Reação de formose
A reação da formose foi descoberta por Aleksandr Butlerov[1] e envolve série de condensações do formaldeído a partir do glicolaldeído para formar açúcares com maior número de carbonos, conforme o esquema abaixo. É a única reação que pode ser considerada na síntese abiótica de açúcares.
Reação e mecanismo

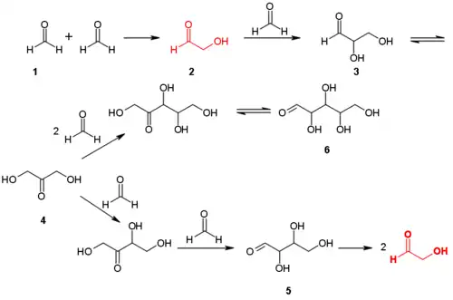
Postula-se que o primeiro passo desta sequência de reações seja a auto-condensação do formaldeído 1 formando glicolaldeído 2, porém esta reação não ocorre em velocidade detectável ou não ocorre de nenhuma forma e não existem evidências sobre a viabilidade da reação, e esse pode ser um ponto de partida para uma investigação. Alguns pesquisadores afirmam que o glicolaldeído estava presentes já no início, citando sua presença no espaço.[2]
Quando o glicolaldeído está disponível, a reação apresenta auto-catálise, ou seja, o produto catalisa a reação do reagente. O glicolaldeído, reage com o formaldeído através de uma condensação aldólica, formando gliceraldeído 3, que pode isomerizar para di-idroxiacetona 4 e tetroses, como a 2-cetotetrose 5, que pode dar uma retro-aldol, formando duas unidades de glicolaldeído, o que dá uma característica de auto-catálise para a reação. Os açúcares de cinco carbonos, como a ribose e seus isômeros 6 são formados por sequências de condensações de formaldeído e isomerizações.
Esta sequência de reações demonstra a importância atribuída ao formaldeído para a síntese de açúcares, um ponto central da tese do “mundo RNA”.[3]
A reação da formose produz diversos carboidratos, de três, quatro,cinco e mais carbonos, e a proporção de ribose nas misturas reacionais é de menos de 1 %. Além de carboidratos, são produzidos outras classes de compostos.i A reação da formose é pouco eficiente como rota sintética, operando em pH alcalino e requer concentrações altas de formaldeído, uma condição realmente difícil de obter,especialmente considerando todas as reações concorrentes.[4]
Formose x Cannizzarro

A menor estabilidade do formaldeído em relação a outros compostos de carbono-hidrogênio-oxigênio já foi demonstrada anteriormente, assim como a tendência do formaldeído à desproporcionação em meio básico, através da reação de Cannizzaro. Uma comparação entre as reações do formaldeído em meio básico mostra que a desproporcionação pela reação de Cannizzaro é mais rápida do que a reação da formose.[5]

Este não é o único problema da reação de formose para a síntese de açúcares. As reações entre os produtos da formose com formaldeído (Cannizzaro cruzada) são mais rápidas do que as reações de prolongamento da cadeia. Experimentos com glicolaldeído, gliceraldeído e 1,3-diidroxiacetona com formaldeído e NaOH por 30 min a 29o C foi hidroximetil glicerol e não hidroximetil gliceraldeído.[6]
Limitações da reação de formose

Um problema recorrente é a formação de um resíduo escuro e insolúvel após algumas horas de reação, semelhante a asfalto,[7] e os experimentos evitam este problema parando a reação após algumas horas, o que seria inviável nos primórdios da Terra. Os açúcares são pouco estáveis em soluções ácidas ou básicas, levando a diversas reações de eliminação e polimerização,[8][9] e mesmo em soluções neutras a ribose mostrou-se pouco estável e sua degradação aumenta com a temperatura.

Por exemplo, a meia vida da ribose a 100o C é de 73 min e 300 dias a 25o C em condições praticamente neutras.[10] Em pH de 8,2 (oceano atual), a velocidade de decomposição aumenta em cerca de 50%. Contudo os dados de decomposição de açúcares não aparecem nos livros sobre abiogênese. Esta não é a única objeção séria sobre a formação de açúcares a partir do formaldeído e especialmente à síntese da ribose. A reação de Maillard entre açúcares e aminoácidos ocorre de forma irreversível nas mesmas condições, formando heterociclos como o furfural a partir de pentoses (ex: ribose) e 5-hidroximetilfurfural a partir de hexoses (ex: glicose).
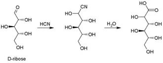
A hipótese que HCN estivesse presente nas condições pré-bióticas se constitui em um problema frente a reatividade de aldoses, como a ribose e a glicose, que reagem com baixas concentrações de HCN (reação de Kiliani), resultando em ácidos carboxílicos de massa maior.
Referências
- ↑ Cleaves, Henderson James (2011). «Formose Reaction». Berlin, Heidelberg: Springer Berlin Heidelberg: 600–605. ISBN 978-3-642-11271-3
- ↑ Hollis, J. M.; Lovas, F. J.; Jewell, P. R. (10 de setembro de 2000). «Interstellar Glycolaldehyde: The First Sugar». The Astrophysical Journal. 540 (2): L107–L110. ISSN 0004-637X. doi:10.1086/312881
- ↑ Weber, Arthur L. (outubro de 2004). «Kinetics of Organic Transformations under Mild Aqueous Conditions: Implications for the Origin of Life and its Metabolism». Origins of Life and Evolution of the Biosphere. 34 (5): 473–495. ISSN 0169-6149. doi:10.1023/b:orig.0000043128.30559.fe
- ↑ Cleaves II, H. James (30 de julho de 2008). «The prebiotic geochemistry of formaldehyde». Precambrian Research. 164 (3-4): 111–118. ISSN 0301-9268. doi:10.1016/j.precamres.2008.04.002
- ↑ Tipson, R. Stuart; Horton, Derek (1974). «Preface». Elsevier: x–xi. ISBN 978-0-12-007229-3
- ↑ «Abstracts of Meeting Papers». Clinical Chemistry. 17 (7): 632–669. 1 de julho de 1971. ISSN 0009-9147. doi:10.1093/clinchem/17.7.632
- ↑ Evans, Wm. Lloyd. (dezembro de 1942). «Some Less Familiar Aspects of Carbohydrate Chemistry.». Chemical Reviews. 31 (3): 537–560. ISSN 0009-2665. doi:10.1021/cr60100a002
- ↑ Shapiro, Robert (março de 1988). «Prebiotic ribose synthesis: A critical analysis». Origins of Life and Evolution of the Biosphere. 18 (1-2): 71–85. ISSN 0169-6149. doi:10.1007/bf01808782
- ↑ Joyce, G. F.; Schwartz, A. W.; Miller, S. L.; Orgel, L. E. (1 de julho de 1987). «The case for an ancestral genetic system involving simple analogues of the nucleotides.». Proceedings of the National Academy of Sciences. 84 (13): 4398–4402. ISSN 0027-8424. doi:10.1073/pnas.84.13.4398
- ↑ Larralde, R.; Robertson, M. P.; Miller, S. L. (29 de agosto de 1995). «Rates of decomposition of ribose and other sugars: implications for chemical evolution.». Proceedings of the National Academy of Sciences. 92 (18): 8158–8160. ISSN 0027-8424. doi:10.1073/pnas.92.18.8158