Transformada de Hilbert

Em matemática, a transformada de Hilbert é uma transformada integral que mapeia uma função f(x) em uma outra, û(x) (portanto, no mesmo domínio[nota 1][nota 2]).[1][2]
Ela recebeu esse nome em homenagem ao matemático alemão David Hilbert, que, em 1905, estudou uma transformação similar com vistas a estudar o Problema de Riemann-Hilbert sobre o círculo. Não foi, portanto, o próprio Hilbert que definiu essa transformada, e sim o matemático britânico Godfrey Harold Hardy, em 1925 (ver abaixo. Pesquisas posteriores fixaram a forma da transformação como hoje é usada, mostraram sua utilidade em campos diferentes de aplicação, como a análise harmónica,[2] o processamento digital de sinais,[3] a óptica,[1] a sismologia,[1] a física quântica,[3] a fisiologia[4] e a acústica,[4] e introduziram variações, como a Transformada Discreta de Hilbert, a Transformada de Hilbert Bilinear e a Transformada de Hilbert Trilinear.
A utilidade da transformada de Hilbert advém do fato de a função g(x) = f(x) + i·û(x) (onde i é unidade imaginária) ser sempre uma função analítica (também chamada de função regular e função holomorfa) na metade superior do plano complexo, ou seja, uma função que é infinitamente diferenciável nesse domínio. Em outras palavras, em toda função analítica, a parte imaginária é a transformada de Hilbert da parte real.[1][nota 3] Assim, a transformação de Hilbert é uma maneira prática de se obter a conjugada de uma função real qualquer f(x). Daí decorrem diversas aplicações práticas:
- Para obter-se uma representação analítica de uma função. Em diversas aplicações, é mais fácil trabalhar com a função complexa g(x), por ser analítica, do que com a função real f(x).[1]
- Como uma maneira de generalizar o conceito de fasor em aplicações onde se lida com sinais de frequências variáveis no tempo. Neste caso, diferentemente da transformada de Fourier e outras relacionadas, representa-se o sinal não como uma soma dos seus componentes senoidais, e sim como um produto de duas funções, uma de alta e outra de baixa frequência.[5]
- Como uma ferramenta para demodular um sinal, obtendo o seu envelope (ou envoltória).[6]
Este verbete trata principalmente da transformada "contínua" de Hilbert, isto é, a transformada de funções definidas em um espaço euclideano. A transformação pode ser aplicada também em espaços discretos (ver transformada discreta de Hilbert, mais abaixo) e espaços contínuos não-euclideanos, como um toroide[3] (ver extensões em outros espaços, mais abaixo).
Definição
A transformada de Hilbert de uma função f(x) é definida por:
Convenções
Como também acontece com outras transformadas, o sinal da integral na definição é matéria de convenção e pode ser invertido sem mudança nas propriedades essenciais da Transformada de Hilbert. Tal inversão se encontra frequentemente na literatura.
Também é frequente expressar a variável independente na transformada como y, em lugar de x, para deixar mais clara a relação entre as funções û(y) e f(x). Tal convenção não foi usada aqui.
Neste verbete, como se verifica em toda a literatura, x é sempre uma variável real. Portanto, f(x) e û(x) são sempre funções reais. s e z denotam variáveis complexas. k (minúscula), l, m e n são constantes reais inteiras. a e b são constantes complexas. K (maiúscula), p e q são constantes reais. t e ω são variáveis reais, denotando sempre as grandezas físicas tempo e frequência angular. Evitou-se referenciar a grandeza física frequência linear, de forma a evitarem-se ambiguidades; quando necessário, usa-se a expressão .
Cálculo e condições de existência
O cálculo da integral contida na definição apresenta dificuldades, não só porque se trata de uma integral imprópria com limites infinitos, mas principalmente porque o integrando assume valores infinitos dentro do intervalo de integração (o que se chama uma singularidade). Para contornar essas dificuldades, divide-se a integral em duas partes de modo a obter-se a formulação alternativa
efetivamente excluindo-se do cálculo um intervalo simétrico de comprimento 2ε em torno da singularidade. Essa forma é chamada de valor principal de Cauchy da integral, por isso é comum, em textos mais formais, encontrar a definição da Transformada de Hilbert escrita assim:
As expressões (2) e (3) são rigorosamente equivalentes. Neste verbete, usamos (1a), por brevidade.
Substituindo-se variáveis (v = x + u, w = x - u), obtêm-se outras formulações alternativas:
Para que a integral em (2) convirja, a função f(x) precisa atender a certas condições. Titchmarsh demonstrou que as funções no Espaço Lp com 1 < p < ∞ possuem transformadas de Hilbert, bem como algumas no L1.[7]
Sabe-se também que a chamada condição de Paley-Wiener é necessária e suficiente para que a transformada exista.[3]
A maioria das funções[nota 4] de interesse em engenharia incluem-se nessa categoria. A tabela abaixo lista algumas dessas funções e suas respectivas transformadas.
Tabela de transformadas de Hilbert
Para detalhes, ver também derivação de algumas transformadas de Hilbert.

