Metamizol
Metamizol | |
![]() | |
![]() | |
Nome IUPAC (sistemática) | |
| [(2,3-diidro-1,5-dimetil-3-oxo-2-fenil-1H-pirazol- 4-il)metilamino] metanosulfonoico METAMIZOL ESSENCIAL | |
Identificadores | |
CAS |
68-89-3 |
| N02BB02 | |
PubChem |
80254 |
| DB04817 | |
Informação química | |
Fórmula molecular |
C13H17N3O4S |
Massa molar |
311,357 g/mol |
Farmacocinética | |
Biodisponibilidade |
? |
| Hepático | |
| 7 horas | |
| renal | |
Considerações terapêuticas | |
| oral, endovenosa, intra-muscular, parenteral ou retal | |
Metamizol (português europeu) ou dipirona (português brasileiro)[1][2] é um medicamento ainda utilizado principalmente como analgésico e antipirético. Embora ainda esteja disponível em balcão de um modo geral em todo o mundo, em alguns países como os Estados Unidos da América, a sua venda é proibida, pelo suposto risco de agranulocitose.[3] Porém, no Brasil, efetivamente ainda é um dos analgésicos mais populares.
Formas e características
Quimicamente, pode apresentar-se em forma essencial ou pura, não substituída cationicamente (metamizol), como ainda nas formas substituídas cationicamente metamizol sódico (ou dipirona sódica) — a forma mais usual no comércio farmacêutico, com, ainda, metamizol magnésico (ou dipirona magnésica), forma menos usual, embora disponível no comércio especializado:
Metamizol não substituído
Metamizol (dipirona primordial): é o [(2,3-diidro-1,5-dimetil-3-oxo-2-fenil-1H-pirazol-4-il)metilamino] metanossulfonoico (ou 1-fenil-2,3-dimetil-5-pirazolona-4-metilaminometano sulfonoico).
Metamizol sódico
Metamizol | |
![]() | |
Nome IUPAC (sistemática) | |
| [(2,3-diidro-1,5-dimetil-3-oxo-2-fenil-1H-pirazol- 4-il)metilamino] metanosulfonato sódico METAMIZOL SÓDICO | |
Identificadores | |
CAS |
68-89-3 |
| N02BB02 | |
PubChem |
80254 |
Informação química | |
Fórmula molecular |
C13H16N3O4SNa |
Massa molar |
333,076 g/mol |
Farmacocinética | |
| Hepático | |
| ? | |
| renal | |
Considerações terapêuticas | |
| oral, endovenosa, intra-muscular, parenteral ou retal | |
Metamizol sódico ou dipirona sódica, ou ainda dipirona sódica monoidratada[4] é o [(2,3-diidro-1,5-dimetil-3-oxo-2-fenil-1H-pirazol-4-il)metilamino] metanosulfonato sódico (1-fenil-2,3-dimetil-5-pirazolona-4-metilaminometano sulfonato sódico). Medicamento utilizado principalmente como analgésico e antipirético. A venda da dipirona é proibida nos Estados Unidos e na maioria dos países da União Europeia, pelo risco de agranulocitose. Porém, no Brasil, efetivamente é um dos analgésicos mais populares, ao lado do ácido acetilsalicílico. Quimicamente é o [(2,3-diidro-1,5-dimetil-3-oxo-2-fenil-1H-pirazol-4-il)metilamino] metanossulfonato sódico (ou 1-fenil-2,3-dimetil-5-pirazolona-4-metilaminometano sulfonato de sódio). Também é dito simplesmente metamizol ou dipirona ou ainda metilmelubrina, sem alusão ao cátion ligante, que, embora mais comumente seja o sódio, pode também ser o magnésio, originando a dipirona magnésica.
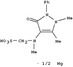
Metamizol magnésico
Metamizol | |
Nome IUPAC (sistemática) | |
| di[(2,3-diidro-1,5-dimetil-3-oxo-2-fenil-1H-pirazol- 4-il)metilamino] metanosulfonato magnésico METAMIZOL MAGNÉSICO | |
Identificadores | |
CAS |
6150-97-6 |
Informação química | |
Fórmula molecular |
C26H32N6O8S2Mg |
Massa molar |
647,02 g/mol |
Farmacocinética | |
Considerações terapêuticas | |
| oral | |
Dipirona magnésica (ou dipirona magnesiana, também metamizol magnésico (ou metamizol magnesiano) é droga anti-inflamatória não-estereoidal (AINE) utilizada como analgésico e antitérmico.[5] Quimicamente é o di[2,3-dimetil-1-fenil-5-pirazolona-4-metilamino-metanossulfonato] de magnésio: C26H32N6O8S2Mg.
