Mefedrona
Mefedrona | |||||||||
|---|---|---|---|---|---|---|---|---|---|
![]() | |||||||||
![]() | |||||||||
| Nomes | |||||||||
| Nome IUPAC | (RS)-2-methylamino-1-(4-methylphenyl)propan-1-one | ||||||||
| |||||||||
| |||||||||
| |||||||||
| Página de dados suplementares | |||||||||
| Estrutura e propriedades | n, εr, etc. | ||||||||
| Dados termodinâmicos | Phase behaviour Solid, liquid, gas | ||||||||
| Dados espectrais | UV, IV, RMN, EM | ||||||||
| Exceto onde denotado, os dados referem-se a materiais sob condições normais de temperatura e pressão. Referências e avisos gerais sobre esta caixa. Alerta sobre risco à saúde. | |||||||||
A mefedrona é uma substancia derivada da catinona que possui efeito estimulante e empatógeno mais potente que as outras substâncias de sua família.
Efeitos
A droga apresenta efeitos parecidos com os do MDMA. O usuário ganha euforia, aumento compulsivo da libido, visão turva, inquietação, fala rápida, aumento dos níveis de alerta e desejo de socializar-se.[1] Produz sudorese exagerada, além de sede e pode ainda causar uma perda na noção de limite do desejo de hidratação, criando a possibilidade de uma intoxicação por excesso de hidratação. Pode ainda causar um aumento considerável dos batimentos cardíacos e se consumida em excesso pode causar alucinações e até ataques cardíacos. A administração frequente pode causar problemas na circulação do indivíduo, problemas na mucosa nasal em caso de uso por insuflação e um baque emocional após o término do efeito da substância.
Vale lembrar também que a substância não passa por controle de qualidade como quando ainda não era ilegal (pois antes tinha uma pureza de cerca de 98%), logo a sua ingestão constitui um risco ainda maior ao usuário, o que cria mais um fator de risco aos usuários.
Síntese

A mefedrona é produzida a partir da halometilação da catinona em ambiente controlado. Utiliza-se catinona para reagir com iodometano em refluxo a 45 graus Celsius e depois é retirado o radical Iodeto de hidrogênio por meio da reação com Carbonato de sódio em Éter, os insolúveis são filtrados e depois se cristaliza e filtra o agente para purificá-lo.
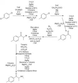
Síntese MPDE-1
A síntese da mefedrona é feito a partir de uma reação de cloreto de metilmagnésio com 1,4-Diclorobenzen, utiliza-se Tetraidrofurano como solvente padrão. Separa-se os sais precipitados por meio de dissolução em água e com posterior filtração deles, destilando o solvente a 66 graus Celsius e purificando o agente em cristalização em Hexanos.

O agente obtido é o 1-Metil-4-clorobenzeno, este é feito reagir de forma semelhante com Cloreto de propionila dissolvida em Tetraidrofurano e em Magnésio em pó, o processo de extração, separação e purificação é semelhante a etapa de obtenção do 1-Metil-4-Clorobenzeno. O agente obtido é feito reagir com Bromo e catalisado com Hidróxido de actínio ou algum sal Carbonato. Depois de reagidos os produtos são dissolvidos em Éter, agitados e depois filtrados, o produto dissolvido no Éter então é cristalizado para haver sua purificação. Logo este é dissolvido em Éter, colocado em um recipiente fechado e feito reagir com uma Mistura de Metilamina com Trimetilamina a 6 graus Celsius perante refluxo. Depois disso os insolúveis são filtrados, adiciona-se água para decantar o Tolueno e depois Sulfato de magnésio com éter para absorver a água na solução e posteriormente filtra-los. A mefedrona é então cristalizada e secada ao ar livre.
Sociedade e cultura
A mefedrona foi muito utilizada na Europa, em meados de 2010, por ser uma alternativa ainda legal, mais barata e mais energética do que o MDMA. Criou um grande séquito de usuários pelo mundo todo, especialmente onde a cultura da musica eletrônica era muito difundida entre os jovens e jovens adultos, por ter um efeito único e viciante e por, até então, não ser identificada em exames que identificavam o uso de drogas. A mefedrona causou centenas de mortes por abuso da substância e foi proibida em grande parte dos países pelo mundo todo.
No Brasil, a Agência Nacional de Vigilância Sanitária (Anvisa) decidiu incluir a substância na relação de drogas de uso e comércio proscrito no Brasil.[2] A substância era vendida como fertilizante, a fim de driblar as leis que regulamentam os produtos químicos e poder ser comercializada de forma livre e aberta, inclusive por meio dos correios.
Referências
- 1 2 REINELT, Rodrigo (17 de março de 2010). «Mefedrona - Uma nova droga no Reino Unido». BRAHA. Consultado em 3 de agosto de 2011
- ↑ Agência Estado: Droga que provoca crises psicóticas é proibida no Brasil
Ligações externas
- «4-Methylmethcathinone / Mephedrone Vault» (em inglês). Coletânea de artigos diversos compilados pelo Erowid.