em que:
| |
Transformada inversa
A transformada de Hilbert tem a propriedade conveniente de ser o negativo de sua própria inversa (o que se chama uma anti-involução):[nota 5]
Isso é uma consequência do fato de a aplicação da transformação duas vezes sucessivas resultar no negativo da função original
Uma consequência interessante é que a aplicação da transformação três vezes sucessivas resulta na transformada inversa
e assim por diante. Essas propriedades ficam mais claras se expressas através de operadores:
Convolução
Por inspeção direta da expressão (1a), percebe-se que a função û(x) é a convolução da função f(x) com a função . Essa função é chamada núcleo de Hilbert, e será denotada neste verbete como h(x). Assim, uma outra expressão para a definição da Transformada de Hilbert é a seguinte:
Formas alternativas da transformada de Hilbert
A transformada de Hilbert, definida pela equação (1a), pode ser expressa de forma alternativa com a introdução das variáveis auxiliares η e ζ tais que
obtendo-se as expressões
e
Quando definida por meio das equações (1c) ou (1d), a transformada de Hilbert possui todas as propriedades da transformação definida pela equação (1a), inclusive a anti-simetria da transformada inversa, e ainda a propriedade adicional de ser uma função periódica em ζ.[9]
Propriedades elementares
Linearidade
Da expressão (1a), segue-se imediatamente que a transformada de Hilbert é um operador linear. Assim, podemos escrever
Dilatação e deslocamento do eixo
Da expressão (1a), segue-se imediatamente que
onde sgn(a) é a chamada função sinal de a, e
Convolução
Da expressão (1a), também se segue que
e que
Comutatividade com relação à diferenciação
Da expressão (5), aplicando-se a fórmula de Leibniz para a derivação de uma integral, segue-se que
Invariância
O operador apresenta propriedades de invariância quando combinado com outros operadores; por exemplo, o operador da transformação de Fourier, :
Essa propriedade deriva do fato de a transformada de Hilbert da função impulso unitário ser igual ao núcleo de Hilbert h(x).
Relação com as equações de Cauchy-Riemann
O fato de uma função e sua transformada estarem relacionadas de forma tal que a função complexa é analítica no semi-plano superior complexo implica que as equações de Cauchy-Riemann são obedecidas, ou seja, pode-se escrever:
Em consequência, se derivarmos novamente as equações acima, obteremos
assim,
De forma similar, podemos obter também
Como a função u(z) é real, temos obrigatoriamente
As equações (6c) e (6d) são exemplos da conhecida Equação de Laplace. Assim, a tarefa de encontrar o par de funções e equivale a resolver um sistema de equações de Laplace com as condições de contorno dadas pelas equações (6e) e (6f).[4]
Interpretações físicas
Interpretação no domínio do tempo
.gif)
Se, na expressão (6a), a variável independente for o tempo, a interpretação imediata é que a função û(t) é a resposta de um dispositivo a um sinal de entrada descrito por f(t). A função h(t) seria, nesse caso, a resposta desse dispositivo a um impulso unitário na sua entrada; tal resposta caracterizaria o dispositivo como um filtro linear invariante no tempo. Esse dispositivo é chamado filtro de Hilbert ou transformador de Hilbert (Hilbert transformer).[2]
Interpretação no domínio da frequência

Se denotarmos a transformada de Fourier[nota 6] de uma função f(x) por , a sua aplicação ao núcleo de Hilbert h(x) dará
Podemos calcular, a partir das expressões (6a) e (7), a transformada de Fourier de uma função û(x) qualquer, que denotaremos por
Podemos interpretar (8a) no domínio da frequência, da seguinte maneira: a aplicação da transformada de Hilbert a uma função f(t) faz com que suas componentes harmônicas negativas sejam multiplicadas por -i, o que equivale a um deslocamento de na sua fase, que suas componentes harmônicas positivas sejam multiplicadas por i, o que equivale a um deslocamento de fase de , e que a componente contínua (ω=0) seja eliminada. A partir dessa propriedade, vê-se claramente por que a aplicação dessa filtragem duas vezes sucessivas resulta exatamente na inversão do sinal original: todas as componentes são multiplicadas por i2 = -1.[2][1]
Em análise de sinais, como a transformação de Hilbert apenas muda a fase de um sinal de entrada f(t) (sendo que, nos casos práticos, t sempre é maior que 0), a densidade de energia espectral do sinal de saída û(t), que é dada por |û(t)|, é a mesma daquela do sinal de entrada, que é dada por |f(t)| ou , de acordo com Lord Rayleigh (ver também o Teorema de Parseval e o Teorema de Plancherel, que são generalizações posteriores do teorema original de Rayleigh).[2][5]
Da expressão (8a), segue que, se o sinal f(t) e sua transformada û(t) forem expressos pelas correspondentes séries de Fourier, os componentes bk de uma serão iguais aos componentes ak da outra, a menos do sinal, para todo k > 0. Uma maneira informal de enunciar isso é dizer que a transformação de Hilbert troca os senos pelos cossenos na representação no domínio da frequência.
Uma consequência prática da expressão (8a) é que a transformada de Hilbert de um sinal f(t) pode ser computada através da transformada de Fourier deste (ver Cálculo por métodos numéricos).