Dipirona magnésica costuma ser referida como "versão magnésica (ou magnesiana) do metamizol sódico", muito embora suas especificidades bioquímicas e farmacológicas superem muito essa comparação simplista.
Metamizol cálcico
(Pode ser referido como homólogo alcalino-terroso de metamizol magnésico, embora tenha suas particularidades bioquímicas e farmacológicas)
Metamizol | |
Nome IUPAC (sistemática) | |
| di[(2,3-diidro-1,5-dimetil-3-oxo-2-fenil-1H-pirazol- 4-il)metilamino] metanosulfonato cálcico METAMIZOL CÁLCICO | |
Identificadores | |
CAS |
6150-97-6 |
Informação química | |
Fórmula molecular |
C26H32N6O8S2Ca |
Massa molar |
661,79 g/mol |
Farmacocinética | |
Considerações terapêuticas | |
| oral | |
Metamizol cálcico (ou dipirona cálcica) é droga anti-inflamatória não-estereoidal (AINE) utilizada como analgésico e antitérmico. Quimicamente é o di[2,3-dimetil-1-fenil-5-pirazolona-4-metilamino-metanossulfonato] de cálcio: C26H32N6O8S2Ca.
É importante ressaltar que, a despeito das proibições fundadas em pesquisas científico-médicas, as três substâncias são, a priori e em princípio, similares bioquimica e farmacologicamente. Não são, porém, idênticas, posto que a diferenciação havida pela hidrogeno-substituição por cátions (sódio, num caso; magnésio, noutro), confere especificidades bioquímicas e farmacológicas de relevo.
Histórico e cultura
Metamizol foi usado medicamente, pela primeira vez, na Alemanha, em 1922 sob a marca "Novalgin®" e, por muitos anos, foi disponível como droga de venda livre na maioria dos países, até que suas toxicidades apareceram.[6] Metamizol é comercializado sob várias formas e vários nomes comerciais.[7]
Status legal
Metamizol (notadamente metamizol sódico) foi banido da Suécia em 1974 e dos Estados Unidos em 1977; mais de trinta países incluindo Japão, Austrália e a maioria dos países integrantes da União Europeia tomaram a mesma decisão. Nesses países a droga ainda é utilizada como medicamento veterinário. Algumas companhias farmacêuticas, particularmente Hoechst e Merck, continuam a desenvolver drogas que contenham o metamizol sódico e as comercializam em alguns países.[6][8][9]
No resto do mundo (especialmente na Espanha, México, Brasil, Índia, Rússia, Macedônia, Bulgária, Romênia, Israel e países do terceiro mundo), o metamizol sódico ainda encontra-se largamente disponível e continua sendo considerado um dos mais populares analgésicos.[carece de fontes]
Metamizol sódico recebeu um breve momento de atenção na mídia americana em 2001[10] quando um imigrante latino foi internado em uma clínica em Salt Lake City com sintomas clínicos de agranulocitose. Foi descoberto que a droga continuava muito popular entre os imigrantes mexicanos e livremente disponível em lojas de imigrantes latinos.
Frente a crise de dependência de opioides nos EUA, um estudo apontou uma relação entre o estado legal da dipirona com o consumo de oxicodona, mostrando que o uso dessas drogas estavam inversamente relacionados. O uso limitado e controlado de dipirona pode ser benéfico quando ajustado pelo risco de dependência de opioides.[11] Uma conferência israelense de 2019 também justificou o estado de aprovado no país como uma prevenção a dependência de opioides, e pela dipirona ser mais segura que a maioria dos analgésicos para pacientes com problemas renais.[12]
É o medicamento mais vendido em São Paulo, sendo 488 toneladas em 2016.[13]
Em 2012, dores de cabeça eram responsáveis por 70% do uso na Indonésia.[14]
_Availability_World_Map.svg.png)
Indicação
Indicado usualmente como analgésico e antipirético.
