Cocaína
Cocaína | |||||||||||||||||||||||||||||
|---|---|---|---|---|---|---|---|---|---|---|---|---|---|---|---|---|---|---|---|---|---|---|---|---|---|---|---|---|---|
![]() | |||||||||||||||||||||||||||||
![]() | |||||||||||||||||||||||||||||
| Nomes | |||||||||||||||||||||||||||||
| Nome IUPAC | Metil(1R,2R,3S,5S)-3-(benzoiloxi)-8-metil-8-azabiciclo[3.2.1]octano-2-carboxilato | ||||||||||||||||||||||||||||
| Nome sistemático | (1R,2R,3S,5S)-3-(benzoiloxi)-8-metil-8-azabiciclo[3. 2.1]octano-2-carboxilato | ||||||||||||||||||||||||||||
| Outros nomes |
| ||||||||||||||||||||||||||||
| |||||||||||||||||||||||||||||
| |||||||||||||||||||||||||||||
| |||||||||||||||||||||||||||||
| |||||||||||||||||||||||||||||
| |||||||||||||||||||||||||||||
| Página de dados suplementares | |||||||||||||||||||||||||||||
| Estrutura e propriedades | n, εr, etc. | ||||||||||||||||||||||||||||
| Dados termodinâmicos | Phase behaviour Solid, liquid, gas | ||||||||||||||||||||||||||||
| Dados espectrais | UV, IV, RMN, EM | ||||||||||||||||||||||||||||
| Exceto onde denotado, os dados referem-se a materiais sob condições normais de temperatura e pressão. Referências e avisos gerais sobre esta caixa. Alerta sobre risco à saúde. | |||||||||||||||||||||||||||||
A cocaína, benzoilmetilecgonina ou éster do ácido benzoico, também conhecida por coca, é um alcaloide, estimulante, com efeitos anestésicos[7] utilizada fundamentalmente como uma droga recreativa.[8] Pode ser aspirada, fumada ou injectada.[9] Os efeitos mentais podem incluir perda de contacto com a realidade, um intenso sentimento de felicidade ou agitação.[9] Os sintomas podem envolver aceleração do ritmo cardíaco, transpiração e dilatação das pupilas.[9] Quando consumido em doses elevadas pode provocar hipertensão arterial ou hipertermia.[10] Os efeitos têm início dentro de alguns segundos ou minutos após a sua utilização e duram entre cinco e noventa minutos.[9] A cocaína tem um pequeno número de utilizações médicas aceites, tais como entorpecimento e diminuição da hemorragia durante uma cirurgia nasal.[11] A cocaína é muito viciante, graças aos efeitos provocados sobre a via mesolímbica no cérebro.[8] Existe um sério risco de dependência, mesmo se consumida por um curto período de tempo.[8] A sua utilização aumenta ainda o risco de acidente vascular cerebral, infarto do miocárdio, problemas pulmonares em pessoas que a fumam, infecções sanguíneas e paragem cardiorrespiratória súbita.[8][12] A cocaína vendida na rua é normalmente misturada com anestésicos locais, amido de milho, quinina ou açúcar, o que aumenta ainda mais a sua toxicidade.[13] No seguimento de administração repetida das doses, a pessoa pode ver diminuída a sua capacidade de sentir prazer e fisicamente sentir-se muito cansada.[8]
A cocaína é um estimulante do sistema nervoso central e um supressor do apetite. Actua por meio da inibição da recaptação de serotonina, noradrenalina e dopamina;[8] isto traduz-se em maiores concentrações destes três neurotransmissores no cérebro.[8] Pode atravessar facilmente a barreira hematoencefálica, podendo inclusive danificá-la.[14][15] A cocaína é uma substância natural que se encontra nas folhas da planta Erythroxylum coca, que é cultivada sobretudo na América do Sul.[9] Em 2013, foram legalmente produzidos 487 kg,[16] no entanto, estima-se que o valor da cocaína comercializada no mercado clandestino ronde os 88 a 500 mil milhões de dólares a cada ano.[8] O crack pode ser produzido a partir de cocaína.[8]
Depois da cannabis, a cocaína é o estupefaciente ilegal mais consumido a nível mundial,[17] e calcula-se que entre 18 e 22 milhões de pessoas utilizaram a substância em 2014[8] com a América do Norte como seu principal consumidor, seguido da Europa e da América do Sul.[8] Estima-se que entre 1 e 3% das pessoas no mundo desenvolvido tenham experimentado a cocaína em algum momento da sua vida[8] e é responsável directa por milhares de mortes a cada ano.[18] As folhas da coca têm sido utilizadas pelos habitantes do atual Peru desde a antiguidade.[13] Só em 1860 é que a cocaína foi pela primeira vez isolada.[8] Desde 1961 que se encontra incluída na Convenção Única sobre Entorpecentes internacional, com o propósito de combater o seu tráfico e consumo.[19]
Usos
Clínicos

A cocaína administrada por via tópica pode ser usada como um anestésico local, tendo sido o primeiro desta classe farmacológica a ser usado, de modo a reduzir a dor em procedimentos cirúrgicos na boca ou nariz.[20] Ela é um bloqueador dos canais de sódio nos neurônios dos nervos periféricos.[21] O influxo de sódio desencadeia o potencial de ação e sem esse influxo são incapazes de enviar os seus impulsos. Os nervos sensitivos são geralmente os primeiros a ser bloqueados.[22]
Além disso, a cocaína pode ser utilizada em cirurgias do ducto nasal e ducto lacrimal. Os principais efeitos colaterais do uso clínico são o potencial da cocaína em causar cardiotoxicidade, glaucoma e dilatação das pupilas.[22] O uso médico de cocaína diminuiu, já que outros anestésicos locais sintéticos, como benzocaína, proparacaína, lidocaína e tetracaína, os quais possuem menor potencial adictivo, foram introduzidos no prática clínica.[22] Caso a vasoconstrição seja necessária em um procedimento cirúrgico, o anestésico pode ser administrado em conjunto com um vasoconstritor, a exemplo da fenilefrina ou epinefrina. Na prática clínica, alguns otorrinolaringologistas utilizam a cocaína ao realizar procedimentos como a cauterização nasal. Neste caso, a cocaína é dissolvida e embebida em algodão, que é inserido nas narinas em até 15 minutos antes do procedimento cirúrgico. Assim, a cocaína desempenha uma função dupla, a capacidade anestética e a vasoconstrição sobre a área a ser cauterizada . Mesmo quando administrada dessa forma, a cocaína pode ser absorvida pelas mucosas orais e nasais e causar efeitos sistêmicos.
O cloridrato de cocaína de nome comercial Goprelto, que se trata de um anestésico tópico à base de éster, foi aprovado para uso médico nos Estados Unidos em dezembro de 2017, sendo indicado para indução de anestesia local em membranas mucosas, em casos de procedimentos diagnósticos e cirurgias que precisem de anestesia nas cavidades nasais de adultos.[23][24] O cloridrato de cocaína de nome comercial Numbrino foi aprovado para uso médico nos Estados Unidos em janeiro de 2020.[25][26]
Os efeitos colaterais mais comuns em pessoas tratadas com Goprelto são cefaleia e epistaxe.[27] Os efeitos colaterais mais comuns em pessoas tratadas com Numbrino são hipertensão, taquicardia e taquicardia sinusal.[28]
Recreativos
A cocaína é um estimulante de alta potência que atua sobre o sistema nervoso central (SNC).[29] Quando aspirada, seus efeitos psicotrópicos se estendem de quinze minutos a uma hora. A duração dos efeitos da cocaína depende da dosagem da droga e da via de administração.[30] Em geral, sua aparência é em forma de um pó branco e fino, com sabor amargo. O crack é uma droga derivada da cocaína, sintetizado através do processamento da cocaína com bicarbonato de sódio e água.[31][32] A etimologia da palavra crack deriva dos estalos que a droga emite quando é aquecida.[31]
O uso da cocaína aumenta o estado de vigília, causa sensação de bem-estar, euforia, estimula a atividade motora, gera sensação de autoconfiança e eleva a libido.[33] Embora eleve a libido, dificulta a ereção do pênis.[34]
Uma análise de correlação que avaliou o uso de dezoito drogas psicoativas concluiu que o uso de cocaína está ligado a outras drogas estupefacientes, como ecstasy ou anfetaminas, bem como com a heroína e as benzodiazepinas, de modo que a cocaína está fortemente associada com a dependência de polissubstâncias.[35]
A cocaína administrada por via oral leva cerca de 30 minutos para entrar na corrente sanguínea. Normalmente, apenas um terço de uma dose oral é absorvido, mas esta absorção pode chegar a 60% em ambientes clínicos controlados. Dada a lenta taxa de absorção pela via oral, os efeitos fisiológicos e psicotrópicos máximos são atingidos em cerca de 60 minutos após a cocaína ser ingerida. Embora o início dos efeitos seja mais lento se comparado a outras vias de administração, estes são mais prolongados e se estendem por aproximadamente 60 minutos após o pico plasmático ser atingido.
Folhas de coca
Tradicionalmente, as folhas de coca são misturadas com uma substância alcalina (como o hidróxido de cálcio) e mastigadas em um chumaço (geralmente feito de algodão) que é retido na boca entre a gengiva e a bochecha e sugado aos poucos. Os líquidos embebidos no chumaço são absorvidos lentamente pelas mucosas da bochecha e pelo trato gastrointestinal. Alternativamente, as folhas de coca podem ser infundidas em líquido e consumidas como chá.
Como a cocaína sofre hidrólise, ela se torna inativa no estômago devido à acidez deste, e não é absorvida eficazmente quando consumida sozinha. Mas quando misturada com uma substância alcalina, a cocaína é absorvida pela corrente sanguínea através do estômago. A eficiência da absorção da cocaína administrada por via oral é limitada por fatores adicionais. Primeiro, a droga é apenas parcialmente metabolizada pelo fígado. Segundo, as terminações nervosas da boca e do esôfago se contraem após o contato com a droga, reduzindo a área de superfície sobre a qual a droga pode ser absorvida. No entanto, os metabólitos da cocaína podem ser detectados na urina de indivíduos que consumiram tão somente uma xícara de chá de infusão de folha de coca.
Tanto a ingestão por via oral quanto a insuflação resultam, aproximadamente, na mesma proporção da droga que é absorvida pelo organismo, que varia de 30 a 60%. Porém, em comparação com a ingestão oral, a absorção por via nasal produz os efeitos máximos da droga mais rapidamente. A insuflação da cocaína produz efeitos fisiológicos máximos por volta de 40 minutos e efeitos psicotrópicos máximos por volta 20 minutos. Os efeitos fisiológicos e psicotrópicos da cocaína insuflada se estendem por aproximadamente 40 a 60 minutos após o pico plasmático ser atingido.[36]
O chá de coca, feito por infusão das folhas de coca, também é um método tradicional de consumo. O chá é frequentemente recomendado para turistas nos Andes para prevenir o mal da montanha.[37] No entanto, a eficácia deste tipo de uso ainda não foi estudada sistematicamente.[37]
Insuflação
A insuflação ou administração nasal da cocaína (conhecida vulgarmente pela expressão "cheirar pó")[38] é o método mais comum de consumo para fins recreacionais.[39] A droga é absorvida pelas mucosas que revestem as terminações nervosas do nariz. Os efeitos eufóricos e estimulantes da cocaína, quando cheirada, começam em cerca de cinco minutos, de modo que a insuflação é mais lenta que a administração intravenosa. Este tempo de ação se deve ao efeito vasoconstritor sobre as terminações nervosas nasais, o qual retarda a absorção da cocaína, fazendo da aspiração uma via mais lenta que a injeção intravenosa.[40] Ao cheirar cocaína, a absorção através das membranas nasais é de aproximadamente 30 a 60%, com doses mais altas levando a uma maior taxa de absorção. Qualquer material não absorvido diretamente através das membranas mucosas é coletado no muco e engolido (este "pigarro" é considerado agradável por alguns e desagradável por outros).
Em um estudo com usuários de cocaína, o tempo médio necessário para atingir o pico dos efeitos subjetivos foi de 14,6 minutos.[41] Os danos causados no interior do nariz ocorrem porque a cocaína contrai fortemente os vasos sanguíneos e, portanto, diminui o fluxo de sangue e oxigênio desta área. As hemorragias nasais após a insuflação de cocaína se devem à irritação e danos das membranas mucosas por agentes de corte e adulterantes, e não à própria cocaína; pois como um vasoconstritor, a cocaína atua na redução de sangramentos.
Instrumentos frequentemente utilizados para insuflar a cocaína são cédulas de dinheiro enroladas, canetas, canudos cortados, pontas de chaves, colheres e as próprias unhas. Geralmente, a cocaína é despejada em uma superfície plana e firme, para em seguida ser dividida em linhas e ser insuflada.[42] A quantidade de cocaína em cada linha varia de acordo com o usuário, o ambiente de consumo e a pureza da cocaína, mas se estima que uma dose padrão varie de 10 a 120 mg. Porém, conforme a tolerância aumenta, alguns toxicodependentes chegam a consumir até 5 gramas por dia, pois a tolerância à droga faz com que sejam necessárias maiores doses para que se atinjam os mesmos efeitos.[43] Um estudo de 2001 relatou que o compartilhamento de canudos usados para insuflar cocaína é um fator de risco para contrair hepatite C.[44]
Intravenoso
A injeção intravenosa de drogas, que consiste em dissolver a droga numa solução aquosa, é a via de administração que fornece os níveis mais altos de absorção da cocaína pelo organismo (pois possui maior biodisponibilidade), ao mesmo tempo que aumenta a intensidade dos efeitos e reduz sua duração. Os efeitos subjetivos da administração intravenosa de cocaína podem incluir um zumbido nos ouvidos logo após a injeção, que dura de dois a cinco minutos e pode ser acompanhado por distorção auditiva. Em termo vulgar, esse efeito é conhecido como "baque".[45] Em estudo que avaliou trinta e dois usuários de cocaína, o tempo médio para que o pico dos efeitos fosse atingido foi de, em média, três minutos.[46] A euforia passa mais rapidamente, dada a meia-vida biológica da cocaína ser curta quando injetada, quando comparada àquela dos outros meios de administração. Além dos efeitos cardiotóxicos, também há possibilidade da cocaína causar embolia no sistema circulatório por conta das substâncias indissolúveis usadas como agentes de corte da droga. Assim como ocorre com outras drogas injetáveis, há um risco maior de que os usuários contraiam infecções sexualmente transmissíveis (ISTs) e outras doenças transmitidas através do sangue, principalmente por causa do compartilhamento ou reutilização de seringas. Além disso, como a cocaína é vasoconstritora e o uso entre os cocainômanos envolve múltiplas injeções seguidas, de modo que estas se tornam gradativamente mais difíceis de se administrar, o que pode gerar outras complicações, como a trombose.
Uma solução injetável que mistura cocaína e heroína, conhecida por speedball, é particularmente perigosa, pois os efeitos opostos das drogas podem mascarar sintomas de uma possível overdose. A mistura entre cocaína e heroína foi responsável por várias mortes por overdose, incluindo as dos atores John Belushi e Chris Farley, Mitch Hedberg, River Phoenix, do cantor Layne Staley e do ator Philip Seymour Hoffman. Em ensaios clínicos, a cocaína injetável pode ser aplicadas em animais, como nas moscas-da-fruta, para fins de estudo dos mecanismos de adicção da cocaína.[47]
Inalação ou fumo

