Distribuição Kumaraswamy
Função densidade de probabilidade ![]() Função densidade de probabilidade Gráfico da função de densidade de probabilidade da distribuição Kumaraswamy, variando , e | |
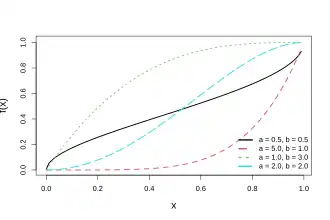
Função de distribuição cumulativa ![]() Função de distribuição acumulada Gráfico da acumulada da distribuição Kumaraswamy, variando , e | |
| Parâmetros | , Número real; , Número real |
|---|---|
| Suporte | |
| FDP | |
| FDA | |
| Média | |
| Mediana | |
| Moda | para |
| Variância | , ver função geradora de momentos. |
| Obliquidade | Obtida a partir da função geradora de momentos. |
| Curtose | Obtida a partir da função geradora de momentos. |
| Entropia | |
| Função Geradora de Momentos | |
| Função Característica | Indefinida |
Em probabilidade e estatística, a distribuição Kumaraswamy é uma família de distribuições de probabilidade contínuas definidas no intervalo (0,1). Ela uma alternativa à Distribuição beta, porém possui uma forma mais simples para a função densidade de probabilidade, função de distribuição acumulada e função quantílica, as quais podem ser expressas em forma fechada. Essa distribuição foi originalmente proposta por Poondi Kumaraswamy[1] para variáveis que possuem limites inferior e superior, com inflação em zero. No primeiro artigo sobre a distribuição, o limite inferior natural de zero para a precipitação foi modelado usando uma probabilidade discreta, já que a precipitação em muitos lugares, especialmente nos trópicos, tem uma probabilidade significativamente diferente de zero. Essa probabilidade discreta é agora chamada de inflação em zero. Isso foi posteriormente estendido para inflações em ambos os extremos [0,1] no trabalho de Fletcher e Ponnambalam.[2] Um bom exemplo de inflações nos extremos são as probabilidades de reservatórios estarem completamente cheios ou completamente vazios, o que é importante para o projeto de reservatórios.
Definições
Função densidade de probabilidade
A função densidade de probabilidade da distribuição Kumaraswamy desconsiderando inflação é:
Em que e são parâmetros de forma positivos.
Função distribuição acumulada
A função distribuição acumulada da Kumaraswamy é dada por:
Essa forma fechada possue vantagem computacional em relação à distribuição Beta, cuja função distribuição acumulada envolve funções especiais para poderem ser calculadas.
Função Quantílica
A função distribuição acumulada inversa (função quantílica) da distribuição é dada por:
Generalizando para um suporte de intervalo arbitrário
Na sua forma mais simples, a distribuição tem suporte em (0,1). Em uma forma mais geral, a variável normalizada x é substituída pela variável z não deslocada nem redimensionada, onde:
Propriedades
Momentos
O m-ésimo momento bruto de X é dado por:[3][4]
em que B é a função beta e Γ(.) denota função Gama. A média, variância, assimetria e curtose podem ser calculadas por esses momentos brutos. Por exemplo, a média de X é dada por
- ,
e a variância de X é dada por
A entropia da distribuição é[5]:
Onde é o número harmônico.
Estimação de parâmetros
Para a estimação dos parâmetros da distribuição Kumaraswamy. O método de máxima verossimilhança é o mais utilizado. A função de log-verossimilhança da distribuição Kumaraswamy, dada uma amostra , é:
As expressões explícitas da função escore, que são derivadas a partir da log-verossimilhança em relação aos parâmetros do modelo, ela serão expressas como:
e
Os componentes para a matriz de informação de Fisher, baseada na expectativa da segunda derivada da log-verossimilhança, serão:
A matriz de informação de Fisher é então:
Utilizada para obter os erros-padrão dos estimadores e construir intervalos de confiança assintóticos.