Causalidade
Diz-se que um filtro é causal quando sua saída num tempo tk não depende de nenhum valor de t > tk. Acredita-se que todos os sistemas físicos possuam essa propriedade. Assim, um filtro, para ser construído fisicamente, precisa ser causal.[nota 7]
Uma propriedade que se segue diretamente da definição acima é que a resposta desse filtro ao impulso é nula para t < 0.
Com respeito à causalidade, a transformação de Hilbert possui as seguintes propriedades:
- Como a resposta do filtro de Hilbert ao impulso não é nula para t < 0, ele não é um filtro causal.
- Demonstra-se que, se a transformada de Hilbert da resposta em frequência de um filtro existir, isso é condição necessária e suficiente para que tal filtro seja um filtro causal.[6]
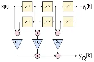
Implementação física de transformadores de Hilbert

Como um filtro de Hilbert não é um sistema causal, ele é fisicamente irrealizável. Podem-se construir, contudo, filtros de Hilbert analógicos ou digitais com resposta aproximada. A resposta de tais filtros, além de apresentar distorções em relação à resposta do filtro ideal, dada pela equação (8a), exibe necessariamente um atraso com relação ao sinal de entrada. Esses dois pontos, atraso e precisão na resposta, constituem então critérios de comparação entre diferentes implementações de um filtro de Hilbert. Outros critérios importantes são a estabilidade com o envelhecimento dos componentes e imunidade a perturbações externas, como variações de temperatura, vibração, etc. Em geral, um filtro digital é mais fácil e mais barato para se implementar do que um filtro analógico com as mesmas características de atraso, precisão, estabilidade e imunidade. A base para a construção de um filtro de Hilbert digital é a Transformada Discreta de Hilbert, tratada mais abaixo.
A resposta em frequência e em fase de um filtro de Hilbert ideal é dada pelas fórmulas seguintes:
onde f é a frequência do sinal de entrada, A é o valor do sinal de saída e φ, seu ângulo de fase. Ou seja, o sinal de entrada é dado pela equação e o sinal de saída por . Arg(x) é a função argumento principal e h(t) é o núcleo de Hilbert, cuja transformada é .[9]
Outras propriedades importantes
Conjugado harmônico
Se denotarmos o valor da transformada de Fourier para um dado valor de x=x1 como
então, de (8a), temos que
Vemos, de (9a), que transformação de Hilbert efetua a troca entre as partes real e imaginária de uma função complexa. Essa propriedade é útil porque permite seu uso para encontrar as componentes conjugadas de uma dada função f(x)[2] (ver os itens Funções conjugadas e Interpretação no domínio da frequência neste verbete).
Simetria e ortogonalidade
Em aplicações físicas, em geral f(x) é uma função real, e, como consequência, o mesmo acontece com û(x). Como a transformada de Fourier exibe simetria hermitiana para valores reais, ou seja,
isso se verifica também para . Assim, se û(x) for uma função par, û(-x)=û(x), e a condição implica , o que só é possível se for uma função real. Inversamente, se û(x) for uma função ímpar, û(-x)=-û(x), e a condição implica , o que só é possível se for uma função de valores puramente imaginários.
Além disso, a expressão (8a) mostra diretamente que, se for uma função real, G(ω) será uma função puramente imaginária e que, se for uma função puramente imaginária, G(ω) será uma função real. Mas a simetria hermitiana da transformada de Fourier obriga f(x) a ser uma função par no primeiro caso, e ímpar no segundo. O resultado é que, quando û(x) for uma função par, f(x) será uma função ímpar; quando û(x) for uma função ímpar, f(x) será uma função par.
A partir dessas propriedades de, pode-se provar facilmente que as funções f(x) e û(x) são ortogonais, pois
uma vez que o integrando será sempre uma função ímpar.[1][9] Em Física, a variável x tem dimensão temporal, e a grandeza EM é chamada a energia mútua das funções f(t) e û(t).[9]
Transformada de um produto de funções
Se a função f(x) for o produto de duas funções f1(x) e f2(x), então G(ω)=G1(ω)*G2(ω) (pelo teorema da convolução). Podemos escrever G2(ω)=G2(ω)·(u1(ω) + u1(-ω)), por exemplo, onde u1(x) é a função degrau unitário ((u1(x) + u1(-x) = 1). Assim, G(ω)=G1(ω)*[G2(ω)·u1(ω) + G2(ω)·u1(-ω)]=G1(ω)*G2(ω)·u1(ω) + G1(ω)*G2(ω)·u1(-ω)]. Evidentemente, o primeiro termo é nulo para ω<0, e o segundo termo é nulo para ω>0. Daí, segue-se que
Desenvolvendo a expressão, temos
Podemos, então, escrever
Assim, as funções e possuem a mesma transformada de Fourier. Devido à propriedade de linearidade desta, podemos dizer que essas funções são idênticas, a menos da adição de uma função f0(x) cuja transformada de Fourier fosse nula. De acordo com o Teorema de Lerch, uma função com essa propriedade teria que ser uma função nula,[10] portanto podemos desprezá-la em aplicações práticas e escrever:
A expressão (10a) é conhecida como identidade de Bedrosian.[11] O problema de quais são as condições que as funções f1(x) e f2(x) precisam atender para que a transformada de Hilbert de f(x) exista ainda está em aberto, mas a restrição mais usada (ou seja, a menos estrita) é que existam valores x1 e x2 tais que f1(x)=0 para todo x>x1, que f2(x)=0 para todo x>x2, e que x2>x1.[nota 8][12][13] Uma condição mais estrita, mas mais simples, é que f1 e f sejam funções analíticas.