A inalação ou fumo da cocaína é outra via de administração pela qual a droga é consumida recreativamente. Por esta via, os efeitos estimulantes da droga se iniciam muito rapidamente, de 3 a 5 segundos.[48] Por outro lado, a inalação de cocaína causa um encurtamento dos efeitos (5–15 minutos).[48] A cocaína fumada é uma base livre, que se solidifica e se transforma no crack.[49] Em estudo do Laboratório Nacional de Brookhaven, com base em autorrelatos de 32 pessoas que usaram cocaína por via inalatória, o pico dos efeitos foi atingido, em média, entre 30 e 84 segundos.[50] Os produtos gerados pela pirólise da cocaína, que ocorre quando esta é fumada, mostraram alterações em seu perfil farmacológico, pois o éster metilanidroecgonina (EMA), que é produto da queima do crack, aumenta a dopamina nas regiões cerebrais do putâmen (CPu) e do núcleo accumbens (NAc), além de possuir maior afinidade com os recetores muscarínicos M1 e M3.[51]
Geralmente, o fumo do crack ou da base livre de cocaína é realizado com cachimbos improvisados.[52] Quando fumada, a cocaína pode ser ser combinada com outras drogas, como a cannabis . A cocaína em pó também é fumada algumas vezes, embora o calor degrade grande parte de sua estrutura química. A linguagem referente aos materiais e práticas relacionadas ao ato de fumar cocaína variam, assim como o teor de pureza da droga vendida nas ruas.[53]
Supositório
Outra forma que os usuários utilizam para autoadministrar cocaína é a via retal, transformando-a em um supositório que é inserido no ânus ou na vagina. Após inserida, a droga é absorvida pelas mucosas dessas partes do corpo. Este método de administração pode ser efetuado com a inserção de uma seringa sem agulha no ânus. Nesse caso, a cocaína costuma ser dissolvida em água e sugada para uma seringa, que pode então ser lubrificada e inserida no ânus ou vagina antes de empurrar o êmbolo. Evidências dos efeitos rectais da cocaína são inconclusivas, possivelmente devido a tabus sociais e estigmatização, presentes em muitas culturas.[54]
Efeitos colaterais
Uso agudo
Com o uso excessivo ou prolongado, a droga pode causar efeitos indesejáveis, como coceira, taquicardia, alucinações, delírios persecutórios e outros sintomas comparáveis à psicose anfetamínica.[55] Os sintomas de uma overdose podem envolver hipertemia (temperatura corporal demasiadamente alta) e hipertensão (elevação acentuada da pressão arterial),[55] além de arritmia cardíaca[56] e morte súbita[56]
Ansiedade, paranoia e agitação psicomotora também podem ocorrer, especialmente quando os efeitos começam a diminuir. Em dosagens altas, foram observados tremores, convulsões e aumento da temperatura corporal.[57] Eventos cardíacos adversos graves, particularmente uma parada cardíaca, são mais frequente em altas doses devido ao efeito da cocaína que bloqueia os canais de sódio.[58] Estes efeitos podem ocorrer ou não após uma única dose baixa, mas são mais prováveis com o uso continuado e em doses altas:
- Arritmias cardíacas: complicação possivelmente fatal.
- Trombose coronária com enfarte do miocárdio (provoca 25% dos enfartes totais em jovens de 18-45 anos)
- Trombose cerebral com AVC.
- Outras hemorragias cerebrais devidas à vasoconstrição simpática.
- Necrose (morte celular) cerebral
- Insuficiência renal
- Insuficiência cardíaca
- Hipertermia com coagulação disseminada potencialmente fatal.

Uso crônico
O consumo crônico de cocaína causa desequilíbrios nos níveis dos neurotransmissores e efeitos associados à toxicidade crônica da droga. Este aspecto pode fazer com que os receptores desaparecem da superfície celular ou reaparecem nesta, de modo que altera seu perfil de ligação – através do que é chamado de suprarregulação e infrarregulação. No entanto, estudos sugerem que os usuários de cocaína apresentam atividade normal no transportador de dopamina (DAT), de modo que há evidência anedótica de que a cocaína tem propriedades neuroprotetoras para os neurotransmissores de dopamina.[60]
Os possíveis efeitos colaterais do uso crônico, quando o efeito da droga cessa, incluem aumento do apetite, dores, insônia ou hipersonia, letargia, agitação ou retardo psicomotor, sonhos lúcidos e coriza. A depressão com ideação suicida também pode se desenvolver em usuários que fazem uso pesado da droga. Ainda, o consumo crônico da cocaína degrada os transportadores vesiculares de monoamina (como o VMAT2), os neurofilamentos e provoca outras alterações morfológicas, o que indica a possibilidade de serem causados danos neurológicos de longo prazo na regulação de dopamina. Todos esses fatores, incluindo os efeitos reforçadores contribuem para o aumento da tolerância à droga, que passa a exigir doses maiores a fim de que os efeitos pretendidos sejam alcançados.[61]
A diminuição das quantidades de serotonina e dopamina no cérebro, que costumam se iniciar após o pico de efeito da droga, é uma das causas da disforia e da depressão após o uso. A retirada física da cocaína não desencadeia risco de morte e costuma ser menos intensa que a retirada de anfetaminas e benzodiazepinas.[62]
Os efeitos colaterais físicos do uso crônico de cocaína em forma de crack incluem hemoptise (sangue expelido por tosse), broncoespasmos, coceira, febre, eosinofilia pulmonar e sistêmica, dor no peito, trauma pulmonar, dor de garganta, asma, voz rouca, dispneia (falta de ar) e sintomas semelhantes à gripe, como coriza e congestão nasal. A cocaína contrai os vasos sanguíneos, dilata as pupilas e aumenta a temperatura corporal, a frequência cardíaca e a pressão arterial. Também pode causar dores de cabeça e complicações gastrointestinais, como dor abdominal e náuseas. Além disso, a cocaína costuma causar ranger de dentes involuntário, sintoma denominado por bruxismo, que pode deteriorar o esmalte dos dentes e causar gengivite.[63] Além disso, estimulantes como cocaína, metanfetamina e até mesmo cafeína causam desidratação e boca seca. Como a saliva é um mecanismo importante na manutenção do nível do pH oral, usuários crônicos de cocaína que não se hidratam adequadamente podem sofrer desmineralização em seus dentes devido à diminuição do pH oral. O uso de cocaína também promove a formação de coágulos sanguíneos.[64] Esse aumento na formação de coágulos sanguíneos é atribuído à ação que a cocaína exerce sobre o ativador do plasminogênio tecidual e a um aumento no número, ativação e agregação das plaquetas.[64]
O uso crônico por via intranasal (insuflação) degrada a tecido cartilaginoso que separa as narinas (septo nasal), podendo causar seu rompimento completo. Devido à transformação da cocaína por meio do cloridrato de cocaína, um ácido clorídrico diluído é formado no organismo.[65]
A cocaína também pode aumentar o risco de desenvolvimento de doenças raras do tecido conjuntivo ou doenças autoimunes, como lúpus, síndrome de Goodpasture, vasculite, glomerulonefrite, síndrome de Stevens-Johnson entre outras patologias.[66][67][68][69] Também pode causar uma grande variedade de doenças renais, incluindo insuficiência renal.[70][71]

Ainda, o uso crônico de cocaína aumenta o risco de acidente vascular cerebral (AVC), tanto do tipo hemorrágico como isquêmicos,[72] e o risco de ataque cardiaco.[73] São comuns síndromes psiquiátricas como esquizofrenia e depressão profunda unipolar.
Outros efeitos a longo prazo são:
- Perda de memória
- Perda da capacidade de concentração mental
- Perda da capacidade analítica.
- Falta de ar permanente, trauma pulmonar, dores torácicas
- Destruição total do septo nasal (se inalada).
- Perda de peso até níveis de desnutrição
- Cefaleias (dores de cabeça)
- Síncopes (desmaios)
- Distúrbios dos nervos periféricos (sensação do corpo ser percorrido por insetos)
- Silicose, pois é comum o traficante adicionar talco industrial para aumentar seus lucros, fato verificado em necropsia, exame de hemogramas.
Durante a gravidez
A cocaína é conhecida por ter efeitos deletérios durante a gravidez. Pessoas gestantes que usam cocaína apresentam risco elevado de descolamento prematuro da placenta, uma condição em que a placenta se desprende do útero e provoca hemorragia.[74] Devido aos efeitos vasoconstritores e hipertensivos, a cocaína também eleva o risco de hemorragia intracerebral e infarto agudo do miocárdio. A cocaína também é teratogênica, o que significa que pode causar patologias congênitas e malformações do feto. A exposição intrauterina à cocaína está associada a anormalidades comportamentais, prejuízo cognitivo, malformações cardiovasculares, restrição de crescimento intrauterino (RCIU), parto prematuro e malformações no trato urinário e na fenda labial e palatina do feto.[75]
Toxicologia
Os sintomas de envenenamento pela cocaína referem-se sobretudo ao sistema nervoso central. Ela estimula os centros respiratórios, elevando a velocidade e profundidade da respiração.

