Paralogismo
Um paralogismo (do grego antigo παραλογισμός, palavra composta do prefixo παρά- pará, expressando oposição ou desvio, e λογισμός, logismós, 'raciocínio: 'falso raciocínio',[1]) é um argumento ou raciocínio falaz, ou seja, falso, embora possa ter a forma de um silogismo e a aparência de verdade. Para alguns, o paralogismo é um tipo de sofisma; para outros, não é, pois entendem que sofisma é um raciocínio que simula estar de acordo com as regras da lógica, com a finalidade de produzir a ilusão da verdade e iludir o antagonista, enquanto o paralogismo é um raciocínio falso que se estabelece involuntariamente, não de má fé, isto é, não intencionalmente produzido para enganar.[2][3]
Para Aristóteles, o paralogismo é como qualquer falso silogismo, isto é, como qualquer raciocínio errado quanto à forma, em razão da presença de um termo médio (termo comum às duas premissas) não unívoco, cujo significado é diferente em cada uma das premissas.[1][4] Assim, Aristóteles refere-se ao paralogismo como um raciocínio incorreto, apoiado em pressupostos não verdadeiros; nasce do erro, de uma "falha de definição". Não se trata, portanto, de contrafação ou deformação da racionalidade.[5][6]
Na filosofia kantiana, paralogismos transcendentais são os raciocínios errôneos aos quais a razão é induzida quando ultrapassa os limites da experiência, entrando nas contradições da dialética. Para Kant, o paralogismo consiste na transferência indevida da função transcendental para o plano da realidade empírica.[7]

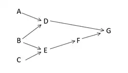
Exemplo esquemático para explicar o que é um Paralogismo: Suponhamos que temos uma teoria matemática (ou outra) onde foram deduzidas um conjunto de propriedades, numa sequência como a que está no esquema. Por exemplo, sabemos que a propriedade G depende de todas as anteriores, que a propriedade F não depende de A, mas que surgiu na sequência de B, C e E:
- O José numa aula vai demonstrar a propriedade E e encontra uma forma fácil de a demonstrar à custa da propriedade G. Aí o Bruno dirá: isso é um paralogismo.
(darei mais tarde um exemplo concreto e frequente). Jmegsalazar 21h30min de 8 de fevereiro de 2021 (UTC)
Referências
- ↑ a b (em italiano) Vocabolario Treccani: paralogismo
- ↑ Ferrater Mora, José. Dicionário de Filosofia: "paralogismo"
- ↑ Dicionário Houaiss: 'sofisma' e 'paralogismo'.
- ↑ Breve Resumo das Regras do Silogismo Aristotélico. Por Paulo Margutti.
- ↑ Berti, Enrico.As Razões de Aristóteles. Loyola, 1998, p. 27.
- ↑ Aristóteles. Tópicos. Livro I. In Aristóteles. Volume I; seleção de textos de José Américo Motta Pessanha; tradução de Leonel Vallandro e Gerd Bornheim da versão inglesa de W.A. Pickard. São Paulo: Nova Cultural, 1987.
- ↑ (em italiano) Paralogismo. Por Guido Calogero. Enciclopedia Italiana (1935)]