De acordo com essa expressão, quando precisarmos computar a transformada de Hilbert de um produto de duas funções, só será preciso calcular a transformada da função de alta frequência e multiplicá-la pela outra.
Outra consequência da expressão (10a) é que o produto dessas duas funções pode ser expresso como
Autocorrelação
De (8a) segue-se também que f(x) e û(x) têm a mesma função de autocorrelação, que é definida como a convolução de uma função com seu conjugado complexo:
Representações alternativas para a função f(x)
Filtros passa-baixas e passa-altas
Uma função qualquer f(x) pode ser expressa em função de duas componentes fL(x) e fH(x) com o auxílio da função seno cardinal:
com
e, evidentemente,
onde δ(x) é a função impulso unitário. A ideia é que fL(x) contenha todas as componentes de frequências baixas (ω<2πfc) do sinal, e fH(x) contenha as componentes de frequências altas (ω>2πfc). Para verificar que isso realmente acontece, basta calcular as transformadas de Fourier
onde rect(x) é a função retangular:
De maneira similar,
A função sinc(x), portanto, funciona como um filtro passa-baixas ideal.
Funções conjugadas
Uma função qualquer f(x) pode ser expressa de forma alternativa em função de duas componentes conjugadas f1(x) e f2(x):
com
É fácil ver que a expressão (12a) é válida para qualquer g(x). No entanto, se fizermos g(x) = û(x), o espectro de frequências de f1(x) e f2(x) terá características muito interessantes, pois
Similarmente, teremos
O exame das expressões (12d) e (12e) revela que, nessa decomposição, uma das funções é composta por todas as componentes com frequências positivas de f(x), e a outra, por todas as componentes com frequências negativas. Por isso, essas funções são frequentemente notadas como f+(x) e f-(x).
Cálculo por métodos numéricos
O cálculo da transformada de Hilbert através da integração direta, a partir de alguma das suas fórmulas de definição, funciona bem para funções que não apresentem descontinuidades e que decresçam rapidamente com o aumento do valor de x. Para outros casos, devem-se empregar artifícios; um deles é usar polinômios de Hermite para calcular as integrais. Em todos os casos, como a distribuição de energia das funções f(x) e û(x) é a mesma (como mostrado aqui), o valor da energia de f(x) e de û(x), em cada frequência, pode ser calculado e comparado, de forma a obter-se uma estimativa da qualidade da aproximação resultante do método de cálculo escolhido.[5]
Da expressão (8a), segue que a transformada de Hilbert de um sinal f(t) pode ser computada através da transformada de Fourier deste, da seguinte maneira:[5]
- Em primeiro lugar, expressa-se f(t) na forma de uma série de Fourier;
- Depois, trocam-se os coeficientes dos componentes em senos pelos coeficientes em cossenos e vice-versa (isso equivale a aplicar os desvios de fase de e onde necessário); a componente DC deve ser desprezada.
Outro método que pode ser usado é o seguinte:
- Em primeiro lugar, calcula-se a transformada de Fourier de f(t) (por exemplo, por meio da Transformada Rápida de Fourier;
- Depois, multiplicam-se os coeficientes dos componentes de frequências negativas por -1, deixando-se os demais inalterados; a componente DC deve ser desprezada.
- Calcula-se a transformada inversa de Fourier do resultado.
Isso é possível devido à propriedade de invariância com relação ao operador da transformação de Fourier.
Pode-se também usar um método similar para calcular û(t) a partir da Transformada de Hartley, conforme se vê em Bracewell (2000).[1]
Aplicações
Modulação
A forma geral de uma onda modulada em amplitude (AM) é
Um inconveniente da modulação em amplitude é que o espectro de s(t) é simétrico em relação à frequência da portadora. Isso implica que o sinal contém informação redundante, que ocupa banda passante e gasta energia dos transmissores desnecessariamente. Por isso, em lugar da forma padrão, também chamada de DSB-FC (bandas laterais duplas com portadora, ing. double side banded - full carrier), é vantajoso adotar a forma SSB (banda lateral simples, ing. single side banded).
Teoricamente, poder-se-ia eliminar a banda lateral por meio de um filtro convencional. No entanto, tal filtro teria que ter um fator de qualidade muito grande, com largura de banda estreita e atenuação elevada, o que torna difícil construí-lo a partir de um circuito eletrônico convencional. Uma alternativa é usar um filtro de Hilbert.
De acordo com as expressões (10) e (11), podemos escrever, considerando f(t) = Ac [1 + Kam(t)] (o sinal modulador), e assumindo que, em aplicações práticas, as frequências nele presentes são sempre muito menores que fc:
Em primeiro lugar, expressa-se o sinal s(t) em função de duas componentes de frequências altas e baixas sU(t) e sL(t), ambas derivadas de f(t) e sua transformada, û(t):
sendo
Desenvolvendo sU(t), teremos
De forma similar,
Por inspeção das expressões (12a) a (12c), podemos escrever
De acordo com as propriedades da transformada de Fourier, a multiplicação pelo fator eiῳt equivale a um deslocamento na frequência igual a ῳ. Nesse contexto, a comparação com as expressões (12d) e (12e) mostram que o espectro de sU(t) possui apenas frequências com valores de (f - fc) positivos, ou seja, f > fc. O inverso vale para sL.