Há efeitos imediatos, que ocorrem sempre após uma dose moderada; efeitos com grande dose; efeitos tóxicos agudos que têm uma probabilidade significativa de ocorrer após cada dose; efeitos no consumidor crônico, a longo prazo.
A cocaína pode causar malformações e atrofia do cérebro e malformações dos membros na criança se usada durante a gravidez. Ela pode ser detectada nos cabelos durante muito tempo após consumo.[carece de fontes]
Padrões de uso
A cocaína tem o aspecto de um pó branco e cristalino (é um sal, hidrocloreto de cocaína). Pode ser consumida de várias formas, mas o modo mais comum é pela aspiração da droga, que normalmente se apresenta sob forma de pó. Alguns consumidores chegam a injetar a droga diretamente na corrente sanguínea, o que eleva consideravelmente o risco de uma parada cardíaca irreversível, causada por uma overdose.[carece de fontes]
A via intravenosa é mais perigosa devido às infeções. O crack é a cocaína alcalina, não salina e é obtido da mistura da pasta de cocaína com bicarbonato de sódio. O crack é conhecido nos Estados Unidos como "cocaína dos pobres e mendigos", produz maior prazer e efeitos mais pronunciados, também provocando alucinações. A via inalatória é de início mais insidioso, pode levar à necrose (morte por degeneração da células epiteliais ou outros tipos de degeneração de tecido) da mucosa e septo nasais. O crack é uma forma básica livre, que é fumada. Os seus efeitos são similares aos da via intravenosa.[77]
Toxicodependência
A dependência de cocaína ocorre por meio de elevação da expressão génica da proteína ΔFosB no núcleo accumbens, que resulta em modificação pós-transcricional dos neurotransmissores presentes do núcleo accumbens. Os níveis de ΔFosB aumentam com o uso de cocaína.[78] Cada dose consecutiva de cocaína continua a aumentar os níveis de ΔFosB incessantemente. Níveis elevados de ΔFosB levam a aumentos nos níveis do fator neurotrófico derivado do cérebro (BDNF) que, por sua vez, aumenta o número de ramos e espinhas dendríticas presentes em neurônios do núcleo accumbens e em áreas do córtex pré-frontal do cérebro. Essa alteração pode ser identificada rapidamente e se prolongar por semanas após o último uso de cocaína.[78] Conjuga-se com etanol, presente nas bebidas alcoólicas, formando cocaetileno, ainda mais tóxico.[7]
.jpg)
Testes preliminares com ratos mostraram que a indução da expressão de ΔFosB, principalmente no núcleo accumbens e no estriado dorsal, causam tolerância reversa à cocaína.[79][80][81] A proteínaΔFosB aumenta a expressão da subunidade GluR2 do receptor AMPA,[79] além de diminuir a expressão de dinorfina e, deste modo, aumenta assim a sensibilidade à droga.[81]
É difícil definir a dose considerada alta, visto que varia de pessoa a pessoa e de acordo com a pureza da cocaína. Em alguns organismos, com apenas 1 g, ou um papelote, os efeitos estimulantes já começam a aparecer. Os efeitos, em altas doses, são: convulsões, depressão neuronal, alucinações, paranoia (geralmente reversível), taquicardia, mãos e pés adormecidos, depressão do centro neuronal respiratório, depressão vasomotora e até mesmo coma e morte em uma overdose.
As overdoses de cocaína são rapidamente fatais. Caracterizam-se por arritmias cardíacas, convulsões epilépticas generalizadas e depressão respiratória com asfixia.
Tratamento da toxicodependência
A dependência de cocaína é tanto em forma de dependência psicológica como física, que se desenvolvem a partir do uso crônico de cocaína, de modo que produz sintomas de abstinência após a cessação deste uso.
A cocaína não tem síndrome física bem definida (como por exemplo o da heroína), no entanto os efeitos da sua privação não são subjetivos. Após consumo durante apenas alguns dias, há universalmente: depressão (muitas vezes profunda), disforia (ansiedade e mal estar), deterioração das funções motoras, elevada perda da capacidade de aprendizagem, perda de comportamentos aprendidos. A síndrome psicológica da cocaína é extremamente poderosa. Há comprovações obtidas através de estudos epidemiológicos de que a cocaína é muito mais viciante que a maconha (cannabis), o álcool ou o tabaco.
A dose de cocaína ou outro estimulante é gradualmente diminuída. Se ocorrerem distúrbios psiquiátricos, devem ser tratados com antipsicóticos e antidepressivos. É possível que os agonistas do recetor da dopamina amantadina, sejam úteis no futuro, para minimizar as síndromes de privação.[carece de fontes]
A imunização ativa (vacina contra cocaína) é uma nova terapia que poderá ser promissora. Consiste em "treinar" o sistema imunitário para destruir a cocaína como se fosse um invasor.[carece de fontes]
Testes para detecção

Os testes usados para apontar o uso de cocaína, basicamente são os mesmos usados para descobrir o consumo de outras drogas. Os principais tipos de testes utilizados podem analisar o sangue, a urina, o suor ou o cabelo e pelos. Os exames de sangue possuem uma janela de detecção de até dois dias, possuem baixa eficiência do resultado e podem apontar falsos positivos, enquanto os exames de urina além de submeter o paciente a certo constrangimento durante a coleta do material também pode acusar falsos positivos, embora em menor escala. A janela de detecção vai até três dias após o uso de determinadas substâncias, porém o grau de eficiência do resultado é baixo. Já os exames que baseiam-se em amostras de pelos ou cabelos, possuem larga janela de detecção (90 dias), eficiência nos resultados e não há possibilidade de falsos positivos.[82]
- Detecção em fluidos corporais
A cocaína e seus metabólitos podem ser detectados no sangue, plasma ou urina, seja para monitorar o uso, confirmar o diagnóstico de intoxicação por cocaína ou auxiliar investigações criminais. A maioria dos testes comerciais de triagem por imunoensaio moestaram reação cruzada considerável entre os principais metabólitos da cocaína, mas as técnicas cromatográficas são capazes de medir separadamente cada uma dessas substâncias[83] Em 2011, um artigo relatou que os suplemento dietéticos de zinco podem mascarar a presença de cocaína e outras drogas na urina, mas as evidências ainda não são conclusivas.[84]
- Detecção em ambientes
A cocaína pode ser detectada em ciência forense usando o reagente de Scott. O teste de detecção pode gerar falsos positivos e seus resultados deve ser, posteriormente, confirmados por exames laboratoriais.[85][86]
Farmacologia
Farmacodinâmica
A farmacodinâmica da cocaína envolve complexas relações entre os neurotransmissores, pois a droga inibe a captação da serotonina, dopamina e norepinefrina.[87][88] Em estudos. o efeito melhor estabelecido da cocaína é o modo como esta atua no sistema nervoso central, que é através do bloqueio do transportador de dopamina (DAT). A cocaína tem forte afinidade com o DAT, de modo que bloqueia ia a função deste transportador, fazendo que a dopamina passe a se acumular na fenda sináptica do cérebro. Este aumento ativa os receptores pós-sinápticos de dopamina, promovendo o uso compulsivo da droga.[89]
Em menor grau, a cocaína também age nos receptores de serotonina (5-HT), sendo antagonista do receptor 5-HT3, que é um receptor ionotrópico. No entanto, o mecanismo de ação da cocaína sobre os receptores 5-HT3 ainda não estão totalmente claros.[90] O receptor 5-HT2 (particularmente os subtipos 5-HT2A, 5-HT2B e 5-HT2C) são responsáveis pelos efeitos sobre o sistema locomotor exercidos pela cocaína.[91]
Foi demonstrado que a cocaína se liga diretamente ao transportador DAT, de forma a inibir a ligação de hidrogênio, uma função inata ao DAT. Uma pesquisa sugere que a afinidade pelo transportador de dopamina não é por si só um fator determinante nos mecanismos de adicção da droga, mas sim a conformação e as propriedades de ligação relacionadas a onde e como a molécula se conecta neste transportador.[92]
Os receptores sigma também são afetados pelo consumo de cocaína, de modo que a droga atua nestes como agonista.[93] Outros receptores específicos em que a cocaína demonstrou afetar são o NMDA e o receptor D1 de dopamina.[94]
A cocaína bloqueia os canais de sódio, interferindo em seu potencial de ação.[95][96] A cocaína também causa vasoconstrição, reduzindo o sangramento durante procedimentos cirúrgicos. As propriedades de agitação locomotora da cocaína podem ser atribuídas ao aumento na transmissão dopaminérgica da substância negra, que é responsável pela produção de dopamina no cérebro. Pesquisas sugerem que a cocaína também desrregula o ritmo circadiano, especialmente em usuários crônicos.[97][98]
Além disso, a cocaína pode causar redução da ingestão de alimentos por promover perda de apetite, de modo que usuários crônicos podem sofrer desnutrição severa e perda significativa de peso. Os efeitos da cocaína são potencializados quando esta é consumida em ambientes novos ou quando associada a novos estímulos.[99]
Farmacocinética
A cocaína tem uma meia-vida biológica curta, estimada entre 42 e 90 minutos. A droga é extensamente metabolizada pelas colinesterases (principalmente no fígado e plasma sanguíneo), e somente cerca de 1% da droga é excretada na urina em sua forma inalterada.[100]
O metabolismo da cocaína é afetado por clivagem hidrolítica, de modo que os metabólitos eliminados são vários: benzoilecgonina (BE), seu principal metabólito, e outros metabólitos menores, como a ecgonina o éster metílico de ecgonina (EME), que é produzido pelo metabolismo da pseudocolinesterase plasmática.[100] Outros metabólitos da cocaína são a norcocaína, p-hidroxicocaína, m-hidroxicocaína, p-hidroxibenzoilecgonina (pOHBE) e m-hidroxibenzoilecgonina.[101] Se consumida em associação com álcool, a cocaína é conjugada no fígado e forma o cocaetileno.[100] Estudos sugerem que o cocaetileno possui maior potencial eufórico e cardiotoxicidade mais elevada do que a cocaína consumida por si só.[100]
Os metabólitos da cocaína são detectáveis na urina em período de tempo variável, a depender das funções hepáticas e renais de cada indivíduo. A benzoilecgonina pode ser detectada na urina em cerca de quatro horas após a ingestão de cocaína, permanecendo detectável por até oito dias após o uso quando em concentrações plasmáticas superiores a 150 ng/mL. A detecção dos metabólitos da cocaína em testes de cabelo nos usuários crônicos pode detectar os metabólitos por até anos, de modo que se tornam indetectáveis apenas quando as partes do cabelo que cresceram durante o uso da cocaína sejam cortadas ou caiam.[102]
Mecanismo de ação

A cocaína é um inibidor da enzima MAO (monoamina oxidase), da recaptação e estimulante da liberação de noradrenalina e dopamina, existentes nos neurônios. A dopamina e a noradrenalina são neurotransmissores cerebrais que são secretados para a sinapse, de onde são recolhidos outra vez para dentro dos neurônios por esses transportadores inibidos pela cocaína. Logo o seu consumo aumenta a concentração e duração desses neurotransmissores. Os efeitos são similares aos das anfetaminas, mas mais intensos e menos prolongados. Causa constrição local.[carece de fontes]
A noradrenalina e a adrenalina são neurotransmissores e hormona do sistema simpático (sistema nervoso autônomo). Elas são normalmente ativadas em situações de stress agudo ("lutar ou fugir") em que o indivíduo necessita de todas as forças e agem junto aos órgãos de modo a obtê-las: aumentam a contração e frequência cardíacas, aumentam a velocidade e clareza do pensamento, destreza dos músculos, inibem a dor, aumentam a tensão arterial. O indivíduo sente-se invulgarmente consciente e desperto, eufórico, excitado, com mente clara e sensação de paragem do tempo. A cocaína é um forte potenciador do sistema nervoso simpático, tanto no cérebro, como na periferia.[carece de fontes]
A dopamina é o neurotransmissor principal das vias meso-limbicas e meso-estriadas. Essas vias têm funções de produzir prazer em resposta a acontecimentos positivos na vida do indivíduo, recompensando a aquisição de novos conhecimentos ou capacidades (aprendizagem), progresso nas relações sociais, relações emocionais e outros eventos. O aumento artificial da dopamina nas sinapses pela cocaína vai ativar anormalmente essas vias. O consumidor sente-se extremamente autoconfiante, poderoso e hiperativo, de uma forma que não corresponde à sua real situação ou habilidade. Com a regularização do consumo, as vias dopaminérgicas são modificadas e pervertidas ("highjacked") e a cocaína passa de facilitadora do sentimento de sucesso e confiança face a situações externas, para simples recompensa derivada diretamente de um distúrbio bioquímico cerebral criado pela própria droga, que é dela dependente. O bem-estar desliga-se de condicionantes externas, passando a ser apenas uma medida do tempo passado desde a última dose. A motivação do indivíduo torna-se "irreal", desligando-se dos interesses sociais, familiares, emocionais, ambição profissional ou aprendizagem de formas de lidar com novos desafios, para se concentrar apenas na droga, que dá um sentimento de auto-realização artificial de intensidade impossível de atingir de outra forma.[carece de fontes]
Química
Aparência

