Mesalazina
Ácido 5-aminossalícico | |||||||||||||||
|---|---|---|---|---|---|---|---|---|---|---|---|---|---|---|---|
![]() | |||||||||||||||
| Nomes | |||||||||||||||
| Nome IUPAC | 5-amino-2-hidroxibenzóico | ||||||||||||||
| Massa molar | 153,136 g/mol | ||||||||||||||
| Massa molar | 153,136 g/mol | ||||||||||||||
| Solubilidade | Levemente solúvel em água, praticamente insolúvel em etanol (96%). Dissolve-se em soluções diluídas de hidróxidos alcalinos e em ácido clorídrico diluído. | ||||||||||||||
| log P | 0,98 | ||||||||||||||
| |||||||||||||||
| |||||||||||||||
| |||||||||||||||
| |||||||||||||||
| Página de dados suplementares | |||||||||||||||
| Estrutura e propriedades | n, εr, etc. | ||||||||||||||
| Dados termodinâmicos | Phase behaviour Solid, liquid, gas | ||||||||||||||
| Dados espectrais | UV, IV, RMN, EM | ||||||||||||||
| Exceto onde denotado, os dados referem-se a materiais sob condições normais de temperatura e pressão. Referências e avisos gerais sobre esta caixa. Alerta sobre risco à saúde. | |||||||||||||||
Mesalazina, ou messalazina, também conhecido como ácido 5-aminossalicílico, é um fármaco pertencente aos grupo dos aminossalicilatos que atua como anti-inflamatório usado no tratamento de doenças inflamatórias intestinais, como a retocolite ulcerativa (RCU) e a doença de Crohn (DC), leve a moderada. Trata-se de um aminossalicilato que age predominantemente no tecido intestinal e, portanto, tem poucos efeitos colaterais sistémicos.[1]
Aprovação
A Mesalazina é um anti-inflamatório indicado para o tratamento de doenças inflamatórias que acometem as mucosas gastrointestinais e também pode ser utilizado para o tratamento sintomático da doença diverticular do cólon, bem como da doença de Crohn. É uma droga usada para tratar colite ulcerativa ativa leve a moderada e também para manter a remissão uma vez alcançada. Teve seu lançamento em 1984, pela Sanofi/Ferring, farmacêutica responsável. Apresenta-se com o nome IUPAC 5-amino-2-hydroxybenzoic acid. Também é conhecida como Mesalazina ou 5-aminossalicílico (5-ASA).
Quando usada de forma isolada é absorvida no trato gastrintestinal superior, logo após, ocorre a acetilação e a excreção na urina e fezes, o que não ocorre com a sulfassalazina, já que a ponte azo é desfeita pela ação das bactérias presentes no intestino grosso. A mesalazina apresenta-se como cristais em forma de agulhas castanho claro a rosa, com pouca solubilidade em água e quase insolúvel em álcool. É solúvel em soluções diluídas de hidróxidos alcalinos e em soluções diluídas de ácido clorídrico.
É um dos medicamentos pertencentes ao Componente Especializado da Assistência Farmacêutica, que é um programa instituído pelo Ministério da Saúde que visa garantir o tratamento integral através do fornecimento de medicamentos de alto custo no âmbito do Sistema Único de Saúde, que normalmente inclui medicamentos de uso contínuo no tratamento de doenças crônicas e raras.
Farmacologia e Mecanismo de ação
É uma molécula do tipo anfótera e sua solubilidade e ionização dependem dos valores de pH e pKa dos grupos amino e carboxílico da molécula. As formas catiônicas encontram-se em valores de pH abaixo do ponto isoelétrico, as formas dipolares predominam perto do ponto isoelétrico, e as formas aniônicas predominam em valores de pH acima do ponto isoelétrico. Os valores de pH e pKa influenciam na velocidade de liberação da droga como resultado do comportamento anfótero de ionização. A solubilidade da mesalazina em meio de HCl 0,1 M é maior que 18 mg/mL. Já nos meios de dissolução tampão fosfato pH 6,0 e 7,2 são de aproximadamente 1,2 mg/mL e 5,5 mg/mL, respectivamente. (FRENCH; MAUGER, 1993[2]).
Seu mecanismo de ação consiste em: inibição da IL-1 e do FNT-α, inibição da via da lipooxigenase das células com as concentrações alcançadas no intestino grosso durante o tratamento; inibição da produção dos leucotrienos pró-inflamatórios (LTB4 e 5-HETE) pelos macrófagos da parede intestinal e eliminação radicais livres e oxidante (diminuindo a formação de produtos contendo oxigênio reativo), e inibição do NF-kB.