Demodulação

A transformada de Hilbert pode ser usada para analisar um sinal s(t) que consiste de um produto de duas funções f(t) e g(t). Em aplicações práticas, uma delas é frequentemente uma oscilação de alta frequência e a outra é um sinal que contém informação útil e que se deseja destacar para análise. Nesse contexto, a primeira função é chamada de portadora e a outra, de função moduladora ou sinal modulante. Aqui suporemos que g(t) é a portadora e f(t), o sinal modulante.
Pode-se obter f(t) a partir de s(t) através da transformada de Hilbert, por meio da expressão:
Essa operação é chamada de demodulação. Evidentemente, constitui o inverso da modulação, que consite em obter s(t) a partir de f(t).
Em engenharia, também se usa o termo sinal analítico forte para designar uma função analítica (ou regular ou holomorfa). Tal sinal pode ser escrito na forma geral s(t) = A(t)·eφ(t), que representa um vetor de amplitude instantânea A e direção instantânea dada pelo ângulo de fase φ, ambos variando com o tempo. Essa representação é útil em diversas aplicações práticas.[nota 9] |A(t)|, que é chamado de envelope ou envoltória da modulação, é sempre positivo, o que permite a plotagem de A(t) em escala logarítmica. Evidentemente, |A(t)| = |f(t)|·|g(t)|. Muitas vezes, é desnecessário obter f(t), sendo suficiente conhecer qual é o envelope porque, como |g(t)| em geral é conhecido, fica fácil a partir dele calcular |f(t)|.
O espectro de frequências de um sinal analítico forte só contém frequências positivas. A frequência instantânea pode ser calculada como
Em casos onde uma análise mais profunda de A(t) se faz necessária, aplica-se a transformada de Fourier. Por exemplo, quando A(t) é uma função exponencial com mais de uma constante de amortecimento. Para um exemplo, ver Thrane e outros.[15]
Fasor no domínio da frequência
Podemos escrever o espectro de frequências de um sinal na forma polar G(ω) = A(ω)·eφ(ω), de maneira similar ao que se fez no item anterior com a representação no domínio do tempo. Se a correspondente função de transferência no domínio da frequência complexa for dada por
onde K é uma constante, a1, a2 ... an são os zeros e b1, b2 ... bm são os polos de F(s), pode-se escrevê-la também na forma
onde Fa consiste da constante K e dos zeros e polos cuja parte real é negativa, e Fφ consiste dos demais. Nesse caso, cada polo de Fφ deve ser o conjugado de um dos zeros, ou seja,
A amplitude de Fφ = 1, e esses polos e zeros influenciam apenas a fase de F(s). Fa é frequentemente chamada de componente de mínima fase de F(s). Pode-se demonstrar que, se escrevermos Fa(ω) na forma polar Fa(ω) = Aa(ω)·eφa(ω), então
Transformada discreta de Hilbert
A transformada discreta de Hilbert (DHT, do inglês Discrete Hilbert Transform) aplica-se a funções definidas num espaço discreto como, por exemplo, o conjunto dos números inteiros. Pode-se definir essa transformação como a convolução de uma função qualquer f(t) com o núcleo de Hilbert h(t), com a única diferença de que neste caso trata-se da versão discreta do núcleo de Hilbert. A convolução, em casos práticos, será uma convolução circular, porque apenas um intervalo finito de tempo [t0,t1] reveste-se de interesse; a DHT, como resultado dessa convolução, será sempre uma função periódica, e o período τ será o tamanho desse intervalo: t1 - t0.
Relação com a transformada discreta de Fourier
Podemos estender a transformada discreta de Hilbert partindo-se da transformada discreta de Fourier, que é justamente a extensão da transformada de Fourier para espaços discretos.
Uma transformada integral num espaço discreto consiste numa sequência finita de coeficientes p0, p1, p2, ... pn-1 para os quais existe uma fórmula de cálculo bem definida. Essa sequência será chamada aqui DHT. Também deve existir uma sequência análoga para a transformada inversa. Chamaremos a essa sequência DHT-1. n é o tamanho da amostra.
A transformação é aplicada a uma sequência de valores q0, q1, q2, ... qn-1, que chamaremos aqui de Q. Q, DHT e DFT (do inglês Discrete Hilbert Transform) precisam ter o mesmo tamanho da amostra. Além disso, como autores diferentes adotam convenções diferentes para a transformada discreta de Fourier, é preciso escolher qual delas emprega. Aqui será usada a seguinte versão:
onde fk é uma frequência discreta, um inteiro no intervalo [0,n-1]. O espectro de G(k) resulta periódico, ou seja, G(k) = G(k+in), onde i é um inteiro positivo qualquer. A frequência de G(k) é frequência normalizada ψ, que se situa no intervalo [0,2π]; as componentes situadas no intervalo [0,π] são consideradas como tendo frequência positiva, e aquelas situadas no intervalo [π,2π] são consideradas componentes de frequência negativa.