Relação com a distribuição Beta
A distribuição Kumaraswamy possue uma relação forte com a Distribuição beta.[6] Elas compartilha características com a distribuição Beta: ambas são definidas no intervalo aberto "(0,1)" e tem dois parâmetros de forma positivos. Porém há aspectos que os diferenciam, com a distribuição Beta não tendo uma forma fechada simples. A distribuição Beta tem uma função de distribuição acumulada expressa pela função Beta incompleta regularizada.
em que é a função Beta incompleta regularizada, cuja inversa não possui forma fechada analítica, dificultando o cálculo de quantis e simulações. Enquanto a função de distribuição acumulada da Kumaraswamy é:
Tendo uma função quantílica definida por:
Isso faz com que a distribuição Kumaraswamy tenha vantagem em contextos que exigem eficiência computacional, como geração de variáveis aleatórias, simulações estatísticas e algoritmos de aprendizado de máquina. Mais especificamente, assuma que Xa,b é uma variável aleatória com distribuição Kumaraswamy com parâmetros a e b. Então Xa,b é a raiz a-ésima de uma variável aleatória adequadamente definida com distribuição Beta. Formalmente, com Y1,b denotando uma variável aleatória com distribuição Beta com parâmetros and . Então existirá a relação entre Xa,b e Y1,b.
com igualdade em distribuição.
Se pode introduzir distribuições Kumaraswamy generalizadas considerando variáveis aleatórias na forma , com , onde é uma variável aleatória com distribuição Beta e parâmetros e . Os momentos brutos dessa distribuição Kumaraswamy generalizada é dado por:
Note que se pode reobter os momentos originais usando , e .
Distribuições relacionadas
- Se então (Distribuição uniforme)
- Se então [6]
- Se (Distribuição beta) então
- Se (Distribuição beta) então
- Se então
- Se então
- Se então
- Se então
- Se então , a distribuição beta generalizada de primeiro tipo.
- Se então (Distribuição Kumaraswamy modificada).
Aplicações
Um exemplo de uso para distribuição Kumaraswamy é o volume de armazenamento de um reservatório com capacidade z em que o limite superior é zmax e o limite inferior é 0. Que é um exemplo natural para duas inflações, já que vários reservatórios tem probabilidades não negativas para situações onde os reservatórios estão vazios ou cheios.[2]
Ver também
Referências
- ↑ Kumaraswamy, P. (1980). «A generalized probability density function for double-bounded random processes». Journal of Hydrology. 46 (1–2): 79–88. Bibcode:1980JHyd...46...79K. ISSN 0022-1694. doi:10.1016/0022-1694(80)90036-0
- ↑ a b Fletcher, S.G.; Ponnambalam, K. (1996). «Estimation of reservoir yield and storage distribution using moments analysis». Journal of Hydrology. 182 (1–4): 259–275. Bibcode:1996JHyd..182..259F. ISSN 0022-1694. doi:10.1016/0022-1694(95)02946-x
- ↑ Lemonte, Artur J. (2011). «Improved point estimation for the Kumaraswamy distribution». Journal of Statistical Computation and Simulation. 81 (12): 1971–1982. ISSN 0094-9655. doi:10.1080/00949655.2010.511621
- ↑ CRIBARI-NETO, FRANCISCO; SANTOS, JÉSSICA (2019). «Inflated Kumaraswamy distributions» (PDF). Anais da Academia Brasileira de Ciências. 91 (2): e20180955. ISSN 1678-2690. PMID 31141016. doi:10.1590/0001-3765201920180955
- ↑ Michalowicz, Joseph Victor; Nichols, Jonathan M.; Bucholtz, Frank (2013). Handbook of Differential Entropy. [S.l.]: Chapman and Hall/CRC. p. 100. ISBN 9781466583177
- ↑ a b Jones, M.C. (2009). «Kumaraswamy's distribution: A beta-type distribution with some tractability advantages». Statistical Methodology. 6 (1): 70–81. ISSN 1572-3127. doi:10.1016/j.stamet.2008.04.001

