Guanosina difosfato
Guanosina difosfato
| |||||||||
|---|---|---|---|---|---|---|---|---|---|
![]() | |||||||||
| |||||||||
| |||||||||
| |||||||||
| Página de dados suplementares | |||||||||
| Estrutura e propriedades | n, εr, etc. | ||||||||
| Dados termodinâmicos | Phase behaviour Solid, liquid, gas | ||||||||
| Dados espectrais | UV, IV, RMN, EM | ||||||||
| Exceto onde denotado, os dados referem-se a materiais sob condições normais de temperatura e pressão. Referências e avisos gerais sobre esta caixa. Alerta sobre risco à saúde. | |||||||||
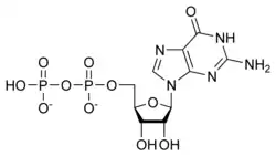
Guanosina difosfato é o produto da defosforilação da guanosina trifosfato por GTPases, proteínas G envolvidas na transdução de sinais[1]
Referências
- ↑ David L. Nelson, Michael M. Cox Lehninger Principles of Biochemistry. — 4. — W. H. Freeman, 2004. — 1100 с.