Seu efeito inibitório em vários mecanismos da inflamação pode ser justificado pela capacidade de inibir a ativação do fator nuclear kappa B, envolvido na sinalização final de várias citocinas pró-inflamatórias, quimioquinas, moléculas de adesão, etc. Adicionalmente, a mesalazina inibe a secreção de água e de cloreto e aumenta a reabsorção de sódio no intestino experimentalmente. A eficácia do fármaco depende basicamente do esvaziamento gástrico, trânsito no intestino delgado, pH e revestimento intraluminal.
As suas propriedades são semelhantes às dos AINEs (grupo da aspirina) mas não causam hemorragias gástricas nem são absorvidos para o sangue (têm acção tópica).
O ácido 5-aminossalicílico inibe as enzimas ciclooxigenases COX-1 e COX-2 e a síntese de prostanóides inflamatórios. Inibe, também, a produção de citocinas ao bloquear o NF-KB, o seu factor de transcrição génica nuclear.
A mesalazina é o componente ativo da sulfassalazina, a qual é utilizada para o tratamento da RCU e da DC.
Com base nos resultados clínicos, o valor terapêutico da mesalazina após a administração oral ou retal parece dever-se ao seu efeito local no tecido intestinal inflamado, e não ao efeito sistêmico.
Em pacientes com doença inflamatória intestinal, estão presentes o aumento da migração leucocitária, produção anormal de citocinas, aumento da produção de metabolitos do ácido araquidônico, particularmente do leucotrieno B4, e aumento da formação de radicais livres no tecido intestinal inflamado. A mesalazina tem, in vitro e in vivo, um efeito farmacológico que inibe a quimiotaxia leucocitária, diminui a produção de citocinas e leucotrienos e elimina os radicais livres.[1]
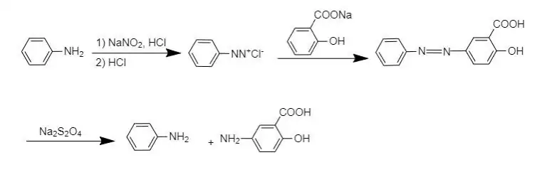
Rota sintética
Existem diversas rotas sintéticas para preparação da mesalazina segundo a base integrity. A messalina pode ser preparada a partir da anilina (I) que reage com nitrito de sódio e HCl para produzir o intermediario benzenodiazônio (II) que pode ser acoplado ao ácido salicílico fornecendo a diazina (III) sem a necessidade de isolamento. A seguir, o composto III é reagido com hidrosulfito de sódio para produzir a mesalazina..

Indicações
- Úlceras em geral
- Doença de Chagas
- Síndrome do cólon irritável
- Colite; Ileocolite; retocolite
A mesalazina, sob a forma de comprimidos de libertação prolongada, está indicada como anti-inflamatório para redução da inflamação das mucosas gastrointestinais na retocolite ulcerativa (RCU) leve a moderada, tanto na indução quanto na manutenção da remissão, e da doença de Crohn (DC) leve a moderada. É utilizada também na prevenção e redução de recidivas dessas doenças. A mesalazina de libertação prolongada também demonstrou ser eficaz em pacientes com intolerância à sulfassalazina. [3][4]
Devido à baixa incidência de efeitos colaterais durante o tratamento com a mesalazina, esta droga pode ser considerada como tratamento inicial em todos os pacientes com retocolite ulcerativa.[5]
A formulação em grânulos ou sachê (também de liberação prolongada) está indicada como anti-inflamatório para redução das reações inflamatórias que acometem as mucosas gastrointestinais na RCU leve a moderada,em pacientes de mais de 18 anos de idade. Destina-se também à prevenção e redução de recidivas dessa doença.
