Haloalcano
Os haloalcanos, também conhecidos como haletos de alquila (português brasileiro) ou halogenetos de alquilo (português europeu) apresentam uma ligação entre um carbono alifático e um átomo de halogênio (família 17 da tabela periódica) e para efeitos de classificação de função química, são derivados de alcanos
Vários grupos de haloalcanos são conhecidos sob as mais diversas denominações comerciais, destacando-se principalmente os CFCs ou clorofluorcarbonos que ganharam certo destaque na imprensa em virtude de seu impacto negativo sobre o ambiente, no que tange ao comprometimento da integridade da ozonosfera.
São principalmente empregados como solventes orgânicos, intermediários químicos e como propelentes em aerossóis e extintores de incêndio.
Orgânicos bromados em biologia variam de brometo de metilo produzido biologicamente a aromáticos não-alcanos e insaturados (indois, terpenos, acetogeninas e fenóis).[1] [2] Haloalcanos são de grande interesse, porque eles são comuns e têm diversos efeitos benéficos e prejudiciais. Dos oceanos estima-se que são liberadas anualmente 1-2 milhões de toneladas de bromometano.[3] Um grande número de produtos farmacêuticos contêm halogêneos, especialmente flúor. Cerca de um quinto dos produtos farmacêuticos contêm fluoretos, incluindo vários dos fármacos mais amplamente utilizados.[4]
Nomenclatura
A regra IUPAC para dar o nome aos haloalcanos considera a cadeia principal como um alcano e o átomo de halogênio como um radical, indicando a posição na cadeia com um número. Assim o ClCH2CH2CH3 é 1-cloropropano
O nome usual considera a molécula como um haleto de alquila e para o nome considera o radical ligado ao halogênio. A molécula anterior seria o cloreto de propila.
Propriedades Físicas
A presença do halogênio na cadeia carbônica altera as propriedades físicas e químicas, quando comparados aos alcanos. A ligação C-X (X = halogênio) é polar, pela maior eletronegatividade do halogênio frente ao carbono, o que resulta em um momento dipolo magnético dos haloalcanos. O ponto de fusão e ebulição dos compostos monohalogenados é maior do que os hidrocarbonetos com o mesmo número de carbonos, porém o efeito maior é resultado do aumento da massa molecular. A ordem de ponto de ebulição é Portanto, a ordem é: R-I> R-Br> R-Cl> R-F. Porém muitos fluoroalcanos, no entanto, contrariam essa tendência e têm pontos de fusão e ebulição mais baixos do que seus análogos não fluorados e uma explicação é a forte repulsão intermolecular devido à alta densidade eletrônica dos pares de elétrons livres.
Os pontos de ebulição dos haloalcanos isoméricos diminuem com o aumento da ramificação. Este efeito é atribuído à diminuição da área superficial molecular, o que diminui as interações de forças de Van der Waals.
Propriedades Químicas
Os haloalcanos são muito utilizados em reações de substituição nucleofílica, em que um grupo alquil é transferido de uma molécula para outra, resultando na construção de novas ligações carbono-carbono, nitrogênio-carbono e oxigênio-carbono.
Alguns exemplos são a síntese de éteres (síntese de Williamson) a partir de álcoois e haletos de alquilas, a alquilação de aminas e a síntese malônica.


Síntese
As principais rotas de síntese de haletos de alquila são a substituição radicalar sobre alcanos e a adição de H-X ou X2 em alcenos e a substituição nucleofílica em álcoois.
A partir de alcanos
Os alcanos reagem com halogênios por halogenação por radicais livres. Nesta reação, um átomo de hidrogênio é removido do alcano e, em seguida, substituído por um átomo de halogênio pela reação com uma molécula de halogênio diatômica. O intermediário reativo nesta reação é um radical livre e a reação é chamada de reação em cadeia radical.
A halogenação de radicais livres normalmente produz uma mistura de compostos mono- ou multi-halogenados em várias posições. É possível prever os resultados de uma reação de halogenação com base nas energias de dissociação de ligação e nas estabilidades relativas dos intermediários radicais, principalmente na bromação radicalar. Na reação com cloro, a probabilidade de reação em cada átomo de carbono, do ponto de vista estatístico também é um fator operante. A reação com flúor é muito exotérmica e pode resultar em explosão. Além disso, é gerado HF na reação, que é extremamente corrosivo.