Dipirona tem como ação primária antipirética e secundária analgésica, mas não apresenta atividade anti-inflamatória. Ela é contraindicada durante o último trimestre da gravidez e durante a amamentação.[15]
Contraindicações
Hipersensibilidade prévia (como agranulocitose ou anafilaxia) ao metamizol ou a qualquer um dos excipientes (por exemplo, lactose) na preparação usada; porfiria aguda, hematopoiese prejudicada (como devido ao tratamento com agentes quimioterápicos); terceiro trimestre de gravidez (potencial para efeitos adversos no recém-nascido); lactação; crianças menores de 3 meses de idade ou com massa corporal abaixo de 5 kg; histórico de asma induzida por aspirina; e outras reações de hipersensibilidade aos analgésicos.[16]
| Droga(s) | Interação/razão para potencial teórico de indução |
|---|---|
| Ciclosporina | Níveis séricos diminuídos de ciclosporina. |
| Clorpromazina | Hipotermia aditiva (baixa temperatura corporal) pode ocorrer. |
| Metotrexato | Risco aditivo de toxicidade hematológica (sangue). |
Anticoagulantes orais (afinadores sanguíneos), carbonato de lítio, captopril, triantereno e anti-hipertensivos podem também interagir com metamizol, como outras pirazolonas por interagir adversamente com tais substâncias.
Superdosagem
Considera-se razoavelmente seguro em superdosagem, mas normalmente se aconselham medidas de suporte, como as limitadoras de absorção (carvão ativado) e incremento de excreção (hemodiálise)[17]
Físico-química
Disponível como ácido sulfônico, ou sal de cálcio, magnésio ou sódio (mais comum). O sal sódico mono-hidratado é pó branco/quase cristalino, fotossensível, muito solúvel em água e etanol e quase insolúvel em diclorometano.[18]
Farmacologia
Seu mecanismo preciso de ação é ainda desconhecido, embora se acredite que a inibição da síntese de prostaglandina possa estar envolvida. Recentemente, os pesquisadores descobriram outro mecanismo potencial envolvendo metamizol como pró-fármaco. Nessa proposta, ainda não verificada por outros pesquisadores, o próprio metamizol decompõe-se em outras substâncias químicas que são os agentes ativos reais. O resultado é um par conjugado canabinoide e AINE (ácido araquidônico) (embora não no estrito signficado químico da palavra para sub-metabólitos de metamizol,[19] conquanto estudos em animais tenham demonstrado que CB1 canabinoide receptor não está envolvido na analgesia induzida por metamizol).[20] Entretanto, parece inibir febres causadas por prostaglandinas, especialmente prostaglandina E2[21] Ele parece produzir efeitos terapêuticos por meio de seus metabólitos, especialmente N-metil-4-aminoantipirina (MAA) e 4-aminoantipirina (AA).
| Metabólito | Acrônimo | Biologicamente ativo? | Propriedades farmacocinéticas |
|---|---|---|---|
![]() N-metil-4-aminoantipirina | Biodisponibilidade ≈90%. Ligação proteico-plasmática: 58%. Excretada na urina como 3±1% da dose (oral) inicial | ||
![]() 4-aminoantipirina | Biodisponibilidade≈22.5%. Ligação proteico-plasmática: 48%. Excretada na urina como 6±3% da dose (oral) inicial | ||
N-formil-4-aminoantipirina | Ligação proteico-plasmática: 18%. Excretada na urina como 23±4% da dose (oral) inicial | ||
![]() N-acetil-4-aminoantipirina | Ligação proteico-plasmática: 14%. Excretada na urina como 26±8% da dose (oral) inicial |
Mecanismo de ação
Após a administração, o metamizol é completamente hidrolisado em sua porção ativa, 4-N-metilaminoantipirina (MAA). Principalmente o MAA, mas também o 4-aminoantipirina (AA), contribuem para o efeito clínico. É inibidor seletivo de prostaglandina F2-alfa.[22]
Reações adversas
Reações anafiláticas com os seguintes sintomas na pele ou mucosas:
Também foram relatados dispneia e, menos frequentemente, sintomas gastrintestinais.
Entre outras reações adversas encontram-se:
- Angioedema grave;
- Arritmia cardíaca;
- Broncoespasmo grave;
- Choque anafilático;
- Exantema;
- Hipotensão arterial e
- Urticária generalizada.