Em sua forma mais pura, a cocaína possui um aspecto branco e brilhoso. A cocaína em pó é um sal, normalmente em forma de cloridrato. Geralmente, a cocaína vendida nas ruas é adulterada com agentes de corte, como talco, lactose, sacarose, glicose, manitol, inositol, cafeína, procaína, fenciclidina, fenitoína, levamisol, lidocaína, estricnina, anfetamina ou mesmo heroína.[103]
A cor da cocaína em forma de crack depende de vários fatores, como a origem da droga, o método utilizado para sintetizá-la – com amônia ou bicarbonato de sódio – e seu grau de impurezas. Geralmente, a coloração varia do branco a um tom amarelado, mas também pode ter um aspecto marrom claro. Sua textura também varia a depender dos adulterantes, da origem e do processamento da cocaína em pó e do método de biossíntese da base livre. Pode variar de uma textura quebradiça, por vezes extremamente oleosa, a uma natureza de maior dureza e quase cristalina.
Formas
- Sais
A cocaína é um alcaloide tropano levemente alcalino e pode, portanto, combinar-se com compostos ácidos para formar sais. O cloridrato da cocaína (HCl) é a forma mais comum da droga como sal, embora os sais de sulfato (SO42-) e nitrato (NO3-) também sejam encontrados. Os sais se dissolvem em maior ou menor grau a depender dos solventes e do tipo de sal, a exemplo do cloridrato, que é bastante solúvel em água e, por isso, comumente injetado.[104]
- Pasta base

A pasta base ou base livre é a forma básica da cocaína, em oposição à forma de sal. Quando em base livre, a cocaína é praticamente insolúvel em água. Adicionalmente, o fumo da base livre libera metilecgonidina no organismo do usuário, produto da pirólise da substância (um efeito colateral que a insuflação ou injeção não produzem). Por este fato, pesquisas sugerem que fumar cocaína em forma de base livre possui maior cardiotoxicidade se comparada a outras vias de administração,[105] justamente por causa dos efeitos da metilecgonidina no tecido pulmonar[106] e hepático.[107] A cocaína pura é sintetizada por meio da neutralização de seu sal em solução alcalina, que é posteriormente refinado por meio de extração líquido-líquido em solvente aquoso.
- Crack
O ato de fumar crack, que é a forma solidificada da cocaína, produz efeitos intensos e que se iniciam em segundos. Embora os efeitos estimulantes possam durar horas, a sensação de euforia é muito breve, de modo que os estímulos reforçadores levam o usuário a fumar repetidas vezes. A cocaína em pó (cloridrato de cocaína) se degrada facilmente quando queimada, de modo que o crack pode ser fumado mais facilmente porque sofre pouca ou nenhuma degradação por pirólise.
O crack é uma forma de base livre de cocaína, mas com menor pureza, e é geralmente sintetizado pela neutralização do cloridrato de cocaína em solução de bicarbonato de sódio e água, gerando um produto duro e quebradiço.[108] A origem do nome crack vem dos estalidos produzidos quando a cocaína em forma de crack e suas impurezas são aquecidas.[109]
- Infusões de folhas de coca
A infusão de folhas de coca (também conhecida como chá de coca) é tradicionalmente consumida em países que cultivam a planta de coca extensivamente. A comercialização gratuita e legal das folhas secas de coca sob a forma de chá foi promovida pelos governos do Peru e da Bolívia por muitos anos, sob alegação de ser uma bebida com propriedades medicinais. No Peru, a National Coca Company, uma empresa estatal, vende chás e também exporta as folhas de coca para os Estados Unidos para fins medicinais.[110]
Os turistas que chegam à cidade de Cusco, no Peru, e de La Paz, na Bolívia, são recepcionados com ofertas de chá de coca, para supostamente ajudá-los a lidar com o mal da montanha. Os efeitos de beber o chá de coca são levemente estimulantes, além de que este não produz um entorpecimento significativo nas mucosas orais, nem uma sensação de euforia como ao insuflar ou injetar cocaína.[111] Porém, a benzoilecgonina, um metabólito da cocaína, pode ser detectada na urina das pessoas em horas após beber o chá de coca.[112]
Biossíntese

A molécula de cocaína foi sintetizada pela primeira vez em 1898, pelo químico alemão Richard Willstätter.[113] A síntese de Willstätter isolou a cocaína da tropinona (uma percursora da atropina) em forma de nitrato (-NO3). Após o trabalho pioneiro de Willstätter, os químicos Robert Robinson e Edward Leete deram contribuições significativas para a síntese da droga.
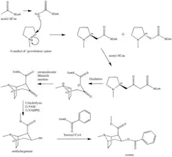
Os átomos adicionais de carbono necessários para a síntese de cocaína são derivados da acetilcoenzima A (acetil-CoA), reação que se dá por meio da adição de duas unidades de acetil-CoA ao cátion N-metil-Δ¹-pirrolino.[114] A primeira adição é uma reação do tipo Mannich, com o ânion de acetil-CoA atuando com nucleófilo em sua interação com o cátion pirrolínico. A segunda adição ocorre por meio de uma condensação de Claisen, que produz uma mistura racêmica da pirrolina ([2,3-13C2]4(Metil-2-pirrolidinil)-3-oxobutanoato), e por retenção do tioéster na condensação de Claisen.[115] Na biossíntese da cocaína, apenas o enantiômero S- é capaz de se ciclizar para formar os anéis de tropano da cocaína[116] Isto se deve à quiralidade associada ao C-2.[117] Este processo ocorre por meio de uma oxidação, que regenera o cátion pirrolínico, forma um ânion enolato por aminometilação do carbono ativado numa reação de Mannich. O sistema de anéis do tropano sofre hidrólise e metilação por meio do fosfato de dinucleótido de nicotinamida e adenina (NADPH) e forma a metilecgonina. A porção benzoíla necessária para a formação do diéster de cocaína é sintetizada a partir da fenilalanina por meio de ácido cinâmico.[118]
- Cátion N-metil-pirrolínio
A biossíntese começa com a L-glutamina, que é derivada da L-ornitina presente em plantas. A principal contribuição da L-ornitina e da L-arginina como precursores do anel do tropano foi confirmada por Edward Leete.[119] Em seguida, a ornitina sofre descarboxilação por piridoxal fosfato e forma a putrescina.[120]
- Descarboxilação-acetona
A biossíntese do alcaloide tropano ainda é inconclusiva. Hipóteses sugerem que o acetonedicarboxilato de Robinson atua como um intermediário nesta reação.[121] Assim, por condensação de N-metilpirrolínio e acetonedicarboxilato seria formado o oxobutirato, ao passo que a descarboxilação levaria à formação de alcaloide tropano.
- Redução da tropinona
A redução da tropinona é mediada por enzimas redutase, como o nitrato redutase, os quais são dependentes do NADPH.[122] Várias espécies de plantas contêm a tropinona redutase I (TRI) e a tropinona redutase II (TRII). A TRI produz tropina, e a TRII produz pseudotropina. Devido às diferentes características cinéticas e de pH das enzimas, a maior parte da redução da tropinona é derivada da TRI, além de que sua atividade é cerca de vinte e cinco vezes maior em relação à TRII.[123]
História
Andes e planta da coca
A folha de coca (cujo consumo mesmo se em grandes quantidades, leva apenas à absorção de uma dose minúscula de cocaína) é usada comprovadamente há mais de 5 000 anos pelos povos nativos da América do Sul. Eles a mastigavam para ajudar a suportar a fome, a sede e o cansaço, sendo, ainda hoje, consumida legalmente em alguns países (Bolívia) sob a forma de chá (a absorção do princípio ativo, por esta via, é muito baixa). Os Incas e outros povos dos Andes usaram-na certamente, permitindo-lhes trabalhar a altas altitudes, onde a rarefação do ar e o frio tornam o trabalho árduo especialmente difícil. A sua ação anorexiante (supressora da fome) lhes permitia transportar apenas um mínimo de comida durante alguns dias.
Inicialmente os espanhóis, constatando o uso quase religioso da planta, nas suas tentativas de converter os índios ao cristianismo, declararam a planta produto do demónio.
O seu uso entre os espanhóis do novo mundo espalhou-se, sendo as folhas usadas para tratar feridas e ossos partidos ou curar a constipação/resfriado. A coca foi levada para a Europa em 1580.
Primeiras experiências
A cocaína é extraída das folhas do arbusto da coca (Erythroxylon coca), que possui gineceu constituído de três carpelos, cálice de cinco sépalas e corola de cinco pétalas. Suas folhas são alternadas, elípticas e pecioladas.[carece de fontes] O alcaloide (cocaína) foi isolado das folhas de coca por Niemann em 1859[124] ou 1860, que lhe deu o nome. No entanto há boas razões para supor que foi antes Friedrich Gaedcke que a isolou pela primeira vez em 1855[124] ou 1856.[125]

O seu uso espalhou-se gradualmente. Após visitas à América do Sul de cientistas italianos que levaram amostras da planta para o seu país, o químico Angelo Mariani desenvolveu, em 1863 o vinho Mariani, uma infusão alcoólica de folhas de coca (mais poderosa devido ao poder extrativo do etanol que as infusões de água ou chás usadas antes). O vinho Mariani era muito apreciado pelo Papa Leão XIII, que inclusivamente premiou Mariani com uma medalha honorífica.
A Coca-Cola seria inventada em parte como tentativa de competição dos comerciantes americanos com o vinho Mariani importado da Itália. A Coca-Cola continuaria desde a sua invenção até 1903 a incluir cocaína nos seus ingredientes,[7] e os seus efeitos foram sem dúvida determinantes do poder atrativo inicial da bebida.
A cocaína tornou-se popular entre as classes altas no fim do século XIX. Entre consumidores famosos do vinho Mariani contavam-se Ulysses Grant, o Papa Leão XIII, que até apareceu na publicidade do produto e Frédéric Bartholdi (francês, criador da Estátua da liberdade), que comentou que se o vinho tivesse sido inventado mais cedo teria feito a estátua mais alta.
Popularização