A fórmula correspondente para a transformada inversa é a seguinte:
.[9]
Cálculo dos coeficientes
Pode-se calcular os coeficientes da DHT de uma das maneiras seguintes: a primeira através da transformada discreta de Fourier,
e a segunda por meio da fórmula direta
onde H é outra sequência, que corresponde ao núcleo de Hilbert em forma discreta, e H-1, sua inversa. Para n par, H(k) é dada por
e para n ímpar, por
Em qualquer caso, vale a fórmula concisa seguinte:
Quanto a H-1, valem as fórmulas seguintes:
Para a transformação inversa, usamos
ou
As expressões (16a) e (16b) são versões discretas das expressões (5) e (6b). As expressões (16b) e (17b) são convoluções discretas, isto é, convoluções num domínio discreto; nessas expressões, H(k-j) e H-1(k-j) são matrizes n x n, pois os elementos dependem de k e de j. As expressões (16a) e (17a) são mais usadas na prática, pois DFT e DFT-1 podem ser calculadas de forma muito eficiente através do algoritmo da Transformada Rápida de Fourier (FFT).[5][3][9]
A tabela abaixo confronta os conceitos envolvidos nas transformações de Hilbert nos domínios contínuo e discreto, para ilustrar as definições acima.
| Conceito | Contínuo | Discreto |
|---|---|---|
| Domínio | ||
| Variável | ||
| Função original | ||
| Função transformada | ||
| Espectro de frequências | ||
| Faixa | ||
| Núcleo da transformação |
A amostragem deve ser feita em intervalos de tempo iguais; chamaremos aqui de ta a esse intervalo de amostragem. A teoria exige que a frequência da amostragem seja feita com uma frequência de pelo menos o dobro da maior frequência presente no sinal de entrada. Em outras palavras, se denotarmos tal frequência por fmax, é preciso que[5]
Núcleo discreto de Hilbert
Para um número de amostras muito grande, pode-se usar a expressão simplificada
que se obtém tomando o limite n → ∞ na expressão (16d). Essa aproximação não funciona bem para valores pequenos de n, porque a convergência do cálculo através da expressão (16b) não é uniforme.[3]
Uma outra fórmula que aparece na literatura é a seguinte:
que é um compromisso entre a expressão exata (16d) e a aproximação mais simples (16e).
No anexo, encontram-se exemplos de derivação de algumas DHTs.
A derivação da transformada de Hilbert por meio da FFT tem o inconveniente de produzir serrilhamento (aliasing). Isso ocorre porque a expressão (16c) é descontínua em k=0, o que implica na existência de frequências infinitas no espectro. O serrilhamento resultante é explicado teoricamente pelo Fenômeno de Gibbs. Uma outra forma de entender esse efeito é lembrar que a FFT é calculada em um intervalo finito τ, por isso exige-se que a função de entrada passe primeiro por um filtro passa-baixas de forma a eliminar as componentes de alta frequência, ou seja, as componentes com período inferior a 2τ; a aplicação de um sinal não devidamente filtrado à FFT inevitavelmente produzirá efeitos espúrios.
Uma maneira é calcular a transformada por meio de um algoritmo de filtro digital. A resposta em frequência ideal do filtro é então definida a partir da equação
e as técnicas usuais são empregadas de forma a obter um filtro com uma resposta o mais próxima possível à ideal. Por meio desta abordagem, obtém-se uma aproximação para û(t) que apresenta ondulações moderadas em torno da descontinuidade. Tais dispositivos são conhecidos, conforme já mencionado acima, como filtros ou transformadores de Hilbert.[4][nota 10]


Propriedades
A DHT possui algumas propriedades idênticas às da Transformada de Hilbert contínua, em particular as seguintes:
- Relação com a transformada inversa
- Linearidade
- Convolução
- Comutatividade com relação à diferenciação
- Invariância
Em outros casos, o comportamento das duas versões da transformada é sensivelmente diferente. A DHT, como se pode perceber a partir da equação (16c), tem sempre o valor 0 para ψ = 0 (k = 0), que corresponde à componente de frequência zero de f(t)/f(k). Além disso, para n par, a componente ψ = π, que corresponde à frequência mais alta presente no espectro, também se anula. Por isso, as densidades espectrais de f(k) e de G(k), obtidas através do teorema de Parseval, não são idênticas no caso geral.[9]
Extensões para outros espaços
Extensão para espaços multidimensionais
A transformada de Hilbert, definida no espaço L2 por meio da equação (1a), pode ser expandida para espaços multidimensionais Ln, com n > 2, da mesma forma que se faz com a transformada de Fourier. Num tal espaço, o domínio deixa de ser um espaço unidimensional e passa a ser um espaço Ln-1. A variável independente x passa a ser uma matriz de n-1 dimensões, que denotaremos por x; as "colunas" de x são os vetores xi, com 1 ≤ i ≤ n-1.
A transformada de Hilbert de dimensão n é dada pela expressão:
onde os símbolos de integrais indicam o valor principal de Cauchy de cada integração. A transformada inversa será dada por
Vemos que a transformação será anti-simétrica para n ímpar e simétrica para n par; a transformada de Hilbert definida pela equação (1a) pode ser considerada um caso especial (n=1) da transformação n-dimensional.