Os grânulos (sachê) foram tão eficazes quanto os comprimidos no tratamento da RCU leve a moderada. Na indução da remissão em pacientes com RCU leve a moderada, quando combinada com mesalazina enema, a mesalazina sachê 4 g uma vez ao dia foi igualmente eficaz e bem tolerada quanto mesalazina sachê 2 g duas vezes ao dia. Na manutenção da remissão em pacientes com RCU quiescente, a mesalazina sachê 2 g uma vez ao dia foi mais eficaz com melhor aceitabilidade e aderência quando comparada à mesalazina sachê 1 g 2 vezes ao dia.[6][7][8]
Nas formulações em comprimidos ou grânulos de liberação prolongada cobertos com etilcelulose, a mesalazina é liberada de forma contínua a partir dos microgrânulos individuais por todo o trato gastrintestinal, independente do pH e da presença de diarreia.[9][10]
A mesalazina sob a forma de enema destina-se ao tratamento das doenças inflamatórias em porções finais do cólon e no reto (proctossigmoidite ulcerativa e colite esquerda). Apresenta altas taxas de remissão clínica após 4 semanas de tratamento da retocolite ulcerativa distal ativa, em termos de efetiva melhora endoscópica e histopatológica. A associação de mesalazina enema com a mesalazina oral, como terapia combinada para RCU extensa leve a moderada, mostrou ter eficácia superior à terapia unicamente oral.[11]
A mesalazina em supositórios destina-se ao tratamento das inflamações do reto (proctite ulcerativa). A mesalazina administrada pela via retal é o tratamento de primeira linha para pacientes com retocolite ulcerativa distal ativa leve a moderada.[12][13]
Efeitos úteis
Diminuição da inflamação nessas doenças. Remissão da doença, retardo da progressão, diminuição da probabilidade de episódio agudo.
Efeitos adversos
- Fraqueza óssea(baixa de cálcio pelo organismo)
- Vermelhidão nas axílas
- Dores de cabeça
- Dores nas articulações
- Prurido nas regiões genitais
Raros:
- Neutropenia e supressão da actividade da medula óssea.
- Esterilidade.
- Danos neurológicos irreverssíveis
Muitos dos efeitos adversos observados nos estudos após o uso de mesalazina podem ser decorrentes da própria doença inflamatória intestinal.
As reações adversas mais frequentemente observadas nos estudos clínicos são diarreia, náusea, dores abdominais, dor de cabeça, vômitos e erupções cutâneas. Reações de hipersensibilidade e febre podem ocorrer ocasionalmente.
Após a administração retal (enema ou supositório), podem ocorrer reações locais como prurido, desconforto retal e urgência para evacuar.[1]
Contraindicações
A mesalazina está contraindicada a pacientes com hipersensibilidade conhecida aos salicilatos ou a qualquer componente das formulações, e em casos de doenças renais ou hepáticas graves.
A formulação em comprimidos está contraindicada para menores de dois anos de idade.
A formulação em sachê está contraindicada para menores de 18 anos de idade.[1]
Interações
O tratamento combinado de mesalazina e azatioprina ou 6-mercaptopurina ou tioguanina pode aumentar a frequência de efeitos mielossupressores, entretanto o mecanismo da interação não está totalmente estabelecido. Recomenda-se a monitorização dos leucócitos do sangue para ajustes de dosagem das tiopurinas.[1]
Referências
- 1 2 3 4 5 Pentasa® Corporate Core Data Sheet - CCDS (Ferring Pharmaceiticals).
- ↑ Lai, F. M.; Udenfriend, S.; Spector, S. (novembro de 1975). «Presence of norepinephrine and related enzymes in isolated brain microvessels». Proceedings of the National Academy of Sciences of the United States of America (11): 4622–4625. ISSN 0027-8424. PMC 388775
. PMID 678. doi:10.1073/pnas.72.11.4622. Consultado em 4 de junho de 2021 - ↑ Sandborn, W. J.; Hanauer, S. B. (19 de dezembro de 2002). «The pharmacokinetic profiles of oral mesalazine formulations and mesalazine pro-drugs used in the management of ulcerative colitis». Alimentary Pharmacology & Therapeutics. 17 (1): 29–42. ISSN 0269-2813. doi:10.1046/j.1365-2036.2003.01408.x
