Oxazol
Oxazol | |||||||||||
|---|---|---|---|---|---|---|---|---|---|---|---|
![]() | |||||||||||
| Nomes | |||||||||||
| Nome IUPAC | 1,3-oxazola | ||||||||||
| |||||||||||
| |||||||||||
| |||||||||||
| Página de dados suplementares | |||||||||||
| Estrutura e propriedades | n, εr, etc. | ||||||||||
| Dados termodinâmicos | Phase behaviour Solid, liquid, gas | ||||||||||
| Dados espectrais | UV, IV, RMN, EM | ||||||||||
| Exceto onde denotado, os dados referem-se a materiais sob condições normais de temperatura e pressão. Referências e avisos gerais sobre esta caixa. Alerta sobre risco à saúde. | |||||||||||
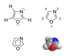
Oxazol é um composto orgânico uma vasta família de compostos heterocíclicos aromáticos. São os azóis com um átomo de oxigênio e um átomo de nitrogênio separados por um átomo de carbono.[1] Oxazóis são compostos aromáticos mas menos que os tiazóis. Oxazol é uma base fraca; seu ácido conjugado tem um pKa de 0,8, comparado a 7 para o imidazol.
Referências
- ↑ Heterocyclic Chemistry TL Gilchrist, The Bath press 1985 ISBN 0-582-01421-2