Devido à diferença no ponto de ebulição dos compostos mono e dihalogenados é possível separá-los por destilação.
A partir de alcenos
Na hidrohalogenação, um alceno reage com um halogeneto de hidrogênio seco (HX) como cloreto de hidrogênio (HCl) ou brometo de hidrogênio (HBr) para formar um mono-haloalcano. A regra de Markovnikov estabeleceu que o halogênio se liga ao carbono mais substituído. Se a reação for realizada em água, normalmente resulta em uma halohidrina, que contém o halogênio e um -OH em carbonos vicinais e por isso a reação é realizada em um solvente inerte, como CCl4 ou em fase gasosa. A reação dos alcinos é semelhante, sendo o produto um di-halogeneto geminal; mais uma vez, a regra de Markovnikov é seguida.

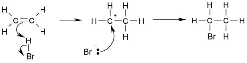
Os alcenos também reagem com halogênios (X2) para formar haloalcanos com dois átomos de halogênio vizinhos em uma reação de adição de halogênio. Os alcinos reagem de maneira semelhante, formando os compostos tetra-halo. Às vezes, isso é conhecido como "descoloração" do halogênio, uma vez que o Br2 é colorido e o produto geralmente é incolor e inodoro.
A partir de álcoois
Os álcoois (R-=OH) sofrem reação de substituição nucleofílica por ácido halogênio para dar haloalcanos. O alcanol terciário reage diretamente com o ácido clorídrico para produzir coloroalcano terciário (cloreto de alquila), mas se for usado álcool primário ou secundário, é necessário um ativador como o cloreto de zinco. Essa reação é explorada no teste de Lucas.
A conversão mais popular é realizada pela reação do álcool com cloreto de tionila (SOCl2) na "halogenação de Darzens", que é um dos métodos laboratoriais mais convenientes, porque os subprodutos são gasosos. Tanto o pentacloreto de fósforo (PCl5) e tricloreto de fósforo (PCl3) também converte o grupo hidroxila em cloreto.

Os álcoois também podem ser convertidos em bromoalcanos usando ácido bromídrico ou tribrometo de fósforo (PBr3). Uma quantidade catalítica de PBr3 pode ser usado para a transformação usando fósforo e bromo; PBr3 é formado in situ.
Similarmente, os iodoalcanos podem ser preparados usando fósforo vermelho e iodo (equivalente ao triiodeto de fósforo). A reação de Appel também é útil para a preparação de halogenetos de alquila. O reagente é tetra-halometano e trifenilfosfina; os coprodutos são halofórmio e óxido de trifenilfosfina.
Aspectos Gerais
Os haloalcanos são compostos químicos derivados dos alcanos pela substituição de um ou mais átomos de hidrogênio por igual número de átomos de halogênio. A reação de substituição pode ocorrer com flúor, cloro, bromo ou iodo e resulta em fluoralcanos, cloroalcanos, bromoalcanos e iodoalcanos (oneto de aquila) respectivamente.
A halogenação cruzada também é possível sendo que o melhor exemplo corresponde aos clorofluorcarbonos (CFC) onde se destaca principalmente o freon, denominação geral aplicada a esses grupos de compostos e que é marca registrada das indústrias DuPont.
