Carbonila

Em química orgânica, carbonila (português brasileiro) ou carbonilo (português europeu) é um grupo funcional constituído de um átomo de carbono e um de oxigênio, ligados por ligação dupla, que entra na composição de aldeídos, cetonas, ácidos carboxílicos, ésteres, haletos ácidos e amidas.
A palavra carbonilo pode referir-se também ao monóxido de carbono como ligante em um complexo inorgânico ou organometálico (e.g. níquel carbonilo); neste caso, o carbono tem uma ligação dupla com o oxigênio.
Um grupo carbonilo caracteriza os tipos seguintes de compostos (-CO quer dizer um grupo carbonilo):
| Composto | Estrutura | Fórmula |
|---|---|---|
| Aldeído |
|
RCHO |
| Cetona |
|
RCOR' |
| Ácido carboxílico | RCOOH | |
| Éster | RCOOR' | |
| Amida |
|
RCONR'R" |
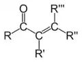
| Enona |
|
RCOC(R')=CR"R"' |
| Cloreto de ácido |
|
RCOCl |
| Anidrido | (RCO)2O |
A reatividade
O oxigênio é mais eletronegativo que o carbono, então atrai a densidade de elétrons do carbono para aumentar a polaridade da ligação. Então, o carbono carbonilo se torna mais eletrofílico, o que aumenta sua reatividade com os nucleófilos.
Os grupos carbonilos podem ser reduzidos pelos reativos hidretos como NaBH4 e LiAlH4, e pelos reativos organometálicos como os reativos organolítios e os reativos de Grignard.
As outras reações importantes deste grupo incluem:
- Redução de Wolff-Kishner
- Redução de Clemmensen
- Conversão em tioacetais
- Hidratação aos hemiacetais e aos hemicetais, e logo aos acetais e aos cetais
- Reação com o amoníaco e com as aminas primárias, produzindo iminas
- Reação com os hidroxilaminas, produzindo oximas
- Reação com o ânion cianeto, produzindo cianidrinas
- Oxidação com as oxaziridinas, produzindo α-hidroxicetonas (ou α-hidroxialdeídos).
- Reação com o reativo de Tebbe ou com um reativo de Wittig, produzindo alquenos.
- Reação de Perkin
- Reação de Tischenko
- A condensação aldólica, produzindo compostos β-hidroxicarbonilos e logo compostos carbonilos α,β-insaturados.
- A reação de Cannizzaro, produzindo álcoois e ácidos carboxílicos
Compostos carbonilos α,β-insaturados
Os compostos carbonilos α,β-insaturados são uma classe importante dos compostos carbonilos com a estrutura geral Cβ=Cα−C=O. Nestes compostos o grupo carbonilo é conjugado com um alqueno, e deste vem algumas propriedades especiais. Alguns exemplos de compostos carbonilos α,β-insaturados são a acroleína, o óxido de mesitila, o ácido acrílico, e o ácido maleico. Os compostos carbonilos insaturados podem preparar-se no laboratório também pela reação aldólica ou pela reação de Perkin.
O grupo carbonilo, seja aldeído ou ácido, se tem removidos os elétrons do alqueno, e então o grupo alqueno em um composto carbonil insaturado é desativado até um electrófilo como o bromo ou o cloreto de hidrogênio. Como regra geral, com os eletrófilos assimétricos, o hidrogênio se agrega à posição α em uma adição eletrofílica.
Por outra parte, estes compostos são ativados até os nucleófilos na adição nucleofílica.
Espectroscopia
- Espectroscopia infravermelha: a ligação dupla C=O absorve a luz infravermelha dos comprimentos de onda aproximadamente entre 1680–1750 cm−1. Esta zona de absorção se chama o "estiramento carbonilo" quando se vê em um espectro de absorção infravermelha.
- Ressonância magnética nuclear: a ligação dupla C=O mostra ressonâncias diferentes, dependendo dos átomos vizinhos.
- Espectroscopia de massa.
Outros compostos carbonilos orgânicos
- Ureia
- Carbamatos
Compostos carbonilos inorgânicos
- Dióxido de carbono
- Fosgênio
Referências
- William Reusch. (2004) Aldehydes and Ketones[ligação inativa] Retrieved 23 May 2005. (em inglês)
- ILPI. (2005) The MSDS Hyperglossary- Anhydride.
Bibliografia
- L.G. Wade, Jr. Organic Chemistry, 5th ed. Prentice Hall, 2002. ISBN 013033832X
- The Frostburg State University Chemistry Department. Organic Chemistry Help (2000).
- Advanced Chemistry Development, Inc. IUPAC Nomenclature of Organic Chemistry (1997).
- William Reusch. VirtualText of Organic Chemistry (2004).