E em casos isolados e/ou raramente:
Outras informações
- Vias de administração: oral, parenteral e retal
- Metabolismo: hepático
- Excreção: renal
- Meia-vida plasmática (4 em 4 horas)
- Dose máxima diária: 4 g
Riscos de agranulocitose
Metamizol foi sintetizado por primeiro Alemanha em 1920, por Hoechst AG e, em 1922, iniciou-se a produção em massa. Permaneceu disponível mundialmente até a década de 1970, quando foi descoberto que havia risco de causar agranulocitose, doença potencialmente fatal.
Conforme estudos recentes (2002) de Dr. Anthony Wong (USP),[23] a taxa de incidência de agranulocitose causada pelo metamizol está entre 0,2 e 2 casos por milhão de pessoas com alguns dias de uso,[24] contando com aproximadamente 7% dos casos fatais (considerando que todos os pacientes tiveram acesso a cuidados médicos urgentes). Pelo que se pode esperar entre 60 e 600 mortes anuais num país de 300 milhões de habitantes devido ao metamizol , levando em consideração que todo cidadão faça uso da droga ao menos uma vez ao mês. Essa taxa não é muito alta se comparada com outras drogas como, por exemplo, a clozapina, conhecida por ter uma taxa 50 vezes maior de causar agranulocitose. Entretanto, desde a década de 1970, alguns países vêm considerando essas taxas de risco muito grandes para um analgésico de venda não controlada, em razão do que têm-lhe progressivamente conferido o status legal de proibição à prescrição médica e comercialização.
Em 1998, Andrade et al. conduziram meta-análise para comparar estudos epidemiológicos de 1975 a 1995 e estimaram que a mortalidade por milhão de casos obtidos da comunidade de agranulocitose, de anemia aplástica, de anafilaxia e de complicações sérias do trato gastrointestinal superior era 592 para diclofenaco, 185 para aspirina, 25 para metamizol e 20 para paracetamol.[25] O CIOMS IV (Council for International Organizations of Medical Sciences, análises de benefício-risco), no mesmo ano, reportou que o risco de mortalidade para as mesmas condições eram: diclofenaco = 5,92, aspirina = 2,03, metamizole = 0,20 e paracetamol = 0,25. Esses estudos sugerem que os riscos de reações adversas para metamizol são similares dos para paracetamol, uma droga usualmente tida como bem segura. De acordo com a conclusão do CIOMS IV “Novos métodos de estudos epidemiológicos têm mostrado que os riscos de agranulocitose (1,7 por milhão) devido ao metamizol foram exagerados nos anos de 1970”.[26]
Reações Químicas
A dipirona é um agente redutor suave, e pode ser oxidada in vitro ou in vivo com a perda de seu grupo sulfonometil, produzindo o composto N-metilamino-4-antipirina (também chamado monometilaminopirina) que é de fato o composto analgésico ativo, bem como formaldeído e bissulfato de sódio como co-produtos.[27]
Alguns agentes oxidantes, como por exemplo o iodo, o cloreto férrico e o hipoclorito de sódio também propiciam essa reação.[28]

A reação química entre a dipirona e um agente oxidante forte como o peróxido de hidrogênio concentrado, persulfato de sódio e dicromato de potássio irá produzir um composto de cor vermelho-arroxeada intensa, o ácido rubazônico, um produto tipicamente formado na oxidação de compostos do tipo fenil-pirazolona.[29][30]
.png)
Quando a dipirona é oxidada pelo hipoclorito de sódio, bromo, iodo em excesso ou nitrato cérico de amônio, especialmente em meio fracamente ácido, uma cor azul-escura se desenvolve na solução, a qual gradualmente desvanece para uma cor amarela passando por uma tonalidade verde da mistura das duas cores. O hipoclorito de sódio oxida a dipirona em várias etapas até formar benzoquinona (um composto amarelo intenso) a partir da oxidação de seu anel benzênico, bem como outros produtos como gás nitrogênio, dióxido de carbono, formaldeído e ácido acético originados da quebra do anel pirazolona. Um dos intermediários dessa reação é um radical livre persistente de cor azul intensa oriundo da oxidação de um elétron da monometil aminopirina, que perdura na solução por alguns segundos a cerca de um minuto, até eventualmente sofrer decomposição.[31]


Nomes comerciais

Comercialmente, conhece-se pelos nomes Dipidor®, Novalgina®, Neosaldina®, Lisador®, Nolotil®,[32] Anador® entre outros, até também pelo próprio nome dipirona.
