Cimetidina
Cimetidina | |||||||||||||||||
|---|---|---|---|---|---|---|---|---|---|---|---|---|---|---|---|---|---|
![]() | |||||||||||||||||
![]() | |||||||||||||||||
| Nomes | |||||||||||||||||
| Nome IUPAC | 2-ciano-1-metil-3-[2-(5-metilimidazol-4-ilmetiltio)etil]-guanidina. | ||||||||||||||||
| |||||||||||||||||
| |||||||||||||||||
| |||||||||||||||||
| |||||||||||||||||
| Página de dados suplementares | |||||||||||||||||
| Estrutura e propriedades | n, εr, etc. | ||||||||||||||||
| Dados termodinâmicos | Phase behaviour Solid, liquid, gas | ||||||||||||||||
| Dados espectrais | UV, IV, RMN, EM | ||||||||||||||||
| Exceto onde denotado, os dados referem-se a materiais sob condições normais de temperatura e pressão. Referências e avisos gerais sobre esta caixa. Alerta sobre risco à saúde. | |||||||||||||||||
A cimetidina (em latim: cimetidinum), é um fármaco antagonista do receptor H2[3], inibe seletivamente a secreção ácida estomacal e reduz a produção de pepsina. É utilizada no tratamento de úlcera duodenal, úlcera gástrica benigna, esofagite péptica e outros distúrbios gástricos, devido às atividades de antiácido gástrico e redutor da produção de pepsina.
Foi sintetizada por Sir. James Whyte Black, também descobridor do propranolol.[4]
História

Ainda havia controvérsia a respeito da fisiologia da secreção de ácido em 1964 quando uma equipe da Smith Kline & French Laboratories, na Inglaterra, iniciou um projeto para provar a existência de mais de um receptor para histamina e encontrar uma substância capaz de bloquear os efeitos não bloqueados por os anti-histamínicos comumente usados. A equipe estava convencida de que a histamina era o mediador final da secreção de ácido. Após 8 anos, James Black e seus colegas de trabalho publicaram evidências do primeiro antagonista do receptor da histamina2, a burimamida. Como essa substância não era adequada para terapia oral, a pesquisa continuou. A metiamida foi sintetizada com efeitos clínicos promissores, mas segurança questionável. A resposta final foi a cimetidina (Tagamet), aprovada na Inglaterra em novembro de 1976. A cimetidina foi um avanço no tratamento de úlceras pépticas.[5]
O nome comercial "Tagamet" foi decidido pela fusão das palavras "an tag onist" e "ci met idine".
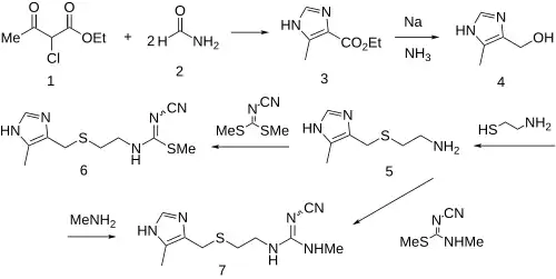
Química


Ação terapêutica
É destinado ao tratamento de distúrbios do trato gastrintestinal superior nos quais a redução da secreção gástrica, a obtenção da remissão e a prevenção da recorrência sejam benéficas para o alívio sintomático como no tratamento agudo da úlcera duodenal, úlcera gástrica benigna, úlcera de boca anastomática e pós-cirúrgica, úlcera péptica recorrente e esofagite péptica.
No controle de condições hipersecretórias patológicas, como na síndrome de Zollinger-Ellison, na mastocitose sistêmica, adenomas endócrinos múltiplos, síndrome pós-operatória de intestino curto, hipersecreção idiopática.
Na prevenção de úlceras de estresse em pacientes gravemente enfermos e de alto risco, e também como medida de apoio no controle de hemorragia devido a úlceras pépticas ou erosões do trato gastrintestinal superior, nos pacientes sob anestesia geral, e, inclusive, em mulheres submetidas a cesarianas, a cimetidina reduz a acidez e o volume das secreções gástricas, diminuindo o risco de dano pulmonar promovido pela aspiração do conteúdo gástrico.
