Haloalcano

Os haloalcanos, também conhecidos como haletos de alquila (português brasileiro) ou halogenetos de alquilo (português europeu) apresentam uma ligação entre um carbono alifático e um átomo de halogênio (família 17 da tabela periódica) e para efeitos de classificação de função química, são derivados de alcanos

Vários grupos de haloalcanos são conhecidos sob as mais diversas denominações comerciais, destacando-se principalmente os CFCs ou clorofluorcarbonos que ganharam certo destaque na imprensa em virtude de seu impacto negativo sobre o ambiente, no que tange ao comprometimento da integridade da ozonosfera.

São principalmente empregados como solventes orgânicos, intermediários químicos e como propelentes em aerossóis e extintores de incêndio.

Orgânicos bromados em biologia variam de brometo de metilo produzido biologicamente a aromáticos não-alcanos e insaturados (indois, terpenos, acetogeninas e fenóis).[1] [2] Haloalcanos são de grande interesse, porque eles são comuns e têm diversos efeitos benéficos e prejudiciais. Dos oceanos estima-se que são liberadas anualmente 1-2 milhões de toneladas de bromometano.[3] Um grande número de produtos farmacêuticos contêm halogêneos, especialmente flúor. Cerca de um quinto dos produtos farmacêuticos contêm fluoretos, incluindo vários dos fármacos mais amplamente utilizados.[4]


Nomenclatura

A regra IUPAC para dar o nome aos haloalcanos considera a cadeia principal como um alcano e o átomo de halogênio como um radical, indicando a posição na cadeia com um número. Assim o ClCH2CH2CH3 é 1-cloropropano

O nome usual considera a molécula como um haleto de alquila e para o nome considera o radical ligado ao halogênio. A molécula anterior seria o cloreto de propila.

Propriedades Físicas

A presença do halogênio na cadeia carbônica altera as propriedades físicas e químicas, quando comparados aos alcanos. A ligação C-X (X = halogênio) é polar, pela maior eletronegatividade do halogênio frente ao carbono, o que resulta em um momento dipolo magnético dos haloalcanos. O ponto de fusão e ebulição dos compostos monohalogenados é maior do que os hidrocarbonetos com o mesmo número de carbonos, porém o efeito maior é resultado do aumento da massa molecular. A ordem de ponto de ebulição é Portanto, a ordem é: R-I> R-Br> R-Cl> R-F. Porém muitos fluoroalcanos, no entanto, contrariam essa tendência e têm pontos de fusão e ebulição mais baixos do que seus análogos não fluorados e uma explicação é a forte repulsão intermolecular devido à alta densidade eletrônica dos pares de elétrons livres.

Os pontos de ebulição dos haloalcanos isoméricos diminuem com o aumento da ramificação. Este efeito é atribuído à diminuição da área superficial molecular, o que diminui as interações de forças de Van der Waals.

Propriedades Químicas

Os haloalcanos são muito utilizados em reações de substituição nucleofílica, em que um grupo alquil é transferido de uma molécula para outra, resultando na construção de novas ligações carbono-carbono, nitrogênio-carbono e oxigênio-carbono.

Alguns exemplos são a síntese de éteres (síntese de Williamson) a partir de álcoois e haletos de alquilas, a alquilação de aminas e a síntese malônica.

síntese de Williamson
alquilação de amina
alquilação do malonato


Síntese

As principais rotas de síntese de haletos de alquila são a substituição radicalar sobre alcanos e a adição de H-X ou X2 em alcenos e a substituição nucleofílica em álcoois.

A partir de alcanos

Os alcanos reagem com halogênios por halogenação por radicais livres. Nesta reação, um átomo de hidrogênio é removido do alcano e, em seguida, substituído por um átomo de halogênio pela reação com uma molécula de halogênio diatômica. O intermediário reativo nesta reação é um radical livre e a reação é chamada de reação em cadeia radical.

A halogenação de radicais livres normalmente produz uma mistura de compostos mono- ou multi-halogenados em várias posições. É possível prever os resultados de uma reação de halogenação com base nas energias de dissociação de ligação e nas estabilidades relativas dos intermediários radicais, principalmente na bromação radicalar. Na reação com cloro, a probabilidade de reação em cada átomo de carbono, do ponto de vista estatístico também é um fator operante. A reação com flúor é muito exotérmica e pode resultar em explosão. Além disso, é gerado HF na reação, que é extremamente corrosivo.