Ver também
- Azul Radical (experiência química)
Referências
- ↑ Subcomissão para a Harmonização de Terminologia, Comissão da Farmacopeia Portuguesa (30 de junho de 2005). Denominação comum em Português (DCPt) (PDF). Vademecum - DCI (Denominação Comum Internacional) em Português. Lisboa: Infarmed. p. 79. ISBN 972-8425-65-1. Consultado em 3 de agosto de 2023. Cópia arquivada (PDF) em 16 de junho de 2022
- ↑ Anvisa. «Denominações Comuns Brasileiras». Agência Nacional de Vigilância Sanitária - Anvisa. Consultado em 1 de agosto de 2023. Cópia arquivada em 21 de dezembro de 2022
- ↑ Dall'Olio, Giancarlo; Betti, Erika; Machado, Priscila L. Raele C.; Guimarães, Samuel de Oliveira; Feder, David (2003). «Agranulocitose induzida por dipirona». RBM rev. bras. med: 693–694. Consultado em 31 de julho de 2023. Arquivado do original em 5 de março de 2016
- ↑ «Dipirona monoidratada (comprimido)». www.minhavida.com.br. Consultado em 31 de julho de 2023. Cópia arquivada em 25 de outubro de 2022
- ↑ www.infopaciente.com (outubro de 2000). «Nolotil ® cápsulas». Consultado em 28 de abril de 2017
- 1 2 United Nations Department of Economic and Social Affairs (2005). Consolidated List of Products Whose Consumption and/or Sale Have Been Banned, Withdrawn, Severely Restricted of Not Approved by Governments (PDF) 12 ed. Nova York: United Nations. p. 171–5. Consultado em 31 de julho de 2023
- ↑ Brayfield A, ed. (13 Dezembro 2013). «Dipyrone». Martindale: The Complete Drug Reference. Pharmaceutical Press. Consultado em 19 Abril 2014
- ↑ Pogatzki-Zahn E, Chandrasena C, Schug SA (Outubro 2014). «Nonopioid analgesics for postoperative pain management». Current Opinion in Anesthesiology. 27 (5): 513–519. PMID 25102238. doi:10.1097/ACO.0000000000000113
- ↑ Rogosch T, Sinning C, Podlewski A, Watzer B, Schlosburg J, Lichtman AH, et al. (Janeiro 2012). «Novel bioactive metabolites of dipyrone (metamizol)». Bioorganic & Medicinal Chemistry. 20 (1): 101–107. PMC 3248997
. PMID 22172309. doi:10.1016/j.bmc.2011.11.028 - ↑ Metamizole Use by Latino Immigrants: A Common and Potentially Harmful Home Remedy
- ↑ Preissner S, Siramshetty VB, Dunkel M, Steinborn P, Luft FC, Preissner R (2019). «Pain-Prescription Differences - An Analysis of 500,000 Discharge Summaries». Current Drug Research Reviews. 11 (1): 58–66. PMID 30207223. doi:10.2174/1874473711666180911091846
- ↑ Dinavitser N (Janeiro de 2020). «Dipyrone – a Good Medication with a Bad Reputation» (PDF). Rambam Health Care Campus, Haifa, Israel: American College of Medical Toxicology. Journal of Medical Toxicology. 16 (1): 75–86. PMC 6942089
. PMID 31721040. doi:10.1007/s13181-019-00743-w. ACMT/IST 2019 American-Israeli Medical Toxicology Conference
- ↑ Aragão RB, Semensatto D, Calixto LA, Labuto G (2020). «Pharmaceutical market, environmental public policies and water quality: the case of the São Paulo Metropolitan Region, Brazil». Cadernos de Saúde Pública. 36 (11): e00192319. ISSN 1678-4464. PMID 33237204. doi:10.1590/0102-311x00192319
- ↑ Kurniawati M, Ikawati Z, Raharjo B (2012). «The evaluation of metamizole use in some places of pharmacy service in Cilacap county». Jurnal Manajemen Dan Pelayanan Farmasi (Journal of Management and Pharmacy Practice) (em indonésio). 2 (1): 50–55. doi:10.22146/jmpf.60 (inativo 15 de março de 2022)