Tratamento em curto prazo dos sintomas de condições dispépticas caracterizadas por dor abdominal superior, particularmente quando relacionadas com as refeições e quando não se consegue identificar qualquer causa orgânica; e prevenção de recidiva de úlceras gástricas e duodenais, em particular naqueles pacientes com história de recidivas ou complicações frequentes, assim como em pacientes com patologias concomitantes que possam tornar a cirurgia um risco maior do que o habitual. [6]
Farmacologia
Farmacocinética
- Oral: Após administração oral, o fármaco é absorvido no intestino de forma rápida e eficiente. Cerca de 70% da dose oral é aproveitada, sendo o pico de concentração sérica alcançado entre 60 e 90 minutos, guardando correlação com a dose empregada. Ao contrário de outros antagonistas H2, a biodisponibilidade da cimetidina é muito uniforme. Reduz a acidez, mantendo as flutuações fisiológicas do pH intragástrico. A meia vida do fármaco é de, aproximadamente, duas horas, e sua principal via de eliminação é a urina, através da qual 60% a 70% são excretados de forma inalterada.[7]
- Intravenosa ou intramuscular: A cimetidina apresenta volume de distribuição de 1l/kg e encontra-se fracamente ligado às proteínas plasmáticas, aproximadamente 20%. Atravessa a barreira placentária. A administração da solução injetável de cimetidina permite que o fármaco aumente sua biodisponibilidade, pois evita que este sofra metabolismo hepático de primeira passagem. O tempo médio de eliminação da cimetidina é de 2 a 3 horas, embora sofra metabolismo hepático passando a sulfóxido e hidroximetilcimetidina, grande parte é excretada na urina sem ser metabolizada. Desta forma, a insuficiência renal exige redução na dosagem deste fármaco, pois pode aumentar a meia vida plasmática. É também excretado no leite materno. [8]
Farmacodinâmica
A cimetidina é um antagonista de receptores H2, sendo, portanto, estruturalmente semelhante à histamina. Corresponde quimicamente à N-ciano-N'- metil-N”-[2-[[(5-metil-1H-imidazol-4-il)-metil]tio]etil] guanidina. A cimetidina atua através de inibição competitiva com a histamina pelos receptores H2 das células parietais. Dessa forma, inibe a secreção gástrica basal, estimulada por alimentos, betazol, pentagastrina, cafeína e insulina, reduzindo o volume e a acidez da secreção. A cimetidina não reduz a secreção da pepsina, mas sua produção total fica reduzida como efeito exercido sobre o volume das secreções gástricas. Além de apresentar efeito antissecretor, a cimetidina apresenta ação cito protetora, auxiliando na manutenção da integridade da mucosa gástrica. Mesmo após tratamento prolongado com cimetidina, a suspensão da terapia não promove rebote ácido. Por não apresentar propriedades colinérgicas ou anticolinérgicas, a cimetidina não interfere com a motilidade gastrintestinal. [9]
Interações
A cimetidina interage com a enzima citocromo P-450, inibindo o metabolismo de certos agentes farmacológicos. Além disso, causa diminuição do fluxo sanguineo hepático devido ao bloqueio do receptor H2 vascular, que por sua vez leva ao menor metabolismo de drogas que possuam alta taxa de extração hepática.[10] Interage com antidepressivos, antiarrítmicos, bloqueadores do canal de cálcio, sulfoniluréias, propanolol, metoprolol, diazepam, entre outros. Pode diminuir o efeito de medicamentos como o cetoconazol, itraconazol por causar redução de sua absorção. Aumenta absorção de atazanavir.[11]
Reações adversas
Pacientes em uso do medicamento podem apresentar cefaleia, cansaço, diarreia e erupções na pele.[11] Efeitos mais graves incluem desorientação, excitação, depressão, nervosismo e alucinações.
Alguns nomes comerciais
- Cimecol
- Cimetidina
- Cimetidan
- Cintag
- Ulcenon
- Up Med
- Tagamet
Notas e referências
- 1 2 3 Farmacopeia Portuguesa VII
- 1 2 3 4 (en) « Cimetidina » em ChemIDplus
- ↑ P.R.Vade-mécum 2006/2007
- ↑ Medicining: Webster's Quotations, Facts and Phrases
- ↑ qnint.sbq.org.br http://qnint.sbq.org.br/qni/popup_visualizarMolecula.php?id=F_0x368zq1BKH-%20Es4EAnrMAOa5u51_TFmFE8Vk7TZL2IdLTtczTNfyn276AfUW9D1YpVdOivSod_uUusn4aBTA==#:~:text=A%20cimetidina%20foi%20descoberta%20h%C3%A1,usando%20uma%20abordagem%20terap%C3%AAutica%20moderna. Consultado em 21 de novembro de 2020 Em falta ou vazio
|título=(ajuda) - ↑ «Bula cimetidina» (PDF)
- ↑ «Bula Tamaget Cimetidina» (PDF)
- ↑ «Bula intravenosa Cimetidina» (PDF)
- ↑ «Bula Intravenosa Cimetidina» (PDF)
- ↑ «Arq. Medicinal Oficial»
- 1 2 Vademecun.es

