Carbonila

Grupo carbonila

Em química orgânica, carbonila (português brasileiro) ou carbonilo (português europeu) é um grupo funcional constituído de um átomo de carbono e um de oxigênio, ligados por ligação dupla, que entra na composição de aldeídos, cetonas, ácidos carboxílicos, ésteres, haletos ácidos e amidas.

A palavra carbonilo pode referir-se também ao monóxido de carbono como ligante em um complexo inorgânico ou organometálico (e.g. níquel carbonilo); neste caso, o carbono tem uma ligação dupla com o oxigênio.

Um grupo carbonilo caracteriza os tipos seguintes de compostos (-CO quer dizer um grupo carbonilo):

Composto Estrutura Fórmula
Aldeído Aldeído RCHO
Cetona Cetona RCOR'
Ácido carboxílico Ácido carboxílico RCOOH
Éster Éster RCOOR'
Amida Amida RCONR'R"
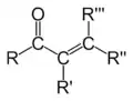
Enona Enona RCOC(R')=CR"R"'
Cloreto de ácido Cloreto de acila RCOCl
Anidrido Anidrido (RCO)2O

A reatividade

O oxigênio é mais eletronegativo que o carbono, então atrai a densidade de elétrons do carbono para aumentar a polaridade da ligação. Então, o carbono carbonilo se torna mais eletrofílico, o que aumenta sua reatividade com os nucleófilos.

Os grupos carbonilos podem ser reduzidos pelos reativos hidretos como NaBH4 e LiAlH4, e pelos reativos organometálicos como os reativos organolítios e os reativos de Grignard.

As outras reações importantes deste grupo incluem:

Compostos carbonilos α,β-insaturados

Os compostos carbonilos α,β-insaturados são uma classe importante dos compostos carbonilos com a estrutura geral Cβ=Cα−C=O. Nestes compostos o grupo carbonilo é conjugado com um alqueno, e deste vem algumas propriedades especiais. Alguns exemplos de compostos carbonilos α,β-insaturados são a acroleína, o óxido de mesitila, o ácido acrílico, e o ácido maleico. Os compostos carbonilos insaturados podem preparar-se no laboratório também pela reação aldólica ou pela reação de Perkin.

O grupo carbonilo, seja aldeído ou ácido, se tem removidos os elétrons do alqueno, e então o grupo alqueno em um composto carbonil insaturado é desativado até um electrófilo como o bromo ou o cloreto de hidrogênio. Como regra geral, com os eletrófilos assimétricos, o hidrogênio se agrega à posição α em uma adição eletrofílica.

Por outra parte, estes compostos são ativados até os nucleófilos na adição nucleofílica.

Espectroscopia

Outros compostos carbonilos orgânicos

Compostos carbonilos inorgânicos

Referências

Bibliografia