- ↑ Miner, Philip; Hanauer, Stephen; Robinson, Malcolm; Schwartz, Jerrold; Arora, Sanjeev; Pentasa UC Maintenance Study Group (1 de fevereiro de 1995). «Safety and efficacy of controlled-release mesalamine for maintenance of remission in ulcerative colitis». Digestive Diseases and Sciences (em inglês). 40 (2): 296–304. ISSN 1573-2568. doi:10.1007/BF02065413
- ↑ Paolo, M. C. Di; Paoluzi, O. A.; Pica, R.; Iacopini, F.; Crispino, P.; Rivera, M.; Spera, G.; Paoluzi, P. (1 de outubro de 2001). «Sulphasalazine and 5-aminosalicylic acid in long-term treatment of ulcerative colitis: report on tolerance and side-effects». Digestive and Liver Disease (em inglês). 33 (7): 563–569. ISSN 1590-8658. doi:10.1016/S1590-8658(01)80108-0
- ↑ Dignass, Axel U.; Bokemeyer, Bernd; Adamek, Henning; Mross, Michael; Vinter-Jensen, Lars; Börner, Norbert; Silvennoinen, Jouni; Tan, Gie; Pool, Marco Oudkerk (1 de julho de 2009). «Mesalamine Once Daily Is More Effective Than Twice Daily in Patients With Quiescent Ulcerative Colitis». Clinical Gastroenterology and Hepatology (em inglês). 7 (7): 762–769. ISSN 1542-3565. doi:10.1016/j.cgh.2009.04.004. Consultado em 14 de janeiro de 2022
- ↑ Farup, Per G.; Hinterleitner, Thomas A.; Lukáš, Milan; Hébuterne, Xavier; Rachmilewitz, Daniel; Campieri, Massimo; Meier, Rémy; Keller, Ralf; Rathbone, Barrie (agosto de 2001). «Mesalazine 4 g Daily Given as Prolonged-Release Granules Twice Daily and Four Times Daily Is at Least as Effective as Prolonged-Release Tablets Four Times Daily in Patients with Ulcerative Colitis». Inflammatory Bowel Diseases. 7 (3): 237–242. ISSN 1078-0998. doi:10.1097/00054725-200108000-00009. Consultado em 14 de janeiro de 2022
- ↑ Flourié, B.; Hagège, H.; Tucat, G.; Maetz, D.; Hébuterne, X.; Kuyvenhoven, J. P.; Tan, T. G.; Pierik, M. J.; Masclee, A. a. M. (abril de 2013). «Randomised clinical trial: once- vs. twice-daily prolonged-release mesalazine for active ulcerative colitis». Alimentary Pharmacology & Therapeutics (em inglês). 37 (8): 767–775. ISSN 1365-2036. doi:10.1111/apt.12266. Consultado em 14 de janeiro de 2022
- ↑ Christensen, L. A.; Fallingborg, J.; Abildgaard, K.; Jacobsen, B. A.; Sanchez, G.; Hansen, S. H.; Bondesen, S.; Hvidberg, E. F.; Rasmussen, S. Nørby (1990). «Topical and systemic availability of 5-amino-salicylate: comparisons of three controlled release preparations in man». Alimentary Pharmacology & Therapeutics (em inglês). 4 (5): 523–533. ISSN 1365-2036. doi:10.1111/j.1365-2036.1990.tb00499.x. Consultado em 14 de janeiro de 2022
- ↑ Christensen, L. A.; Slot, O.; Sanchez, G.; Boserup, J.; Rasmussen, S. N.; Bondesen, S.; Hansen, S. H.; Hvidberg, E. F. (1987). «Release of 5-aminosalicylic acid from Pentasa during normal and accelerated intestinal transit time.». British Journal of Clinical Pharmacology (em inglês) (3): 365–369. ISSN 1365-2125. PMC 1386240
. PMID 3567055. doi:10.1111/j.1365-2125.1987.tb03061.x. Consultado em 14 de janeiro de 2022 - ↑ Marteau, P.; Probert, C. S.; Lindgren, S.; Gassul, M.; Tan, T. G.; Dignass, A.; Befrits, R.; Midhagen, G.; Rademaker, J. (1 de julho de 2005). «Combined oral and enema treatment with Pentasa (mesalazine) is superior to oral therapy alone in patients with extensive mild/moderate active ulcerative colitis: a randomised, double blind, placebo controlled study». Gut (em inglês) (7): 960–965. ISSN 0017-5749. PMC 1774619
. PMID 15951542. doi:10.1136/gut.2004.060103. Consultado em 14 de janeiro de 2022 - ↑ Marshall, John K.; Irvine, Jan E. (julho de 2000). «Putting Rectal 5-Aminosalicylic Acid in Its Place: The Role in Distal Ulcerative Colitis». Official journal of the American College of Gastroenterology (em inglês). 95 (7): 1628–1636. ISSN 0002-9270. doi:10.1111/j.1572-0241.2000.02180.x. Consultado em 14 de janeiro de 2022
- ↑ GIONCHETTI, P.; RIZZELLO, F.; VENTURI, A.; BRIGNOLA, C.; FERRETTI, M.; PERUZZO, S.; CAMPIERI, M. (novembro de 1997). «Comparison of mesalazine suppositories in proctitis and distal proctosigmoiditis». Alimentary Pharmacology and Therapeutics. 11 (6): 1053–1057. ISSN 0269-2813. doi:10.1046/j.1365-2036.1997.00259.x. Consultado em 14 de janeiro de 2022
Predefinição:Rota sintética