A cocaína foi nessa altura popularizada como tratamento para a toxicodependência de morfina.Em Viena, Tedescos como[126] Sigmund Freud, o médico psiquiatra criador da psicanálise experimentou-a em si para efeitos analgésicos por conta do tumor e posterior câncer que teve na região máxilo-buco-facial. Publicou inclusivamente um ensaio intitulado Über Coca sobre a sua vivência.[127] Foi ele que a forneceu ao oftalmologista Karl Köller, que em 1884 a usou pela primeira vez enquanto anestésico local, aplicando gotas com cocaína nos olhos de pacientes antes de serem operados.
A popularidade da cocaína ganha terreno: Em 1885 a companhia americana Parke-Davis vendia livremente cocaína em cigarros, pó ou liquido injetável sob o lema de "substituir a comida; tornar os covardes corajosos, os silenciosos eloquentes e os sofredores insensíveis à dor". O personagem fictício Sherlock Holmes (personagem de Arthur Conan Doyle) chega mesmo a injetar cocaína nas veias numa das histórias. Em 1909, Ernest Shackleton leva cocaína para a sua viagem à Antártida, assim como o Capitão Robert Scott.
Proibição
Apesar do entusiasmo, os efeitos negativos da cocaína acabaram por ser descobertos. Com o uso da cocaína pelas classes baixas, inclusive nos Estados Unidos, acabou por assustar as classes altas a um extremo que o seu óbvio potencial de dependência e graves problemas para a saúde nunca levaram. Os alertas racistas no sul dos Estados Unidos sobre os "ataques a mulheres brancas do Sul que são o resultado direto do cérebro do negro enlouquecido por cocaína" como exprimiu um farmacêutico proeminente, acabaram por resultar na regulação e posterior proibição da substância.[carece de fontes]
Apesar dos motivos iniciais, é consensual entre a comunidade médica que os elevados efeitos autodestruidores do consumo de cocaína são plenamente justificativos da proibição atual.
O crack foi um desenvolvimento moderno do consumo da cocaína. É muito mais barato e fácil de consumir, e as comunidades pobres arruínam-se ainda mais por todo o mundo devido ao seu consumo.
Muitos usuários de cocaína, conhecendo o crack, começaram a utilizar somente ele, pois o efeito de euforia é mais forte do que da cocaína e por muitos não terem dinheiro para comprar ambas, compram somente o crack. Porém isso não é uma regra, muitos usuários de cocaína e crack, podem ter uso abusivo de ambas ou mais ainda da cocaína, dependendo da assimilação do usuário.
A cocaína não produz o mesmo efeito depois de anos de utilização, então no usuário que consome 1 grama, ela não causa mais efeito. Por sua vez, com o crack, o usuário sente um efeito potente, mas bem menos duradouro do que a cocaína, isto é, o usuário sente um efeito rápido.
Muitos usuários de cocaína ou crack abusam demasiadamente da droga, pois o seu efeito é breve. Assim, a vontade de ter novamente as sensações causadas psicologicamente pela droga faz com que as doses sejam cada vez maiores, o que pode ocasionar overdose.
Uso moderno
O consumo de cocaína continua prevalente em todos os estratos socioeconômicos, levando em conta dados demográficos, econômicos, sociais, políticos, religiosos e trabalhistas.[128]
Estima-se que o mercado de cocaína nos Estados Unidos superou 70 bilhões de dólares em 2005, valor superior a receitas de grandes empresas, como a Starbucks.[129][130] Há uma alta demanda por cocaína no mercado dos Estados Unidos, e o taxamento da cocaína como uma droga de clube mostra sua popularidade entre pessoas que frequentam festas noturnas e raves.[131]
Em 1995, a Organização Mundial da Saúde (OMS) e o Instituto Inter-regional de Pesquisa sobre Crime e Justiça das Nações Unidas (UNICRI) finalizaram a elaboração do maior estudo global até então sobre o uso de cocaína. No entanto, uma decisão de um representante americano na Assembleia Mundial da Saúde vetou a publicação do estudo, pois argumentou que o documento promovia o uso positivo da cocaína. Um trecho do relatório dizia, por exemplo, "que o uso ocasional de cocaína não costuma levar a problemas físicos ou sociais graves ou mesmo menores". Na sexta reunião do comitê, o representante dos EUA disse que "Se as atividades da Organização Mundial da Saúde relacionadas às drogas não reforçassem as abordagens utilizadas de controle sobre drogas, os fundos de financiamento para estes programas deverão ser reduzidos". Isso levou à decisão de cancelar a publicação. Mesmo assim, uma parte do estudo foi publicada em 2010, incluindo perfis de consumo da cocaína em vinte países, mas este documento possuía limitações em seus dados estatísticos.[132]
Sociedade e cultura

.jpg)
Legalidade
A produção, distribuição e venda de produtos contendo cocaína e seus derivados são restritas ou ilegais na maioria dos países, conforme foi regulamentado pela Convenção Única sobre Entorpecentes e pela Convenção das Nações Unidas contra o Tráfico Ilícito de Entorpecentes e Substâncias Psicotrópicas. Nos Estados Unidos, a fabricação, importação, posse e distribuição de cocaína são regulamentadas também pela Lei de Substâncias Controladas de 1970. Alguns países, como Peru e Bolívia, permitem o cultivo da folha de coca para consumo tradicional pela população indígena, mas proíbem a produção, venda e consumo de cocaína.[133] As quantidades que um cocaleiro pode produzir anualmente são protegidas por leis, a exemplo do acordo Cato na Bolívia.[134] Além disso, algumas regiões da Europa, Estados Unidos e Austrália permitem o uso médico do cloridrato de cocaína.
O mercado norte-americano de cocaína é o maior do mundo, e se estima que tenha movimentado cerca de 70 000 milhões de dólares, em 2005, mais do que o faturamento de muitas empresas.[135]
- Austrália
A cocaína é uma substância proibida de na Austrália e uma droga classificada como Schedule 8.[136] Uma substância nesta classificação é uma droga controlada que possui restrição de fabricação, fornecimento, distribuição, posse e uso, a fim de reduzir o abuso, o uso indevido e a dependência física da droga.[136]
- Estados Unidos
Os Estados Unidos impõem uma exigência de rotulagem nacional para produtos contendo cocaína e seus derivados por meio do Pure Food and Drug Act de 1906.[137] Outra lei de regulamentação federal é o Harrison Narcotics Tax Act de 1914.[138] A Lei Harrison não reconheceu a toxicodependência como uma doença e, desse modo, o uso terapêutico de cocaína, heroína ou morfina foi proibido, o que gerou um editorial de 1915 na revista American Medicine, que disse que ao viciado "é negado o atendimento médico que ele precise com urgência, e também as fontes quais estele anteriormente obtinha seu suprimento de droga, de modo que ele levado à marginalização".[139] A Lei Harrison praticamente não afetou os produtores de cocaína, exigindo destes somente que atendessem aos padrões de pureza e rotulagem.[140] Apesar de a cocaína ser tipicamente traficada e vendida ilegalmente, as quantidades produzidas de cocaína legal pouco diminuíram.[140] As quantidades de cocaína legal diminuíram somente a partir da Lei Jones-Miller de 1922, que impôs restrições mais severas aos cultivadores de coca.[140]
Apreensões
Em 2004, de acordo com relatório da Organização das Nações Unidas (ONU), 589 toneladas de cocaína foram apreendidas no mundo pelas autoridades policiais. Deste número, líder no ranking de apreensões, a Colômbia apreendeu 188 toneladas.[141]
Economia
Devido ao potencial elevado em causar dependência e overdose, a cocaína é considerada uma "droga pesada", com penalidades geralmente mais severas em relação ao porte e tráfico deste entorpecente. A demanda continua alta e, consequentemente, a cocaína traficada é bastante lucrativa e vendida a preços elevados, especialmente em países desenvolvidos. A cocaína não processada, como as folhas de coca, também é comercializada, mas isso é extremamente raro, pois é muito mais mais lucrativo seu contrabando em forma de cloridrato.
- Produção
Desde 2019, a Colômbia é o maior produtor mundial de cocaína, sendo que esta produção triplicou desde 2013.[142][143] Três quartos da produção anual mundial de cocaína são produzidos na Colômbia, tanto a partir da base de cocaína importada do Peru (principalmente pelo rio Huallaga) e da Bolívia. A coca cultivada para fins tradicionais pelas comunidades indígenas, um uso que ainda existe e é permitido pela legislação colombiana, representa apenas uma pequena parcela da produção total de coca, pois a maior parte desta é usada para suprir o mercado do tráfico de drogas.
Em entrevista a um cocalero, publicada em 2003, um modo de produção por extração ácido-base que pouco mudou desde 1905. Aproximadamente 283 kg de folhas foram colhidas por hectare, em seis levas por ano. As folhas passaram por secagem durante doze horas, e depois foram picadas e polvilhadas com uma pequena quantidade de cimento em pó (que atua, neste caso, como substituto do carbonato de sódio). Em seguida, a mistura foi embebida em gasolina durante um dia, e após a retirada da gasolina as folhas foram prensadas para que os líquidos fossem eliminados. Após a secagem, o ácido sulfúrico é aplicado nas folhas, de modo a criar uma separação das fases na qual a base livre de cocaína, já acidificada em gasolina, é extraída e colocada em baldes. Após isto, foi adicionado hidróxido de sódio em pó, causando precipitação da cocaína, que já pode ser extraída por filtração. O material resultante, quando seco, é chamado de paco e vendido pelos cocaleros. Após a venda, a recristalização por adição de novos solventes é frequentemente realizada em laboratórios especializados.[144]
| 2000 | 2001 | 2002 | 2003 | 2004 | |
|---|---|---|---|---|---|
| Cultivo km² | 1 875 km² | 2 218 km² | 2 007 km² | 1 663 km² | 1 662 km² |
| Potencial de produção para cocaína pura (em toneladas) | 770 | 925 | 830 | 680 | 645 |
Tráfico e distribuição

Os traficantes envolvidos no crime organizado e em organizações criminosas operam em larga escala e dominam o comércio de cocaína. A maior parte da cocaína é cultivada e processada em países da América do Sul, especialmente na Colômbia, Bolívia e Peru, e muito contrabandeada para os Estados Unidos e Europa, sendo os Estados Unidos o maior consumidor mundial de cocaína,[146] mesmo que a droga seja vendida a preços mais elevados no mercado americano.[147]
- Rotas caribenhas e mexicanas
Em 2005, os carregamentos de cocaína da América do Sul eram transportados cruzando o México e os países da América Central, geralmente por via terrestre ou aérea, com locais de parada no norte do México. Ao chegar nesta região, a cocaína é dividida em porções menores para cruzar a fronteira entre os Estados Unidos e o México. Os principais locais de importação de cocaína nos Estados Unidos são o Arizona, o sul da Califórnia, o sul da Flórida e o Texas. Estima-se que um quarto da cocaína que entra nos Estados Unidos advém da fronteira mexicana, e o restante entra principalmente pela Flórida.[148] Em 2015, o Cartel de Sinaloa era a principal organização criminosa associada ao tráfico de cocaína para os Estados Unidos.[149]
- Vendas a usuários

