Condensação de Dieckmann
A condensação de Dieckmann[1][2][3] é uma reação química intramolecular de um composto orgânico que conta com dois grupos éster em presença de base para dar um β-ceto-éster.[4][5]. Recebe este nome devido ao químico alemão Walter Dieckmann (1869–1925). É o equivalente intramolecular da condensação de Claisen.
A formação de anéis de 5 ou 6 átomos de carbono é mais favorável.
Mecanismo de reação
O hidrogênio ácido entre os dois grupos carbonila é deprotonado na etapa quatro. Protonação com um ácido de Brønsted-Lowry (H3O+ por exemplo) forma novamente o β-ceto éster.[6] Esta estapa de deprotonação é a força condutora desta reação.

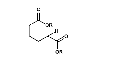
Mecanismo de reação da condensação de Dieckmann para o exemplo dado.
Devido à estabilidade estérica das estruturas de cinco e seis membros, estes irão ser formados preferencialmente. 1,4- e 1,6 diésteres irão formar β-ceto ésteres cíclicos de cinco membros, enquanto 1,5- e 1,7 diésteres irão formar β-ceto ésteres de seis membros.[7]
|
| animação |
Referências
- ↑ Dieckmann, W. Ber. 1894, 27, 102 & 965
- ↑ Dieckmann, W. Ber. 1900, 33, 595 & 2670
- ↑ Dieckmann, W. Ann. 1901, 317, 51 & 93
- ↑ Schaefer, J. P.; Bloomfield, J. J. Org. React. 1967, 15, 1-203. (Review)
- ↑ Davis, B. R.; Garrett, P. J. Comp. Org. Syn. 1991, 2, 806-829. (Review)
- ↑ Janice Gorzynski Smith. Organic Chemistry: Second Ed. 2008. pp 932-933.
- ↑ Organic-Chemistry.org. Dieckmann Condensation. https://www.organic-chemistry.org/namedreactions/dieckmann-condensation.shtm
