Fenestrano
Um fenestrano em química orgânica é um tipo de composto químico com um carbono central quartenário que serve como um ligante comum a quatro carbociclos [1] . Eles podem ser considferados como um spiro-composto duplo. Por causa da inerente tensão e instabilidade, fenestranos são de interesse puramente teórico para os químicos. O nome, proposto em 1972 por Vlasios Georgian e Martin Saltzman, é derivado da palavra em latim para janela: fenestra.
![Fenstranes, da esquerda para a direita: fenestranos genéricos [4,4,4,4] fenestranos exibindo átomos de carbono [5,5,5,5]](./_assets_/0c70a452f799bfe840676ee341124611/Fenestranes.png)
O menor membro da família consiste de quatro anéis de ciclopropano conjugados, e tem o nome de [3,3,3,3] fenestrano, ou piramidano. O próximo membro do grupo é composto por quatro ciclobutanos que se unem em forma de janela, chamado de [4,4,4,4] fenestrano. Os nomes vulgares dos fenestranos podem ser dados apenas contando o número carbonos que formam os anéis que compõe o composto.
Um dos fenestranos mais tensionado que foi de fato isolado é o [4,4,4,5] fenestrano, com ângulos de ligação em torno do átomo central de aproximadamente 130º, baseado em observações por difração de raios X.
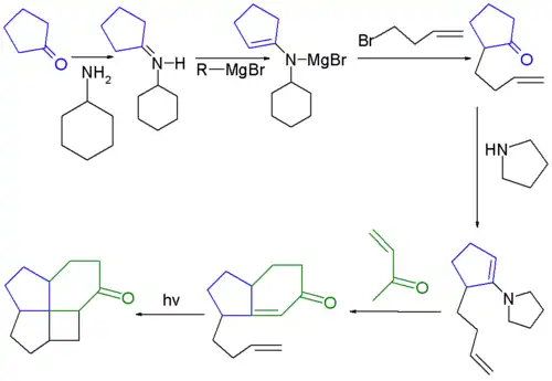
O primeiro fenestrano sintetizado em laboratório é o [4,5,5,6] fenestrano [2] , cuja síntese está mostrada abaixo:

Referências
- ↑ Fenestranes and the flattening of tetrahedral carbon Bhaskar Rao Venepalli and William C. Agosta Chem. Rev.; 1987; 87(2) pp 399 - 410; doi:10.1021/cr00078a007
- ↑ O primeiro passo nessas sequência de reações é uma adaptação da Alquilação da Enamina de Stork, que reage ciclopentanona com 3-bromo-1-buteno através de um derivado de imina com pirrolidina, e formando um sal de magnésio com bromido de magnésio etílico. O próximo passo é uma reação de Enamida de Stork comum, seguida por uma condensação aldólica, formando o anel ciclohexenona. O passo final é uma [2+2]cicloadição fotolítica.