A cocaína está amplamente disponível nas áreas metropolitanas da maioria dos países. De acordo com o Pulse Check de 1998, um relatório publicado pelo Escritório de Política Nacional de Controle de Drogas dos Estados Unidos, o consumo de cocaína se estabilizou no país, mas leves aumentos foram registrados em San Diego, Bridgeport, Miami e Boston. Na costa oeste dos Estados Unidos, o uso de cocaína era menor, o que se pensava ser devido à ascensão do consumo de metanfetamina entre os usuários, pois esta é mais barata, mais potente e seu efeito entorpecente é mais duradouro.[150] No entanto, o número de usuários de cocaína continua alto, com grande concentração entre os jovens.[151] A qualidade, em termos de pureza, e o preço da droga variam drasticamente, dependendo da oferta e da demanda e do local em que é vendida.[152]
Em 2008, o Observatório Europeu da Droga e da Toxicodependência (OEDT) relatou que o preço da cocaína variava de €50 a €75 por grama na maioria dos países europeus, mas em Chipre, Romênia, Suécia e Turquia os valores médios eram mais elevados.[153]
- Consumo
Em 2000, o consumo mundial de cocaína por ano era de cerca de 600 toneladas, com os Estados Unidos consumindo cerca de 50% do total e a Europa cerca de 25%.[154] Estima-se que 1,5 milhão de pessoas nos Estados Unidos consumiram cocaína em 2010, o que representa uma queda se comparado a média de 2,4 milhões de pessoas em 2006[155] Por outro lado, o uso de cocaína está aumentando na Europa, com prevalências mais altas na Espanha, Reino Unido, Itália e Irlanda[155]
O Relatório Mundial sobre Drogas de 2010 da Organização das Nações Unidas (ONU) disse que “parece que o valor do mercado de cocaína na América do Norte caiu de 47 bilhões de dólares em 1998 para 38 bilhões em 2008" e que "entre 2006 e 2008, o valor de mercado da droga permaneceu praticamente estável".[156]
Ver também
- Redução de danos
- Vacina contra cocaína
- Psicose tóxica das anfetaminas
- Brown-brown
- Mortes por uso de drogas
- Intoxicação por cocaína
- Haxixe
- Heroína
- Ibogaína
- Maconha
- Merla
- Mula (tráfico)
- Ópio
- Óxi
- Paco
- Síndrome de abstinência
Referências
- ↑ «Gírias utiilizadas no mundo das drogas». siteantigo.portaleducacao.com.br. Portal Educação. Consultado em 15 de fevereiro de 2021. Cópia arquivada em 21 de novembro de 2020
- ↑ «What is the abbreviation for cocaine?». www.abbreviations.com (em inglês). Consultado em 15 de fevereiro de 2021
- 1 2 Fattinger K, Benowitz NL, Jones RT, Verotta D (julho de 2000). «Nasal mucosal versus gastrointestinal absorption of nasally administered cocaine». European Journal of Clinical Pharmacology. 56 (4): 305–10. ISSN 0031-6970. PMID 10954344. doi:10.1007/s002280000147
- ↑ Barnett G, Hawks R, Resnick R (1981). «Cocaine pharmacokinetics in humans». Journal of Ethnopharmacology. 3 (2–3): 353–66. PMID 7242115. doi:10.1016/0378-8741(81)90063-5
- ↑ Jeffcoat AR, Perez-Reyes M, Hill JM, Sadler BM, Cook CE (1989). «Cocaine disposition in humans after intravenous injection, nasal insufflation (snorting), or smoking». Drug Metabolism and Disposition. 17 (2): 153–9. PMID 2565204
- ↑ Wilkinson P, Van Dyke C, Jatlow P, Barash P, Byck R (março de 1980). «Intranasal and oral cocaine kinetics». Clinical Pharmacology and Therapeutics. 27 (3): 386–94. PMID 7357795. doi:10.1038/clpt.1980.52
- 1 2 3 «Cocaína - Observatório Brasileiro de Informações Sobre Drogas». Consultado em 9 de março de 2009. Arquivado do original em 17 de maio de 2013
- 1 2 3 4 5 6 7 8 9 10 11 12 13 Pomara, C; Cassano, T; D'Errico, S; Bello, S; Romano, AD; Riezzo, I; Serviddio, G (2012). «Data available on the extent of cocaine use and dependence: biochemistry, pharmacologic effects and global burden of disease of cocaine abusers.». Current medicinal chemistry. 19 (33): 5647–57. PMID 22856655. doi:10.2174/092986712803988811
- 1 2 3 4 5 Zimmerman, JL (outubro de 2012). «Cocaine intoxication.». Critical care clinics. 28 (4): 517–26. PMID 22998988. doi:10.1016/j.ccc.2012.07.003
- ↑ Connors, NJ; Hoffman, RS (novembro de 2013). «Experimental treatments for cocaine toxicity: a difficult transition to the bedside.». The Journal of Pharmacology and Experimental Therapeutics. 347 (2): 251–7. PMID 23978563. doi:10.1124/jpet.113.206383
- ↑ Harper, SJ; Jones, NS (Outubro de 2006). «Cocaine: what role does it have in current ENT practice? A review of the current literature.». The Journal of laryngology and otology. 120 (10): 808–11. PMID 16848922. doi:10.1017/s0022215106001459
- ↑ Sordo, L; Indave, BI; Barrio, G; Degenhardt, L; de la Fuente, L; Bravo, MJ (1 de setembro de 2014). «Cocaine use and risk of stroke: a systematic review.». Drug and Alcohol Dependence. 142: 1–13. PMID 25066468. doi:10.1016/j.drugalcdep.2014.06.041
- 1 2 Goldstein, RA; DesLauriers, C; Burda, AM (Janeiro de 2009). «Cocaine: history, social implications, and toxicity—a review.». Disease-a-month : DM. 55 (1): 6–38. PMID 19081448. doi:10.1016/j.disamonth.2008.10.002
- ↑ Sharma, HS; Muresanu, D; Sharma, A; Patnaik, R (2009). «Cocaine-induced breakdown of the blood–brain barrier and neurotoxicity». International Review of Neurobiology. International Review of Neurobiology. 88: 297–334. ISBN 978-0-12-374504-0. PMID 19897082. doi:10.1016/S0074-7742(09)88011-2
- ↑ Karch, Steven B. (2009). Karch's pathology of drug abuse 4 ed. Boca Raton: CRC Press. p. 70. ISBN 9780849378812. Cópia arquivada em 10 de setembro de 2017
- ↑ Narcotic Drugs 2014 (pdf). [S.l.]: INTERNATIONAL NARCOTICS CONTROL BOARD. 2015. p. 21. ISBN 9789210481571. Cópia arquivada (PDF) em 2 de junho de 2015
- ↑ Karila, L; Zarmdini, R; Petit, A; Lafaye, G; Lowenstein, W; Reynaud, M (Janeiro de 2014). «[Cocaine addiction: current data for the clinician].». Presse Médicale. 43 (1): 9–17. PMID 23727012. doi:10.1016/j.lpm.2013.01.069
- ↑ GBD 2013 Mortality and Causes of Death, Collaborators (17 de dezembro de 2014). «Global, regional, and national age-sex specific all-cause and cause-specific mortality for 240 causes of death, 1990–2013: a systematic analysis for the Global Burden of Disease Study 2013.». Lancet. 385: 117–71. PMC 4340604
. PMID 25530442. doi:10.1016/S0140-6736(14)61682-2 - ↑ Room, R; Reuter, P (7 de janeiro de 2012). «How well do international drug conventions protect public health?». Lancet. 379 (9810): 84–91. PMID 22225673. doi:10.1016/s0140-6736(11)61423-2
- ↑ Dwyer C, Sowerby L, Rotenberg BW (agosto de 2016). «Is cocaine a safe topical agent for use during endoscopic sinus surgery?». The Laryngoscope (Review). 126: 1721–3. PMID 27075241. doi:10.1002/lary.25836
- ↑ Cheng, Mary Hongying; Block, Ethan; Hu, Feizhuo; Cobanoglu, Murat Can; Sorkin, Alexander; Bahar, Ivet (9 de junho de 2015). «Insights into the Modulation of Dopamine Transporter Function by Amphetamine, Orphenadrine, and Cocaine Binding». Frontiers in Neurology. ISSN 1664-2295. PMC 4460958
. PMID 26106364. doi:10.3389/fneur.2015.00134. Consultado em 9 de julho de 2023 - 1 2 3 Dwyer C, Sowerby L, Rotenberg BW (agosto de 2016). «Is cocaine a safe topical agent for use during endoscopic sinus surgery?». The Laryngoscope (Review). 126: 1721–3. PMID 27075241. doi:10.1002/lary.25836
- ↑ «Drug Approval Package: Goprelto (cocaine hydrochloride)». U.S. Food and Drug Administration (FDA). 30 de abril de 2018. Consultado em 30 de abril de 2020
- ↑ «Goprelto- cocaine hydrochloride solution». DailyMed. 3 de janeiro de 2020. Consultado em 30 de abril de 2020
- ↑ «Numbrino: FDA-Approved Drugs». U.S. Food and Drug Administration (FDA). Consultado em 30 de abril de 2020
Este artigo incorpora texto desta fonte, que está no domínio público. - ↑ «Numbrino- cocaine hydrochloride nasal solution». DailyMed. 28 de fevereiro de 2020. Consultado em 30 de abril de 2020
- ↑ «Goprelto- cocaine hydrochloride solution». DailyMed. 3 de janeiro de 2020. Consultado em 30 de abril de 2020
- ↑ «Numbrino - cocaine hydrochloride nasal solution». DailyMed. 28 de fevereiro de 2020. Consultado em 30 de abril de 2020
- ↑ World Health Organization (2004). Neuroscience of psychoactive substance use and dependence. [S.l.: s.n.] ISBN 9789241562355. Cópia arquivada em 30 de abril de 2016
- ↑ World Health Organization (2007). International medical guide for ships. [S.l.: s.n.] ISBN 9789241547208. Cópia arquivada em 30 de abril de 2016
- 1 2 Zimmerman JL (outubro de 2012). «Cocaine intoxication». Critical Care Clinics. 28: 517–26. PMID 22998988. doi:10.1016/j.ccc.2012.07.003
- ↑ Sordo L, Indave BI, Barrio G, Degenhardt L, de la Fuente L, Bravo MJ (setembro de 2014). «Cocaine use and risk of stroke: a systematic review». Drug and Alcohol Dependence (Systematic Review). 142: 1–13. PMID 25066468. doi:10.1016/j.drugalcdep.2014.06.041
- ↑ Donroe JH, Tetrault JM (julho de 2017). «Substance Use, Intoxication, and Withdrawal in the Critical Care Setting». Critical Care Clinics (Review). 33: 543–558. PMID 28601134. doi:10.1016/j.ccc.2017.03.003
- ↑ Usher, Tom (1 de fevereiro de 2019). «Como a cocaína afeta o esperma e o pau do usuário». www.vice.com. VICE. Consultado em 13 de fevereiro de 2021. Cópia arquivada em 24 de outubro de 2020
- ↑ Fehrman, Elaine; Egan, Vincent; Gorban, Alexander N.; Levesley, Jeremy; Mirkes, Evgeny M.; Muhammad (2019). Personality Traits and Drug Consumption. A Story Told by Data. [S.l.]: Springer, Cham. ISBN 978-3-030-10441-2. arXiv:2001.06520
. doi:10.1007/978-3-030-10442-9 - ↑ Barnett G, Hawks R, Resnick R (1981). «Cocaine pharmacokinetics in humans». Journal of Ethnopharmacology. 3: 353–66. PMID 7242115. doi:10.1016/0378-8741(81)90063-5; Jones, supra note 19; Wilkinson et al., Van Dyke et al.
- 1 2 Luks AM, McIntosh SE, Grissom CK, Auerbach PS, Rodway GW, Schoene RB, Zafren K, Hackett PH (junho de 2010). «Wilderness Medical Society consensus guidelines for the prevention and treatment of acute altitude illness» (PDF). Wilderness & Environmental Medicine. 21: 146–55. PMID 20591379. doi:10.1016/j.wem.2010.03.002. Cópia arquivada (PDF) em 15 de outubro de 2012 ()
- ↑ «Oscar Magrini diz que na Globo tem quarto para cheirar pó e ter momentos íntimos». Gente. iG. 26 de novembro de 2020. Consultado em 16 de fevereiro de 2021
- ↑ «DrugFacts: Cocaine». National Institute on Drug Abuse. Abril de 2013. Consultado em 11 de julho de 2015. Cópia arquivada em 11 de julho de 2015
- ↑ Zimmerman JL (outubro de 2012). «Cocaine intoxication». Critical Care Clinics. 28: 517–26. PMID 22998988. doi:10.1016/j.ccc.2012.07.003
- ↑ Volkow ND, Wang GJ, Fischman MW, Foltin R, Fowler JS, Franceschi D, Franceschi M, Logan J, Gatley SJ, Wong C, Ding YS, Hitzemann R, Pappas N (agosto de 2000). «Effects of route of administration on cocaine induced dopamine transporter blockade in the human brain». Life Sciences. 67: 1507–15. PMID 10983846. doi:10.1016/S0024-3205(00)00731-1
- ↑ «Cocaine terminology». Cópia arquivada em 9 de julho de 2007
