethyl)cyclohexyl]acetic acid | ||||||||||||||
| |||||||||||||||
| |||||||||||||||
| |||||||||||||||
| Página de dados suplementares | |||||||||||||||
| Estrutura e propriedades | n, εr, etc. | ||||||||||||||
| Dados termodinâmicos | Phase behaviour Solid, liquid, gas | ||||||||||||||
| Dados espectrais | UV, IV, RMN, EM | ||||||||||||||
| Exceto onde denotado, os dados referem-se a materiais sob condições normais de temperatura e pressão. Referências e avisos gerais sobre esta caixa. Alerta sobre risco à saúde. | |||||||||||||||
Gabapentina é um fármaco da classe dos anticonvulsivantes, análogo de GABA. Foi desenvolvido para o tratamento da epilepsia e acabou também por passar a ser utilizado para o tratamento de dor ocasionadas pelos nervos periféricos. Provoca uma série de reações adversas, sobretudo fadiga, tonturas e sonolência. Além disso, não pode ter seu uso interrompido de forma abrupta e afeta alguns exames laboratoriais como o Ames N-Multistick SG, que resulta em falsos positivos para proteínas na urina.[1] Apesar disso, parece possuir poucas interações medicamentosas.
Histórico
Foi aprovado pelo FDA em 1994, como coadjuvante para o tratamento de ataques parciais. Em 2002, foi aprovado para tratamento da neuralgia pós-herpética, outras neuropatias e dores de origem nervosa.[2]
Indicações
- Crises convulsivas
- Neuralgias
- Depressão
- Bipolaridade (transtorno de humor)
- Fibromialgia
Mecanismo de ação
O fármaco,apesar de sua estrutura ser semelhante a GABA, não se liga a GABAA nem a GABAc, mas parece interagir com GABAB. Causa aumento na síntese e a libertação de GABA na fenda sináptica. O cérebro apresenta sítios de ligação altamente seletivos para a gabapentina.[3]
Apesar de o mecanismo de ação da gabapentina ainda ser pouco conhecido, sabe-se que seu receptor é a sub-unidade α2δ-1 do complexo do canal de Ca2+ voltagem-dependente presente no axónio dos neurônios, provocando diminuição do influxo de cálcio, o que diminui a sua excitabilidade.[4] O fármaco pode interferir na sinaptogênese através da competição com o fator astrocitário trombospondina, que apresenta evidências[5][6][7][8] de envolvimento na sinaptogênese e que tem a mesma subunidade como sítio de ligação.[9]
Efeitos adversos
Entre os efeitos adversos da gabapentina estão incluídos a sonolência, fadiga, aumento de peso (por edema periférico), boca seca, transtornos gástricos, problemas de coordenação, fala confusa, problemas de memória, tremor ocular e distúrbios visuais.[10]
Além disso, incontinência urinária associada à gabapentina foi raramente relatada na literatura. Vale ressaltar que esse efeito colateral já foi verificado por reexposição a esta medicação.[11]
Uso na gravidez e lactação
O fármaco é encontrado no leite materno. Em humanos, ainda não é clara a relação do medicamento e gravidez. Todavia, em animais o medicamento provocou efeitos teratogênicos.[3]
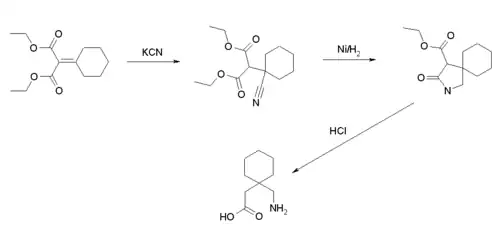
Síntese

Uso veterinário
Em gatos, a gabapentina pode ser usada como analgésico no tratamento da dor multimodal,[12] redução do estresse e ansiedade durante viagens ou consultas veterinárias,[13] e anticonvulsivante.[14] Também pode ser prescrita como anticonvulsivante e analgésico em cães. Além disso, a gabapentina é usada para tratar a inflamação dos nervos associada à dor crônica em cavalos e cães. Os efeitos colaterais mais comuns são fadiga e perda de coordenação motora.[14]
Referências
- ↑ «Gabapentina» (em espanhol). Vademecum.es. Consultado em 17 de novembro de 2019
- ↑ «Neurontin®» (PDF). Pfizer. Consultado em 3 de setembro de 2010. Arquivado do original (PDF) em 24 de julho de 2008
- 1 2 Lacy, Charles F.; et al. (2009). Medicamentos Lexi-Comp Manole [Drug Information Handbook International]. [S.l.]: Editora Manole Ltda. pp. 664–665. ISBN 978-85-204-2289-2
- ↑ Taylor, C. P. (2009). Mechanisms of analgesia by gabapentin and pregabalin: calcium channel α2-δ [Cavα2-δ] ligands. Pain 142 (em inglês). [S.l.: s.n.] pp. 13–16
- ↑ Christopherson, K. S.; et al. (2005). Thrombospondins are astrocyte-secreted proteins that promote CNS synaptogenesis. Cell 120 (em inglês). [S.l.: s.n.] pp. 421–433
- ↑ Rohrbough, J.; Grotewiel, M. S.; Davis, R. L.; Broadie, K. (2000). Integrin-mediated regulation of synaptic morphology, transmission, and plasticity. J. Neurosci. 20 (em inglês). [S.l.: s.n.] pp. 6868–6878
- ↑ Shi, Y.; Ethell, I. M. (2006). Integrins control dendritic spine plasticity in hippocampal neurons through NMDA receptor and Ca2+/calmodulin-dependent protein kinase II-mediated actin reorganization. J. Neurosci. 26 (em inglês). [S.l.: s.n.] pp. 1813–1822
- ↑ Xu, J.; Xiao, N.; Xia, J. (2010). Thrombospondin 1 accelerates synaptogenesis in hippocampal neurons through neuroligin 1. Nature Neurosci. 13 (em inglês). [S.l.: s.n.] pp. 22–24
- ↑ Eroglu, C.; et al. (2009). Gabapentin receptor α2δ-1 is a neuronal thrombospondin receptor responsible for excitatory CNS synaptogenesis. Cell 139 (em inglês). [S.l.: s.n.] pp. 380–392
- ↑ Burns, David D. (2001). Guía de antidepresivos de Sentirse bien (em espanhol). [S.l.]: Ediciones Paidós Ibérica S.A. ISBN 84-493-1021-0
- ↑ Rissardo, Jamir Pitton; Caprara, Ana Letícia Fornari (maio de 2019). «Gabapentin-Associated Urinary Incontinence: A Case Verified by Rechallenge». Clinical Neuropharmacology (em inglês) (3): 91–93. ISSN 1537-162X. doi:10.1097/WNF.0000000000000334. Consultado em 18 de junho de 2023
- ↑ Vettorato E, Corletto F (setembro de 2011). «Gabapentin as part of multi-modal analgesia in two cats suffering multiple injuries». Veterinary Anaesthesia and Analgesia. 38 (5): 518–20. PMID 21831060. doi:10.1111/j.1467-2995.2011.00638.x
- ↑ van Haaften KA, Forsythe LR, Stelow EA, Bain MJ (novembro de 2017). «Effects of a single preappointment dose of gabapentin on signs of stress in cats during transportation and veterinary examination». Journal of the American Veterinary Medical Association. 251 (10): 1175–1181. PMID 29099247. doi:10.2460/javma.251.10.1175
- 1 2 «Gabapentin». Plumb's Veterinary Drugs. Consultado em 2 de abril de 2021