Nomenclatura e tabela geral dos nomes
Segue a tabela de nomes e códigos de CFC e HFC
| Nomenclatura CFC (HCFC) ou Freons | |||
|---|---|---|---|
| Algarismo 1 | Algarismo 2 | Algarismo 3 | NOTA |
| nº de C - 1 | nº de H + 1 | nº de F | O nº de Cloros é obtido pela diferença |
| Exemplo: CFC 12 : constituido por um C, nenhum H e dois F | CFC 115: constituido por dois C, nenhum H e cinco F | HCFC 122: constituido por dois C, um H e dois F |
| Visão geral dos haloalcanos | |||
|---|---|---|---|
| Esta tabela apresenta os haloalcanos em geral ou os mais conhecidos. A lista inclui produtos comerciais assim como produtos de laboratório. | |||
| Nome sistemático | Nome trivial ou comum | Código | Fórmula química |
| Halometanos | |||
| Clorometano | Cloreto metílico | CH3Cl | |
| Diclorometano | Cloro metileno | CH2Cl2 | |
| Triclorometano | Clorofórmio | CHCl3 | |
| Tetraclorometano | Tetracloreto de carbono, Freon 10 | CFC-10 | CCl4 |
| Tetrafluorometano | Tetrafluoreto de carbono, Freon 14 | CFC-14 | CF4 |
| Triclorofluorometano | Freon-11, R-11 | CFC-11 | CCl3F |
| Diclorodifluorometano | Freon-12, R-12 | CFC-12 | CCl2F2 |
| Clorotrifluorometano | CFC-13 | CClF3 | |
| Clorodifluorometano | R-22 | HCFC-22 | CHClF2 |
| Trifluorometano | Fluofórmio | HFC-23 | CHF3 |
| Clorofluorometano | Freon 31 | CH2ClF | |
| Difluorometano | HFC-32 | CH2F2 | |
| Fluorometano | Fluoreto metílico | HFC-41 | CH3F |
| Dibromometano | Brometo de metileno | CH2Br2 | |
| Tribromometano | Bromofórmio | CHBr3 | |
| Bromoclorometano | Halon 1011 | CH2BrCl | |
| Bromoclorodifluorometano | BCF, Halon 1211 BCF, ou Freon 12B1 | Halon 1211 | CBrClF2 |
| Bromotrifluorometano | BTM, Halon 1301 BTM, ou Freon 13BI | Halon 1301 | CBrF3 |
| Trifluoroiodometano | Iodato de trifluorometileno | Freon 13T1 | CF3I |
| Haloetanos | |||
| 1,1,1-Tricloroetano | Clorofórmio metílico, tri | Cl3C-CH3 | |
| Hexacloroetano | CFC-110 | C2Cl6 | |
| 1,1,2-Tricloro-1,2,2-trifluoroetano | Triclorotrifluoroetano | CFC-113 | Cl2FC-CClF2 |
| 1,1,1-Tricloro-2,2,2-trifluoroetano | CFC-113a | Cl3C-CF3 | |
| 1,2-Diclorotetrafluoroetano | Diclorotetrafluoroetano | CFC-114 | ClF2C-CClF2 |
| 1-Cloro-1,1,2,2,2-pentafluoroetano | Cloropentafluoroetano | CFC-115 | ClF2C-CF3 |
| 2-Cloro-1,1,1,2-tetrafluoroetano | HFC-124 | CHF2CF3 | |
| 1,1,2,2,2-pentafluoroetano | Pentafluoroetano | HFC-125 | CHF2CF3 |
| 1,1,2,2-Tetrafluoroetano | HFC-134 | F2HC-CHF2 | |
| 1,1,1,2-Tetrafluoroetano | R-134a | HFC-134a, Suva-134a | F3C-CH2F |
| 1,1-Dicloro-1-fluoroetano | HCFC-141b | Cl2FC-CH3 | |
| 1-Cloro-1,1-difluoroetano | HCFC-142b | ClF2C-CH3 | |
| 1,2-Dicloroetano | Dicloreto de etileno | Freon 150 | ClH2C-CH2Cl |
| 1,1-Dicloroetano | Dicloreto de etileno | Freon 150a | Cl2HC-CH3 |
| 1,1-Difluoroetano | HFC-152a | F2HC-CH3 | |
| Haloalcanos longos, polímeros | |||
| 1,1,1,2,3,3,3-Heptafluoropropano | HFC-227ea, FE-227, FM-200 | F3C-CHF-CF3 | |
| Decafluorobutano | Perfluorobutano | R610, PFB, CEA-410 | F3C-CF2-CF2-CF3 |
| Policloroeteno | Cloreto polivinílico, PVC | -[CHCl-CH2]x- | |
| Politetrafluoroetileno | Politetrafluoroetileno, PTFE, Teflon |
-[CF2-CF2]x- | |
Referências
- ↑ Butler, Alison; Catter-Facklin, Jayen M. (2004). «The role of vanadium bromoperoxidase in the biosynthesis of halogenated marine natural products». Natural Product Reports. 21 (1): 180–188. PMID 15039842. doi:10.1039/b302337k
- ↑ PMID 19363038 Review of vanadium-dependent bromoperoxidases in nature
- ↑ Gordon W. Gribble (1998). «Naturally Occurring Organohalogen Compounds». Acc. Chem. Res. 31 (3): 141–152. doi:10.1021/ar9701777
- ↑ Ann M. Thayer “Fabulous Fluorine” Chemical and Engineering News, June 5, 2006, Volume 84, pp. 15-24. http://pubs.acs.org/cen/coverstory/84/8423cover1.html