- ↑ «Cocaine overdose: How much amount of cocaine to overdose?». AddictionBlog.org. 2 de fevereiro de 2014. Cópia arquivada em 12 de novembro de 2020
- ↑ Bonkovsky HL, Mehta S (fevereiro de 2001). «Hepatitis C: a review and update». Journal of the American Academy of Dermatology. 44: 159–82. PMID 11174373. doi:10.1067/mjd.2001.109311
- ↑ Varella, Dr Drauzio (1 de setembro de 2011). «A epidemia do crack | Artigo». Drauzio Varella. Consultado em 13 de fevereiro de 2021
- ↑ Volkow ND, Wang GJ, Fischman MW, Foltin R, Fowler JS, Franceschi D, Franceschi M, Logan J, Gatley SJ, Wong C, Ding YS, Hitzemann R, Pappas N (agosto de 2000). «Effects of route of administration on cocaine induced dopamine transporter blockade in the human brain». Life Sciences. 67: 1507–15. PMID 10983846. doi:10.1016/S0024-3205(00)00731-1
- ↑ Dimitrijevic N, Dzitoyeva S, Manev H (agosto de 2004). «An automated assay of the behavioral effects of cocaine injections in adult Drosophila». Journal of Neuroscience Methods. 137: 181–4. PMID 15262059. doi:10.1016/j.jneumeth.2004.02.023
- 1 2 Zimmerman JL (outubro de 2012). «Cocaine intoxication». Critical Care Clinics. 28: 517–26. PMID 22998988. doi:10.1016/j.ccc.2012.07.003
- ↑ «Appendix B: Production of Cocaine Hydrochloride and Cocaine Base». US Justice Dep. Cópia arquivada em 30 de novembro de 2009
- ↑ Volkow ND, Wang GJ, Fischman MW, Foltin R, Fowler JS, Franceschi D, Franceschi M, Logan J, Gatley SJ, Wong C, Ding YS, Hitzemann R, Pappas N (agosto de 2000). «Effects of route of administration on cocaine induced dopamine transporter blockade in the human brain». Life Sciences. 67: 1507–15. PMID 10983846. doi:10.1016/S0024-3205(00)00731-1
- ↑ Garcia RC, Torres LH, Balestrin NT, Andrioli TC, Flório JC, de Oliveira CD, da Costa JL, Yonamine M, Sandoval MR, Camarini R, Marcourakis T (fevereiro de 2017). «Anhydroecgonine methyl ester, a cocaine pyrolysis product, may contribute to cocaine behavioral sensitization». Toxicology. 376: 44–50. PMID 27129946. doi:10.1016/j.tox.2016.04.009
- ↑ Reist, Margaret (16 de janeiro de 2005). «A rose by another name: crack pipe». Lincoln Journal Star. Consultado em 21 de agosto de 2009. Cópia arquivada em 26 de julho de 2010
- ↑ «Cocaine | FRANK». www.talktofrank.com. Consultado em 23 de janeiro de 2017. Cópia arquivada em 2 de fevereiro de 2017
- ↑ Doss, P. L.; Gowitt, G. T. (dezembro de 1988). «Investigation of a death caused by rectal insertion of cocaine». The American Journal of Forensic Medicine and Pathology (4): 336–338. ISSN 0195-7910. PMID 3239554. doi:10.1097/00000433-198812000-00014. Consultado em 13 de fevereiro de 2021
- 1 2 Zhao, Wei (2008). Mechanisms Mediating Sex Differences in the Effects of Cocaine. [S.l.: s.n.] ISBN 978-0-549-99458-9. Consultado em 25 de setembro de 2012. Cópia arquivada em 4 de abril de 2014
- ↑ World Health Organization (2004). Neuroscience of psychoactive substance use and dependence. [S.l.: s.n.] ISBN 9789241562355. Cópia arquivada em 30 de abril de 2016
- ↑ Nutt DJ, King LA, Phillips LD (novembro de 2010). «Drug harms in the UK: a multicriteria decision analysis». Lancet. 376: 1558–65. CiteSeerX 10.1.1.690.1283
. PMID 21036393. doi:10.1016/S0140-6736(10)61462-6 - ↑ Biological Psychiatry. 2 2 ed. [S.l.]: Wiley. 2002. ISBN 978-0-471-49198-9
- ↑ Substance abuse: a comprehensive textbook 4 ed. [S.l.]: Lippincott Williams & Wilkins. 2004. ISBN 978-0-7817-3474-5. Consultado em 5 de janeiro de 2014. Cópia arquivada em 4 de abril de 2014
- ↑ Substance abuse: a comprehensive textbook 4 ed. [S.l.]: Lippincott Williams & Wilkins. 2004. ISBN 978-0-7817-3474-5. Consultado em 5 de janeiro de 2014. Cópia arquivada em 4 de abril de 2014
- ↑ Baigent, Michael (2003). «Physical complications of substance abuse: what the psychiatrist needs to know». Curr Opin Psychiatry. 16: 291–296. doi:10.1097/00001504-200305000-00004
- 1 2 Zimmerman JL (outubro de 2012). «Cocaine intoxication». Critical Care Clinics. 28: 517–26. PMID 22998988. doi:10.1016/j.ccc.2012.07.003
- ↑ Pagliaro, Louis; Pagliaro, Ann Marie (2004). Pagliaros' Comprehensive Guide to Drugs and Substances of Abuse. Washington, D.C.: American Pharmacists Association. ISBN 978-1-58212-066-9
- ↑ «More bad news for cocaine users: Drug can triple risk of aneurysm». Scienceblog.com. 1999. Consultado em 10 de julho de 2007. Cópia arquivada em 11 de outubro de 2007
- ↑ Trozak DJ, Gould WM (março de 1984). «Cocaine abuse and connective tissue disease». Journal of the American Academy of Dermatology. 10. 525 páginas. PMID 6725666. doi:10.1016/S0190-9622(84)80112-7
- ↑ Peces R, Navascués RA, Baltar J, Seco M, Alvarez J (1999). «Antiglomerular basement membrane antibody-mediated glomerulonephritis after intranasal cocaine use». Nephron. 81: 434–8. PMID 10095180. doi:10.1159/000045328
- ↑ Moore PM, Richardson B (julho de 1998). «Neurology of the vasculitides and connective tissue diseases». Journal of Neurology, Neurosurgery, and Psychiatry. 65: 10–22. PMC 2170162
. PMID 9667555. doi:10.1136/jnnp.65.1.10 - ↑ Jaffe JA, Kimmel PL (julho de 2006). «Chronic nephropathies of cocaine and heroin abuse: a critical review». American Society of Nephrology. Clinical Journal of the American Society of Nephrology. 1: 655–67. PMID 17699270. doi:10.2215/CJN.00300106
- ↑ «Cocaine use and kidney damage». Oxford University Press. Março de 2000: 299–301. PMID 10692510. doi:10.1093/ndt/15.3.299. Cópia arquivada em 20 de abril de 2011
- ↑ Sordo L, Indave BI, Barrio G, Degenhardt L, de la Fuente L, Bravo MJ (setembro de 2014). «Cocaine use and risk of stroke: a systematic review». Drug and Alcohol Dependence (Systematic Review). 142: 1–13. PMID 25066468. doi:10.1016/j.drugalcdep.2014.06.041
- ↑ Havakuk O, Rezkalla SH, Kloner RA (julho de 2017). «The Cardiovascular Effects of Cocaine». Journal of the American College of Cardiology (Review). 70: 101–113. PMID 28662796. doi:10.1016/j.jacc.2017.05.014
- ↑ Hoffman, Barbara L.; Schorge, John O.; Bradshaw, Karen D.; Halvorson, Lisa M.; Schaffer, Joseph I.; Corton (22 de abril de 2016). Williams Gynecology, Third Edition (em inglês). [S.l.]: McGraw Hill Professional. ISBN 9780071849098
- ↑ Leveno, Kenneth J.; Spong, Catherine Y.; Dashe, Jodi S.; Casey, Brian M.; Hoffman, Barbara L.; Cunningham (12 de abril de 2018). Williams Obstetrics 25th ed. [S.l.]: McGraw-Hill Education. ISBN 9781259644320
- ↑ «Overdose Death Rates». National Institute on Drug Abuse (NIDA). 28 de novembro de 2015. Cópia arquivada em 28 de novembro de 2015
- ↑ Nestler EJ, Barrot M, Self DW (setembro de 2001). «DeltaFosB: a sustained molecular switch for addiction». Proceedings of the National Academy of Sciences of the United States of America. 98: 11042–6. Bibcode:2001PNAS...9811042N. PMC 58680
. PMID 11572966. doi:10.1073/pnas.191352698 - 1 2 Hope BT (maio de 1998). «Cocaine and the AP-1 transcription factor complex». Annals of the New York Academy of Sciences. 844: 1–6. Bibcode:1998NYASA.844....1H. PMID 9668659. doi:10.1111/j.1749-6632.1998.tb08216.x
- 1 2 Kelz MB, Chen J, Carlezon WA, Whisler K, Gilden L, Beckmann AM, Steffen C, Zhang YJ, Marotti L, Self DW, Tkatch T, Baranauskas G, Surmeier DJ, Neve RL, Duman RS, Picciotto MR, Nestler EJ (setembro de 1999). «Expression of the transcription factor deltaFosB in the brain controls sensitivity to cocaine». Nature. 401: 272–6. PMID 10499584. doi:10.1038/45790
- ↑ Colby CR, Whisler K, Steffen C, Nestler EJ, Self DW (março de 2003). «Striatal cell type-specific overexpression of DeltaFosB enhances incentive for cocaine». The Journal of Neuroscience. 23: 2488–93. PMC 6742034
. PMID 12657709. doi:10.1523/JNEUROSCI.23-06-02488.2003 - 1 2 Nestler EJ, Barrot M, Self DW (setembro de 2001). «DeltaFosB: a sustained molecular switch for addiction». Proceedings of the National Academy of Sciences of the United States of America. 98: 11042–6. Bibcode:2001PNAS...9811042N. PMC 58680
. PMID 11572966. doi:10.1073/pnas.191352698 - ↑ Testededrogas
- ↑ R. Baselt, Disposition of Toxic Drugs and Chemicals in Man, 9th edition, Biomedical Publications, Seal Beach, California, 2011, pp. 390–394.
- ↑ Venkatratnam A, Lents NH (julho de 2011). «Zinc reduces the detection of cocaine, methamphetamine, and THC by ELISA urine testing». Journal of Analytical Toxicology. 35: 333–40. PMID 21740689. doi:10.1093/anatox/35.6.333. Cópia arquivada em 18 de maio de 2012
- ↑ «Meet the Chemist Behind Many Popular—and Faulty—Police Drug Kits». Pacific Standard (em inglês). 22 de junho de 2016. Consultado em 21 de abril de 2020
- ↑ Gabrielson, Ryan; Sanders, Topher (7 de julho de 2016). «How a $2 Roadside Drug Test Sends Innocent People to Jail». The New York Times (em inglês). ISSN 0362-4331. Consultado em 21 de abril de 2020
- ↑ Rothman RB, Baumann MH, Dersch CM, Romero DV, Rice KC, Carroll FI, Partilla JS (janeiro de 2001). «Amphetamine-type central nervous system stimulants release norepinephrine more potently than they release dopamine and serotonin». Synapse. 39: 32–41. PMID 11071707. doi:10.1002/1098-2396(20010101)39:1<32::AID-SYN5>3.0.CO;2-3 (Table V. on page 37)
- ↑ Pomara C, Cassano T, D'Errico S, Bello S, Romano AD, Riezzo I, Serviddio G (2012). «Data available on the extent of cocaine use and dependence: biochemistry, pharmacologic effects and global burden of disease of cocaine abusers». Current Medicinal Chemistry. 19: 5647–57. PMID 22856655. doi:10.2174/092986712803988811
- ↑ Hummel M, Unterwald EM (abril de 2002). «D1 dopamine receptor: a putative neurochemical and behavioral link to cocaine action». Journal of Cellular Physiology. 191: 17–27. PMID 11920678. doi:10.1002/jcp.10078
- ↑ Carta M, Allan AM, Partridge LD, Valenzuela CF (janeiro de 2003). «Cocaine inhibits 5-HT3 receptor function in neurons from transgenic mice overexpressing the receptor». European Journal of Pharmacology. 459: 167–9. PMID 12524142. doi:10.1016/S0014-2999(02)02867-4
- ↑ Filip M, Bubar MJ, Cunningham KA (setembro de 2004). «Contribution of serotonin (5-hydroxytryptamine; 5-HT) 5-HT2 receptor subtypes to the hyperlocomotor effects of cocaine: acute and chronic pharmacological analyses». The Journal of Pharmacology and Experimental Therapeutics. 310: 1246–54. PMID 15131246. doi:10.1124/jpet.104.068841
- ↑ Beuming T, Kniazeff J, Bergmann ML, Shi L, Gracia L, Raniszewska K, Newman AH, Javitch JA, Weinstein H, Gether U, Loland CJ (julho de 2008). «The binding sites for cocaine and dopamine in the dopamine transporter overlap». Nature Neuroscience. 11: 780–9. PMC 2692229
. PMID 18568020. doi:10.1038/nn.2146 - ↑ «Sigma Receptors Play Role in Cocaine-induced Suppression of Immune System». Sciencedaily.com. 6 de maio de 2003. Consultado em 9 de março de 2010. Cópia arquivada em 12 de janeiro de 2011
- ↑ Lluch J, Rodríguez-Arias M, Aguilar MA, Miñarro J (novembro de 2005). «Role of dopamine and glutamate receptors in cocaine-induced social effects in isolated and grouped male OF1 mice». Pharmacology Biochemistry and Behavior. 82: 478–87. PMID 16313950. doi:10.1016/j.pbb.2005.10.003