- ↑ Agência Europeia de Medicamentos (17 de setembro de 2018). «Metamizole containing medicinal products - EMA recommends aligning doses of metamizole medicines and their use during pregnancy and breastfeeding». Agência Europeia de Medicamentos (em inglês). Consultado em 4 de agosto de 2023. Cópia arquivada em 1 de fevereiro de 2023
- Committee for Medicinal Products for Human Use (13 de dezembro de 2018). «Metamizole - Assessment report» (PDF). Agência Europeia de Medicamentos (em inglês) (publicado em 28 de março de 2019). Consultado em 3 de agosto de 2023. Cópia arquivada (PDF) em 5 de fevereiro de 2022
- «Metamizol - Anexo II - Conclusões científicas» (PDF). Agência Europeia de Medicamentos. 28 de março de 2019. Consultado em 3 de agosto de 2023. Cópia arquivada (PDF) em 16 de agosto de 2022
- «Metamizol - Anexo III - Alterações às secções relevantes da Informação do Medicamento» (PDF). Agência Europeia de Medicamentos. 1 de junho de 2018. Consultado em 3 de agosto de 2023. Cópia arquivada (PDF) em 5 de fevereiro de 2022
- ↑ «Bula Novalgina 1G Comprimidos | Novalgina». Novalgina - Sanofi. Consultado em 24 de junho de 2024
- ↑ ID = 28 & cmd = getFile & getFile_cid = 0900972f80210633 Fachinformation (Zusammenfassung der Merkmale des Arzneimittels) Novaminsulfon injekt 1000 mg Lichtenstein Novaminsulfon injekt 2500 mg Lichtenstein[ligação inativa]
- ↑ Direção Europeia da Qualidade dos Medicamentos e Cuidados de Saúde (EDQM); Rada Europy; Comissão Europeia da Farmacopeia; Direção Europeia da Qualidade dos Medicamentos e Cuidados de Saúde (2013). Farmacopeia Europeia: Publicado de acordo com a Convenção sobre a Elaboração de uma Farmacopeia Européia (European Treaty Series No. 50). [S.l.]: Conselho da Europa. ISBN 978-92-871-7527-4
- ↑ Jasiecka, A; Maślanka, T; Jaroszewski, JJ (2014). «Pharmacological characteristics of metamizole». Polish Journal of Veterinary Sciences. 17 (1): 207–14. PMID 24724493. doi:10.2478/pjvs-2014-0030
- ↑ Involvement of cannabinoid CB1 receptors in the antinociceptive effect of dipyrone
- ↑ The dipyrone metabolite 4-MAA induces hypothermia and inhibits PGE2-dependent and -independent fever while 4-AA only blocks PGE2 -dependent fever
- ↑ Vademécum 2006-2007 (P.R. Vademécum ABIMIP 2006/2007)
- ↑ Dr. Anthony Wong in WHO Pharmaceuticals Newsletter No. 1, 2002, p.15
- ↑ Dr Anthony Wong in WHO Pharmaceuticals Newsletter No. 1, 2002, p.15
- ↑ Andrade SE, Martinez C, Walker AM. Comparative safety evaluation of non-narcotic analgesics. J Clin Epidemiol 1998; 51: 1357-1365
- ↑ CCIOMS WORKING GROUP IV – Geneva, 1998 – Benefit-Risk Balance of Marketed Drugs: Evaluating Drug Signals.
- ↑ https://pubchem.ncbi.nlm.nih.gov/compound/Metamizole#:~:text=Metamizole%20undergoes%20rapid%20hydrolysis%20to,AA)%20via%20N%2Ddemethylation.
- ↑ https://www.researchgate.net/figure/Interaction-of-metamizole-sodium-with-iodine_fig5_331133995
- ↑ https://www.journalijar.com/article/16520/a-kinetic-study-of-rubazoic-acid-formation-derived-from-4-amino-1(4-sulphophenyl)-3-methyl-2-pyrazolin-5-one/
- ↑ https://www.researchgate.net/publication/340670473_Rubazonic_Acids_and_Their_Synthesis
- ↑ https://pubmed.ncbi.nlm.nih.gov/7766805/
- ↑ Site Bulário