Também é possível definir a transformação através da convolução (multidimensional) com o núcleo de Hilbert de dimensão n; por exemplo, para n = 3
com h3(x) sendo o núcleo de Hilbert de dimensão 3:
Paridade do sinal de entrada
Uma função f(x), com x tendo n dimensões, pode ser decomposta em uma soma de 2n componentes, cada uma sendo uma função par ou uma função ímpar de uma das variáveis de entrada xi, 1 ≤ i ≤ n. Por exemplo, para n = 3
onde fppp é uma função par para as 3 variáveis, fppi é uma função par para as variáveis x1 e x2 e ímpar para a variável x3, e assim por diante. Define-se ainda a distância D(f1,f2) entre duas componentes f1 e f2 como o número de subscritos diferentes na identificação de ambas; por exemplo, D(fppp,fppi) = 1, D(fppp,fipi) = 2, D(fpip,fipi) = 3, D(fiii,fiii) = 0.
Relação com a transformada de Fourier multidimensional
Se denotarmos a transformada de Fourier de dimensão n de uma função f(x) por G(ω), sendo ω uma matriz de n dimensões, vale a seguinte relação
que é a extensão da equação (8a) para n dimensões.
Transformada fracional de Hilbert
A partir da transformada n-dimensional de Hilbert, pode-se definir uma transformada fracional (também chamada transformada parcial de Hilbert), que resulta da aplicação das expressões (19a) ou (19b) a apenas algumas dentre as n variáveis da matriz x. Por exemplo, se n=2, as duas transformadas fracionais bidimensionais de Hilbert possíveis serão dadas por
e
Essas são transformadas fracionais de primeira ordem, porque uma das variáveis foi deixada de fora da transformação. Para n=3, são possíveis 3 transformadas fracionais tridimensionais de Hilbert de primeira ordem e 3 de segunda ordem (em que duas variáveis são deixadas de fora da transformação) e assim por diante.
Funções separáveis
Uma função f(x), de n variáveis, é dita separável se puder ser escrita como o produto de n funções, cada uma dependendo de apenas uma das variáveis. Ou seja, . Para esse tipo de entrada, a transformada de Hilbert exibe também separabilidade, ou seja, . Essa propriedade também é exibida pelas transformadas fracionais de Hilbert de qualquer ordem.
Ortogonalidade
Em geral, a equação (9b) não pode estender-se para n dimensões, ou seja, no caso geral, f(x) e û(x) não são ortogonais. A ortogonalidade, no entanto, se verifica quando f(x) (e, por conseguinte, também û(x) é separável.
Extensão do teorema de Bedrosian
A identidade de Bedrosian, expressa pela equação (10a) pode ser estendida para n=2 pelo teorema de Starck. Seja fMfi a máxima frequência presente em f(x) quando apenas a variável xi varia e a outra permanece constante, e seja fmgi a mínima frequência presente em g(x) nas mesmas condições. Chamemos F(ω) e G(ω) as transformadas de Fourier bidimensionais de f(x) e g(x), respectivamente. Se f e g são tais que fMf1, fMf2, fmg1 e fmg2 são finitas, então F será nula para ω1 > 2πfMf1 e ω2 > 2πfMf2, e G será nula para ω1 < 2πfmg1 e ω2 < 2πfmg2. f(x) será, então, uma função que só contém frequências relativamente baixas, e g(x) será uma função que só contém frequências relativamente altas nos respectivos espectros.
Se fMf1 < fmg1 e fMf2 < fmg2, as funções f e g são ditas fortemente separáveis espectralmente. Neste caso, o suporte de F é disjunto do suporte de G, e pode-se escrever
A condição de fMf1 < fmg1 e fMf2 < fmg2 não é necessária para validade da equação (21b). Como as frequências fMf1, fmg1, fMf2 e fmg2 encontram-se num espaço bidimensional, os suportes de F e G podem ser disjuntos mesmo quando ela não é atendida; nesse caso, f e g são ditas disjuntas espectralmente, e a equação (21b) ainda vale.[9]
Transformadores de Hilbert multidimensionais
As equações (8b) e (8c), que definem o transformador de Hilbert, podem ser estendidas para n dimensões por meio das equações
História do desenvolvimento da teoria
Em 1909, Hardy forneceu a definição da transformada e condições de sua validade. Ele acreditava na época que as fórmulas fossem desconhecidas, mas posteriormente descobriu que Hilbert já as usara pelo menos desde 1904, e então batizou a transformação como Transformada de Hilbert quando escreveu novamente sobre o assunto em 1925. O trabalho deste ano continha alguns erros, o que obrigou Hardy a reescrevê-lo em 1932. Outros trabalhos do mesmo autor nos anos entre 1909 e 1932 trouxeram novos aportes à teoria. O último artigo de Hardy sobre a transformação de Hilbert data de 1937.[16]
Assim, Hardy (1932) é o artigo de referência para a definição original da Transformada de Hilbert.
