Modelo oculto de Markov

x — estados y — possíveis observações a — probabilidades de transição de estado b — probabilidades de saídas
Um modelo oculto de Markov (ou modelo escondido de Markov) é um modelo estatístico em que o sistema modelado é assumido como um processo de Markov com parâmetros desconhecidos, e o desafio é determinar os parâmetros ocultos a partir dos parâmetros observáveis. Os parâmetros extraídos do modelo podem então ser usados para realizar novas análises, por exemplo para aplicações de reconhecimento de padrões.
Em um modelo regular de Markov, o estado é diretamente visível ao observador, e portanto os únicos parâmetros usados são as probabilidades de transição de estado. Cada estado possui uma distribuição de probabilidade sobre os possíveis resultados.
Esse tipo de modelo é conhecido por sua aplicação na área de reconhecimento de padrões temporais como a fala, a escrita, os gestos e a bioinformática.
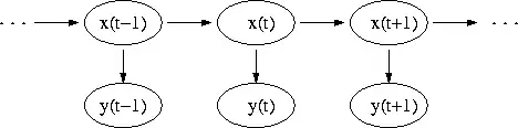
Arquitetura
O diagrama abaixo mostra a arquitetura geral de um modelo oculto de Markov. Cada elemento oval representa uma variável aleatória que pode adotar um conjunto de valores. A variável aleatória é o estado escondido no instante de tempo (de acordo com o modelo do diagrama acima, ). A variável aleatória é a observação no instante de tempo (). As setas do diagrama indicam as dependências condicionais.
A partir do diagrama pode-se concluir que o valor da variável oculta (no instante de tempo ) depende exclusivamente do valor da variável escondida (no instante de tempo ), o que é chamado de propriedade de Markov. Da mesma forma, o valor da variável observada depende exclusivamente do valor da variável escondida (ambas no instante de tempo ).

Bibliotecas
- Biblioteca em C com interface em Python disponivel com licença LGPL. http://www.ghmm.org Em falta ou vazio
|título=(ajuda)