Devido à diferença no ponto de ebulição dos compostos mono e dihalogenados é possível separá-los por destilação.

A partir de alcenos

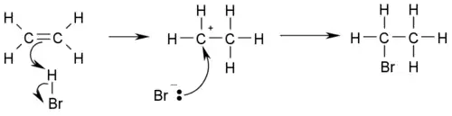
Na hidrohalogenação, um alceno reage com um halogeneto de hidrogênio seco (HX) como cloreto de hidrogênio (HCl) ou brometo de hidrogênio (HBr) para formar um mono-haloalcano. A regra de Markovnikov estabeleceu que o halogênio se liga ao carbono mais substituído. Se a reação for realizada em água, normalmente resulta em uma halohidrina, que contém o halogênio e um -OH em carbonos vicinais e por isso a reação é realizada em um solvente inerte, como CCl4 ou em fase gasosa. A reação dos alcinos é semelhante, sendo o produto um di-halogeneto geminal; mais uma vez, a regra de Markovnikov é seguida.

adição de HBr a alceno

Os alcenos também reagem com halogênios (X2) para formar haloalcanos com dois átomos de halogênio vizinhos em uma reação de adição de halogênio. Os alcinos reagem de maneira semelhante, formando os compostos tetra-halo. Às vezes, isso é conhecido como "descoloração" do halogênio, uma vez que o Br2 é colorido e o produto geralmente é incolor e inodoro.

A partir de álcoois

Os álcoois (R-=OH) sofrem reação de substituição nucleofílica por ácido halogênio para dar haloalcanos. O alcanol terciário reage diretamente com o ácido clorídrico para produzir coloroalcano terciário (cloreto de alquila), mas se for usado álcool primário ou secundário, é necessário um ativador como o cloreto de zinco. Essa reação é explorada no teste de Lucas.

A conversão mais popular é realizada pela reação do álcool com cloreto de tionila (SOCl2) na "halogenação de Darzens", que é um dos métodos laboratoriais mais convenientes, porque os subprodutos são gasosos. Tanto o pentacloreto de fósforo (PCl5) e tricloreto de fósforo (PCl3) também converte o grupo hidroxila em cloreto.

reação de Darzens


Os álcoois também podem ser convertidos em bromoalcanos usando ácido bromídrico ou tribrometo de fósforo (PBr3). Uma quantidade catalítica de PBr3 pode ser usado para a transformação usando fósforo e bromo; PBr3 é formado in situ.

Similarmente, os iodoalcanos podem ser preparados usando fósforo vermelho e iodo (equivalente ao triiodeto de fósforo). A reação de Appel também é útil para a preparação de halogenetos de alquila. O reagente é tetra-halometano e trifenilfosfina; os coprodutos são halofórmio e óxido de trifenilfosfina.

Aspectos Gerais

Os haloalcanos são compostos químicos derivados dos alcanos pela substituição de um ou mais átomos de hidrogênio por igual número de átomos de halogênio. A reação de substituição pode ocorrer com flúor, cloro, bromo ou iodo e resulta em fluoralcanos, cloroalcanos, bromoalcanos e iodoalcanos (oneto de aquila) respectivamente.

A halogenação cruzada também é possível sendo que o melhor exemplo corresponde aos clorofluorcarbonos (CFC) onde se destaca principalmente o freon, denominação geral aplicada a esses grupos de compostos e que é marca registrada das indústrias DuPont.

