Reação de Cannizzaro

A reação de Cannizzaro é uma reação química que envolve a desproporcionação induzida por bases de duas moléculas de um aldeído não enolizável para dar um álcool primário e um ácido carboxílico.[1]
O nome vem do químico Stanislao Cannizzaro, que obteve álcool benzílico e benzoato de potássio a partir do tratamento de benzaldeído com carbonato de potássio, em 1853.[2]
A reação mais comum utiliza hidróxido de sódio ou hidróxido de potássio, resultando no carboxilato respectivo e no álcool correspondente.
Mecanismo da reação

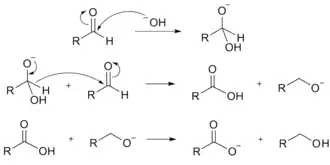
O mecanismo mais aceito inicia pela adição de hidróxido sobre o aldeído resultando em um alcoxi-diol vicinal. Este intermediário transfere hidreto para outra molécula de aldeído e resulta no ácido carboxílico. A molécula de álcool que recebe o hidreto forma o alcóxido correspondente, que resulta no álcool após capturar um próton do solvente.
No geral, a reação segue uma cinética de terceira ordem.[1] É de segunda ordem no aldeído e de primeira ordem na base:
velocidade = k [RCHO] 2 [OH−]
Utilização
Devido às condições de reação fortemente alcalinas, os aldeídos que têm átomo (s) alfa de hidrogênio sofrem desprotonação, levando a enolatos e possíveis reações ao aldol. Sob condições ideais, a reação produz apenas 50% do álcool e do ácido carboxílico (são necessários dois aldeídos para produzir um ácido e um álcool). Para evitar os baixos rendimentos, é mais comum realizar a reação cruzada de Cannizzaro, na qual um aldeído sacrificial é usado em combinação com um produto químico mais valioso. Nesta variação, o redutor é o formaldeído, que é oxidado em formato de sódio e o outro produto químico aldeído é reduzido ao álcool. Nesse cenário, cada um dos dois aldeídos separados pode ser convertido completamente em seu produto correspondente, em vez de perder 50% de um único reagente para cada um dos dois produtos diferentes. Assim, o rendimento do produto químico valioso é alto, embora a economia de átomos ainda seja baixa.[3] A reação de Cannizzaro compete com a reação da formose para a síntese de açúcares.
- 1 2 Geissman, T. A. (15 de março de 2011). John Wiley & Sons, Inc., ed. «The Cannizzaro Reaction». Hoboken, NJ, USA: John Wiley & Sons, Inc. (em inglês): 94–113. ISBN 978-0-471-26418-7. doi:10.1002/0471264180.or002.03
- ↑ Cannizzaro, S. (1853). «Ueber den der Benzoësäure entsprechenden Alkohol». Annalen der Chemie und Pharmacie (em alemão). 88 (1): 129–130. doi:10.1002/jlac.18530880114
- ↑ Wilson, W. C. (28 de abril de 2003). «2-Furancarboxylic Acid and 2-Furylcarbinol». Hoboken, NJ, USA: John Wiley & Sons, Inc. Organic Syntheses: 44–44. ISBN 0-471-26422-9