- ↑ Knuepfer MM (março de 2003). «Cardiovascular disorders associated with cocaine use: myths and truths». Pharmacology & Therapeutics. 97: 181–222. PMID 12576134. doi:10.1016/S0163-7258(02)00329-7
- ↑ Uz T, Akhisaroglu M, Ahmed R, Manev H (dezembro de 2003). «The pineal gland is critical for circadian Period1 expression in the striatum and for circadian cocaine sensitization in mice». Neuropsychopharmacology. 28: 2117–23. PMID 12865893. doi:10.1038/sj.npp.1300254
- ↑ McClung CA, Sidiropoulou K, Vitaterna M, Takahashi JS, White FJ, Cooper DC, Nestler EJ (junho de 2005). «Regulation of dopaminergic transmission and cocaine reward by the Clock gene». Proceedings of the National Academy of Sciences of the United States of America. 102: 9377–81. Bibcode:2005PNAS..102.9377M. PMC 1166621
. PMID 15967985. doi:10.1073/pnas.0503584102 - ↑ Carey RJ, Damianopoulos EN, Shanahan AB (janeiro de 2008). «Cocaine effects on behavioral responding to a novel object placed in a familiar environment». Pharmacology Biochemistry and Behavior. 88: 265–71. PMID 17897705. doi:10.1016/j.pbb.2007.08.010
- 1 2 3 4 Zimmerman JL (outubro de 2012). «Cocaine intoxication». Critical Care Clinics. 28: 517–26. PMID 22998988. doi:10.1016/j.ccc.2012.07.003
- ↑ Kolbrich EA, Barnes AJ, Gorelick DA, Boyd SJ, Cone EJ, Huestis MA (outubro de 2006). «Major and minor metabolites of cocaine in human plasma following controlled subcutaneous cocaine administration». Journal of Analytical Toxicology. 30: 501–10. PMID 17132243. doi:10.1093/jat/30.8.501. Cópia arquivada em 18 de julho de 2012
- ↑ Czykanski, Marek (30 de dezembro de 2015). «Cocaine Metabolites in Hair». Chemistry Views. Consultado em 22 de julho de 2019
- ↑ Modern Medical Toxicology, ISBN 978-93-5025-965-8 4th ed. , Jaypee, 2013, pp. 553–554
- ↑ «Content Background: Chemical Characteristics of Cocaine». duke.edu. Consultado em 4 de maio de 2020
- ↑ Scheidweiler KB, Plessinger MA, Shojaie J, Wood RW, Kwong TC (dezembro de 2003). «Pharmacokinetics and pharmacodynamics of methylecgonidine, a crack cocaine pyrolyzate». The Journal of Pharmacology and Experimental Therapeutics. 307: 1179–87. PMID 14561847. doi:10.1124/jpet.103.055434
- ↑ Yang Y, Ke Q, Cai J, Xiao YF, Morgan JP (janeiro de 2001). «Evidence for cocaine and methylecgonidine stimulation of M(2) muscarinic receptors in cultured human embryonic lung cells». British Journal of Pharmacology. 132: 451–60. PMC 1572570
. PMID 11159694. doi:10.1038/sj.bjp.0703819 - ↑ Fandiño AS, Toennes SW, Kauert GF (dezembro de 2002). «Studies on hydrolytic and oxidative metabolic pathways of anhydroecgonine methyl ester (methylecgonidine) using microsomal preparations from rat organs». Chemical Research in Toxicology. 15: 1543–8. PMID 12482236. doi:10.1021/tx0255828
- ↑ Ries, Richard K.; Miller, Sharon C.; Fiellin, David A. (2009). Principles of addiction medicine. [S.l.]: Lippincott Williams & Wilkins. ISBN 978-0-7817-7477-2. Consultado em 5 de janeiro de 2014. Cópia arquivada em 4 de abril de 2014
- ↑ George, Nelson (1998). Hip Hop America. [S.l.]: Viking Penguin
- ↑ Embury-Dennis, Tom. «It's legal to manufacture cocaine and heroin for medical use — and Britain is the world's biggest exporter». Business Insider
- ↑ «Cocaine: Effects, Hazards & Warnings». Drugs.com
- ↑ «Coca tea or mate de coca – the holy coca leaf infusion». inkanat.com. Consultado em 17 de dezembro de 2015. Cópia arquivada em 20 de dezembro de 2015
- ↑ Humphrey AJ, O'Hagan D (outubro de 2001). «Tropane alkaloid biosynthesis. A century old problem unresolved». Natural Product Reports. 18: 494–502. PMID 11699882. doi:10.1039/b001713m
- ↑ Medicinal Natural Products. Chicester: Wiley-Blackwell. 2009. ISBN 978-0-470-74276-1
- ↑ Robins RJ, Abraham TE, Parr AJ, Eagles J, Walton NJ (1997). «The Biosynthesis of Tropane Alkaloids in Datura stramonium: The Identity of the Intermediates between N-Methylpyrrolinium Salt and Tropinone». J. Am. Chem. Soc. 119: 10929–10934. doi:10.1021/ja964461p
- ↑ Hoye TR, Bjorklund JA, Koltun DO, Renner MK (janeiro de 2000). «N-methylputrescine oxidation during cocaine biosynthesis: study of prochiral methylene hydrogen discrimination using the remote isotope method». Organic Letters. 2: 3–5. PMID 10814231. doi:10.1021/ol990940s
- ↑ Leete E, Bjorklund JA, Couladis MM, Kim SH (1991). «Late intermediates in the biosynthesis of cocaine: 4-(1-methyl-2-pyrrolidinyl)-3-oxobutanoate and methyl ecgonine». J. Am. Chem. Soc. 113: 9286–9292. doi:10.1021/ja00024a039
- ↑ Leete E, Bjorklund JA, Kim SH (1988). «The biosynthesis of the benzoyl moiety of cocaine». Phytochemistry. 27: 2553–2556. doi:10.1016/0031-9422(88)87026-2
- ↑ Leete E, Marion L, Spenser ID (outubro de 1954). «Biogenesis of hyoscyamine». Nature. 174: 650–1. Bibcode:1954Natur.174..650L. PMID 13203600. doi:10.1038/174650a0
- ↑ Robins RJ, Waltons NJ, Hamill JD, Parr AJ, Rhodes MJ (outubro de 1991). «Strategies for the genetic manipulation of alkaloid-producing pathways in plants». Planta Medica. 57: S27-35. PMID 17226220. doi:10.1055/s-2006-960226
- ↑ Hemscheidt T, Vederas JC (2000). «Tropane and Related Alkaloids». Top. Curr. Chem. Topics in Current Chemistry. 209: 175. ISBN 978-3-540-66573-1. doi:10.1007/3-540-48146-X
- ↑ Portsteffen A, Draeger B, Nahrstedt A (1992). «Two tropinone reducing enzymes from Datura stramonium transformed root cultures». Phytochemistry. 31: 1135–1138. doi:10.1016/0031-9422(92)80247-C
- ↑ Boswell HD, Dräger B, McLauchlan WR, Portsteffen A, Robins DJ, Robins RJ, Walton NJ (novembro de 1999). «Specificities of the enzymes of N-alkyltropane biosynthesis in Brugmansia and Datura». Phytochemistry. 52: 871–8. PMID 10626376. doi:10.1016/S0031-9422(99)00293-9
- 1 2 «História da Cocaína». www.alcoolismo.com.br. 13 de janeiro de 2010. Consultado em 5 de abril de 2010. Arquivado do original em 18 de março de 2010
- ↑ Flávia Campos Bahls, Saint-Clair Bahls; Cocaína: origens, passado e presente; Interação em Psicologia, 2002, 6(2), p. 177-181
- ↑ «When Hitler Took Cocaine and Lenin Lost His Brain». Macmillan (em inglês). Consultado em 18 de janeiro de 2022
- ↑ Freud, Sigmund. 1884. Ueber Coca. Centralblatt für die gesammte Therapie 2: 289-314, Seite 300 f., http://vlp.mpiwg-berlin.mpg.de/library/data/lit29488.
- ↑ «Cocaine». Pharmacology for Anesthetists. [S.l.: s.n.]
- ↑ «Apple Sanity – Fetish – Blow: War on Drugs VS. Cocaine». Applesanity.com. 17 de junho de 2008. Consultado em 13 de novembro de 2011. Cópia arquivada em 17 de junho de 2008
- ↑ «Cocaine Market». Havocscope.com. Consultado em 9 de março de 2010. Cópia arquivada em 11 de novembro de 2012
- ↑ «Cocaine». Pharmacology for Anesthetists. [S.l.: s.n.]
- ↑ WHO/UNICRI (4 de fevereiro de 2010). «The WHO Cocaine Project». Transnational Institute. Consultado em 8 de junho de 2012. Cópia arquivada em 9 de agosto de 2012
- ↑ Franklin, Jonathan (18 de agosto de 2009). «The world's first cocaine bar». The Guardian (em inglês). ISSN 0261-3077. Consultado em 23 de dezembro de 2016. Cópia arquivada em 12 de janeiro de 2017
- ↑ Grisaffi, Thomas. «The Cato Accord: Bolivia's Humane and Effective Approach to Controlling Coca Cultivation» (PDF). ain-bolivia.org. Consultado em 12 de janeiro de 2017. Cópia arquivada (PDF) em 3 de maio de 2016
- ↑ «Apple Sanity – Fetish – Blow: War on Drugs VS. Cocaine». Web.archive.org. 17 de junho de 2008. Consultado em 5 de fevereiro de 2012. Cópia arquivada em 17 de Junho de 2008 (em inglês)
- 1 2 «Poisons Standard». Comlaw.gov.au. 19 de janeiro de 2016. Cópia arquivada em 19 de janeiro de 2016
- ↑ (Gootenberg 1999, p. 37)
- ↑ (Madge 2001, p. 106)
- ↑ «Narcotic drug addiction». American-Medicine Publishing Company. American Medicine (em inglês): 799. Novembro de 1915. Consultado em 29 de abril de 2018. Cópia arquivada em 9 de maio de 2018
- 1 2 3 (Gootenberg 1999, p. 40)
- ↑ «Cocaine: Seizures, 1998–2003». World Drug Report 2006. 2. New York: United Nations. 2006. Cópia arquivada em 14 de junho de 2007
- ↑ Colombia . CIA World Factbook
- ↑ «Peru Overtakes Colombia as Top Cocaine Producer». NBC News. 31 de julho de 2012. Cópia arquivada em 4 de março de 2016
- ↑ Streatfeild, Dominic (2003). Cocaine: An Unauthorized Biography. [S.l.]: Macmillan. ISBN 978-0-312-42226-4. Consultado em 5 de janeiro de 2014. Cópia arquivada em 15 de janeiro de 2014
- ↑ NDIC (2006). «National Drug Threat Assessment 2006». Cópia arquivada em 11 de novembro de 2010
- ↑ «Field Listing – Illicit drugs (by country)». Cia.gov. Consultado em 15 de janeiro de 2011. Cópia arquivada em 29 de dezembro de 2010
- ↑ «How Much Is a Gram of Coke?». New Health Advisor. 3 de setembro de 2015. Cópia arquivada em 7 de março de 2017
- ↑ Jacobson, Robert (2006). Illegal drugs: America's anguish 2005 ed. Farmington Hills, Michigan: Thomson Gale. ISBN 978-1-4144-0419-6
- ↑ «2015 National Drug Threat Assessment Summary» (PDF). Drug Enforcement Administration. United States Department of Justice: Drug Enforcement Administration. Outubro de 2015. pp. 1–2. Consultado em 10 de abril de 2016. Cópia arquivada (PDF) em 10 de abril de 2016.
Mexican TCOs pose the greatest criminal drug threat to the United States; no other group is currently positioned to challenge them. These Mexican poly-drug organizations traffic heroin, methamphetamine, cocaine, and marijuana throughout the United States, using established transportation routes and distribution networks. ... While all of these Mexican TCOs transport wholesale quantities of illicit drugs into the United States, the Sinaloa Cartel appears to be the most active supplier. The Sinaloa Cartel leverages its expansive resources and dominance in Mexico to facilitate the smuggling and transportation of drugs throughout the United States.
- ↑ «Meth Info». Methproject.org. Cópia arquivada em 27 de março de 2010
- ↑ «Drugs of Abuse». City of Denison Iowa. Consultado em 13 de novembro de 2011. Cópia arquivada em 6 de novembro de 2011
- ↑ «Drugs: Pricing Power». The Economist. 28 de junho de 2007. Cópia arquivada em 6 de janeiro de 2014
- ↑ European Monitoring Centre for Drugs and Drug Addiction (2008). Annual report: the state of the drugs problem in Europe (PDF). Luxembourg: Office for Official Publications of the European Communities. ISBN 978-92-9168-324-6. Consultado em 31 de dezembro de 2013. Cópia arquivada (PDF) em 25 de abril de 2013
- ↑ The Cocaine Threat: A Hemispheric Perspective (PDF). [S.l.]: United States Department of Defense. Cópia arquivada (PDF) em 11 de setembro de 2008
- 1 2 Zimmerman JL (outubro de 2012). «Cocaine intoxication». Critical Care Clinics. 28: 517–26. PMID 22998988. doi:10.1016/j.ccc.2012.07.003
- ↑ United Nations (junho de 2010). World Drug Report 2010. [S.l.]: United Nations Publications. ISBN 978-92-1-148256-0. Cópia arquivada em 26 de abril de 2016