Nomenclatura e tabela geral dos nomes

Segue a tabela de nomes e códigos de CFC e HFC

Nomenclatura CFC (HCFC) ou Freons
Algarismo 1 Algarismo 2 Algarismo 3 NOTA
nº de C - 1 nº de H + 1 nº de F O nº de Cloros é obtido pela diferença
Exemplo: CFC 12 : constituido por um C, nenhum H e dois F CFC 115: constituido por dois C, nenhum H e cinco F HCFC 122: constituido por dois C, um H e dois F
Visão geral dos haloalcanos
Esta tabela apresenta os haloalcanos em geral ou os mais conhecidos. A lista inclui produtos comerciais assim como produtos de laboratório.
Nome sistemático Nome trivial ou comum Código Fórmula química
Halometanos
Clorometano Cloreto metílico CH3Cl
Diclorometano Cloro metileno CH2Cl2
Triclorometano Clorofórmio CHCl3
Tetraclorometano Tetracloreto de carbono, Freon 10 CFC-10 CCl4
Tetrafluorometano Tetrafluoreto de carbono, Freon 14 CFC-14 CF4
Triclorofluorometano Freon-11, R-11 CFC-11 CCl3F
Diclorodifluorometano Freon-12, R-12 CFC-12 CCl2F2
Clorotrifluorometano CFC-13 CClF3
Clorodifluorometano R-22 HCFC-22 CHClF2
Trifluorometano Fluofórmio HFC-23 CHF3
Clorofluorometano Freon 31 CH2ClF
Difluorometano HFC-32 CH2F2
Fluorometano Fluoreto metílico HFC-41 CH3F
Dibromometano Brometo de metileno CH2Br2
Tribromometano Bromofórmio CHBr3
Bromoclorometano Halon 1011 CH2BrCl
Bromoclorodifluorometano BCF, Halon 1211 BCF, ou Freon 12B1 Halon 1211 CBrClF2
Bromotrifluorometano BTM, Halon 1301 BTM, ou Freon 13BI Halon 1301 CBrF3
Trifluoroiodometano Iodato de trifluorometileno Freon 13T1 CF3I
Haloetanos
1,1,1-Tricloroetano Clorofórmio metílico, tri Cl3C-CH3
Hexacloroetano CFC-110 C2Cl6
1,1,2-Tricloro-1,2,2-trifluoroetano Triclorotrifluoroetano CFC-113 Cl2FC-CClF2
1,1,1-Tricloro-2,2,2-trifluoroetano CFC-113a Cl3C-CF3
1,2-Diclorotetrafluoroetano Diclorotetrafluoroetano CFC-114 ClF2C-CClF2
1-Cloro-1,1,2,2,2-pentafluoroetano Cloropentafluoroetano CFC-115 ClF2C-CF3
2-Cloro-1,1,1,2-tetrafluoroetano HFC-124 CHF2CF3
1,1,2,2,2-pentafluoroetano Pentafluoroetano HFC-125 CHF2CF3
1,1,2,2-Tetrafluoroetano HFC-134 F2HC-CHF2
1,1,1,2-Tetrafluoroetano R-134a HFC-134a, Suva-134a F3C-CH2F
1,1-Dicloro-1-fluoroetano HCFC-141b Cl2FC-CH3
1-Cloro-1,1-difluoroetano HCFC-142b ClF2C-CH3
1,2-Dicloroetano Dicloreto de etileno Freon 150 ClH2C-CH2Cl
1,1-Dicloroetano Dicloreto de etileno Freon 150a Cl2HC-CH3
1,1-Difluoroetano HFC-152a F2HC-CH3
Haloalcanos longos, polímeros
1,1,1,2,3,3,3-Heptafluoropropano HFC-227ea, FE-227, FM-200 F3C-CHF-CF3
Decafluorobutano Perfluorobutano R610, PFB, CEA-410 F3C-CF2-CF2-CF3
Policloroeteno Cloreto polivinílico, PVC -[CHCl-CH2]x-
Politetrafluoroetileno Politetrafluoroetileno,
PTFE, Teflon
-[CF2-CF2]x-


Referências

  1. Butler, Alison; Catter-Facklin, Jayen M. (2004). «The role of vanadium bromoperoxidase in the biosynthesis of halogenated marine natural products». Natural Product Reports. 21 (1): 180–188. PMID 15039842. doi:10.1039/b302337k 
  2. PMID 19363038 Review of vanadium-dependent bromoperoxidases in nature
  3. Gordon W. Gribble (1998). «Naturally Occurring Organohalogen Compounds». Acc. Chem. Res. 31 (3): 141–152. doi:10.1021/ar9701777 
  4. Ann M. Thayer “Fabulous Fluorine” Chemical and Engineering News, June 5, 2006, Volume 84, pp. 15-24. http://pubs.acs.org/cen/coverstory/84/8423cover1.html