A motivação original de Hardy era o estudo da Transformada de Fourier e sua aplicação à análise do espaço L2. Ele iniciou essas pesquisas em 1904 e as levou até 1947, investigando também as transformações de Mellin e de Laplace, além do recém-descoberto tema dos núcleos (kernels) da Transformada de Fourier.[16]
Notas
- ↑ Em aplicações de física e engenharia, o termo domínio nessa frase refere-se em geral ao domínio do tempo ou ao domínio da frequência. Em aplicações de matemática, o termo refere-se a algum espaço vetorial, como o conjunto dos números reais, por exemplo.
- ↑ O mapeamento de um domínio para si mesmo recebe o nome de endomorfismo.
- ↑ Diz-se, neste caso, que as funções f(x) e g(x) estão em quadratura.
- ↑ Embora neste verbete se use o termo geral função, tenha-se em mente que, em muitos casos, trata-se de distribuições, ou seja, de funções generalizadas. Um exemplo de distribuição é a conhecidíssima δ(x), a "função" impulso unitário ou delta de Dirac.
- ↑ Thrane (1984) menciona que essa transformada também é conhecida como Transformada de "Berthil" (ing. "Berthil" Transform), mas isso não é confirmado por nenhuma outra fonte consultada.
- ↑ Várias convenções coexistem na literatura para definição da Transformada de Fourier. No entanto, na literatura que trata da Transformada de Hilbert parece existir uma unanimidade em usar a forma conhecida como angular assimétrica, que é a mesma empregada no verbete da Wikipédia em português. Em todo este verbete assume-se que está sendo usada tal forma.
- ↑ Essa condição é necessária, mas não suficiente. Um sistema fisicamente realizável precisa ter outras características, além de ser causal; por exemplo, sua banda passante precisa ser finita.
- ↑ Essa condição é chamada de teorema de Bedrosian, apesar de dever-se, na sua versão mais avançada, a Xu e Yan (2006).
- ↑ Em geral, situações em que a frequência de φ(t) é razoavelmente grande e constante.
- ↑ O "alisamento" de um sinal é um resultado característico da aplicação de uma convolução.
Ver também
Referências
- 1 2 3 4 5 6 7 8 9 Bracewell, R. - The Fourier Transform And Its Applications, 3rd. Edition, New York: McGraw-Hill, 2000, pp. 359-367, ISBN 0-07303-938-1 / ISBN 978-0-0730-3938-1
- 1 2 3 4 5 6 7 Kschischang, F. R. - The Hilbert Transform, disponível em http://www.comm.utoronto.ca/frank/papers/hilbert.pdf, acessado em 06/09/2012
- 1 2 3 4 5 6 B. Zhechev - Hilbert Transform Relations, disponível em http://www.cit.iit.bas.bg/CIT_05/v5-2/3-13.pdf, acessado em 19/09/2012
- 1 2 3 4 5 Liu Y. - Hilbert Transform and Applications in Salih S. (ed.) - Fourier Transform Applications, ISBN: 978-953-51-0518-3, disponível em http://www.intechopen.com/books/fourier-transform-applications/hilbert-transform-and-application Arquivado em 2 de dezembro de 2013, no Wayback Machine., acessado em 22/11/2013
- 1 2 3 4 5 6 Johansson, M. - The Hilbert Transform, disponível em http://w3.msi.vxu.se/exarb/mj_ex.pdf Arquivado em 5 de fevereiro de 2012, no Wayback Machine., acessado em 12/09/2012
- 1 2 N. Thrane - The Hilbert Transform, Brüel & Kjær Technical Review no° 3, 1984, pp. 3 a 15
- ↑ Wolfram MathWorld - Titchmarsh Theorem, http://mathworld.wolfram.com/TitchmarshTheorem.html
- ↑ Wolfram MathWorld - Hilbert Transform, http://mathworld.wolfram.com/HilbertTransform.html
- 1 2 3 4 5 6 7 8 S. Hahn - The Hilbert Transforms in A. Poularikas (org) - The Transforms and Applications Handbook, 2nd. edition, Boca Raton: CRC, 2000, Cap. 7, pp. 563 a 737
- ↑ Bracewell, R. - op. cit., cap. 5, pp. 74-104
- ↑ Bedrosian, E. - A Product Theorem for Hilbert Transforms, disponível em http://www.rand.org/pubs/research_memoranda/2008/RM3439.pdf, acessado em 09/09/2012
- ↑ Venouziou, M. e Zhang H. - Characterizing the Hilbert Transform by the Bedrosian Theorem, disponível em http://home3.sysu.edu.cn/jskx/haizhang/papers/Characterization.pdf, acessado em 08/09/2012
- ↑ Xu Y., Yan D. - The Bedrosian Identity for the Hilbert Transform of Product Functions, disponível em http://www.ams.org/proc/2006-134-09/S0002-9939-06-08315-8/S0002-9939-06-08315-8.pdf, acessado em 08/09/2012
- ↑ Bracewell, R. - op. cit., pag. 372
- ↑ Thrane e outros - Brüel & Kjær Application Note: Practical use of the "Hilbert Transform", disponível em http://www.bksv.com/doc/bo0437.pdf, acessado em 06/09/2012
- 1 2 London Mathematical Society - Collected Papers of G. H. Hardy, volume 7, disponível em https://archive.org/download/CollectedPapersOfG.H.Hardy-Volume7/Lms-CollectedPapersOfGHHardyVolume7.pdf, acessado em 22/11/2013