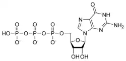
Trifosfato de guanosina
Trifosfato de guanosina
| |||||||
|---|---|---|---|---|---|---|---|
![]() | |||||||
| Nomes | |||||||
| Outros nomes | guanosina-5'-trifosfato, 9-β-D-ribofuranosilguanina-5'-trifosfato, 9-β-D-ribofuranosil-2-amino-6-oxo-purina-5'-trifosfato | ||||||
| |||||||
| |||||||
| |||||||
| Página de dados suplementares | |||||||
| Estrutura e propriedades | n, εr, etc. | ||||||
| Dados termodinâmicos | Phase behaviour Solid, liquid, gas | ||||||
| Dados espectrais | UV, IV, RMN, EM | ||||||
| Exceto onde denotado, os dados referem-se a materiais sob condições normais de temperatura e pressão. Referências e avisos gerais sobre esta caixa. Alerta sobre risco à saúde. | |||||||
Trifosfato de guanosina, também conhecido como guanosina trifosfato ou GTP é uma purina. Pode atuar como substrato para a síntese do RNA durante o processo de transcrição ou de DNA durante a replicação.
É uma molécula de "transporte de energia", na forma de potencial de transferência de grupos fosfato, assim como o ATP. É usado como fonte de energia para a síntese de proteínas e na gliconeogênese.
GTP é essencial para a transmissão de sinais, especialmente com proteínas-G, em mecanismos mensageiros secundários onde é convertido a guanosina difosfato (GDP) pela ação de GTPases. O GTP atua, nesse sentido, no transporte de macromoléculas pelos poros nucleares, ligando-se ao receptor de transporte nuclear. Essa ação permite a liberação de macromoléculas, geralmente proteínas, no núcleo. Na continuidade do ciclo, o receptor de transporte volta ao citosol para ser reutilizado, onde GTP é hidrolisado em GDP, liberando fosfato e o sítio de ligação da proteína.
