Benzeno em refrigerantes
Benzeno em refrigerantes é a ocorrência de benzeno em refrigerantes, ele demanda certa atenção devido à natureza carcinogênica da molécula de benzeno.[1][2] Esta contaminação é um problema de saúde pública e tem causado manifestações importantes entre os defensores do meio ambiente e da saúde.[3] Os níveis de benzeno são regulamentados na água potável nacional e internacionalmente, e na água engarrafada nos Estados Unidos,[4] mas não há regulamentação formal em refrigerantes. O benzeno se forma a partir da descarboxilação do conservante ácido benzóico na presença de ácido ascórbico (vitamina C) e íons metálicos (ferro e cobre) que atuam como catalisadores, especialmente sob calor e luz. Várias autoridades estabeleceram limites para o teor de benzeno na água potável. A Organização Mundial da Saúde (OMS), por exemplo, estabelece o limite de 10 ppb (10 microgramas por quilograma) de benzeno na água potável (a OMS observa que o benzeno deve ser evitado sempre que tecnicamente viável).
Formação em refrigerantes
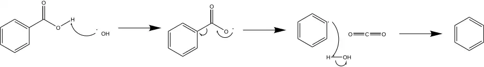
A maior causa da formação do benzeno é a descarboxilação do ácido benzóico na presença de ácido ascórbico (vitamina C, E300) ou ácido eritórbico (um Diastereoisômero do ácido ascórbico, E315). Ácido benzoico é frequentemente adicionado a bebidas como conservante, na forma de seus sais benzoato de sódio (E211), benzoato de potássio (E212) ou benzoato de cálcio (E213).[5] Não se considera que o ácido cítrico cause produção de benzeno significante quando combinado com o ácido benzóico, mas existem estudos que indicam o ácido cítrico como catalisador da formação de benzeno, na presença de ácido ascórbico ou eritórbico. O mecanismo da reação começa com a transferência de hidrogênios para um radical hidroxila do meio (produzidas pela redução do pelo ácido ascórbico.[5]

Outros fatores que aumentam a formação de benzeno são luz e calor. Armazenar refrigerantes em ambientes quentes aumenta a velocidade da formação de benzeno.
Etilenodiaminotetracetato (EDTA) de cálcio dissódico e açucares mostraram-se inibidores da produção de benzeno em refrigerantes.[6]
O Conselho Internacional de Associações de Bebidas (ICBA) produz materiais para prevenir ou minimizar a formação de benzeno.[7]
Limites padronizados para água potável
Várias autoridades limitaram a quantidade de benzeno em água potável. Os limites seguintes são dados em partes por bilhão ().
- Organização Mundial da Saúde (OMS): 10ppb (a OMS considera que o benzeno deve ser evitado sempre que possível).
- Coreia do Sul: 10ppb
- Canadá: 5ppb
- EUA: 5ppb[6]
- UE: 1ppb
Exposição do meio ao benzeno
A questão do benzeno em refrigerantes deve ser analisada no contexto de outras exposições ao meio. No pior exemplo já registrado de um refrigerante contendo ppb (partes por bilhão) de benzeno, alguém que bebesse uma lata de teria ingerido (microgramas ) de benzeno, quase o equivalente à quantidade inalada por um motorista abastecendo o carro por três minutos. Ainda que existam alternativas ao uso de benzoato de sódio como conservantes, é improvável que o consumo cotidiano de tais bebidas representem um risco significativo à saúde para um indivíduo.
A Agência Britânica de Padrões Alimentares constatou que uma pessoa precisaria ingerir pelo menos 20 litros de bebidas contendo benzeno a todos os dias para igualar as quantidades inaladas pela respiração do ar nas cidades.[8] A exposição individual diária ao benzeno é determinado somando a exposição por todas as fontes a seguir:
- Ar: um estudo europeu descobriu que as pessoas inspiram de benzeno todos os dias devido à poluição atmosférica.[9][10] A exposição diária média por atividades relacionadas ao automobilismo é de e por dirigir por uma hora é de .[8]
- Fumar: para fumantes, tabagismo é a principal fonte de exposição ao benzeno. Estima-se que um cigarro libera dentre a de benzeno no ambiente.[9] e ques os fumantes sejam expostos a de benzeno por dia.[8]
- Alimentação e ingestão de água: por dia.[8]
Referências
- ↑ «Overview of Leukemia - Blood Disorders». Merck Manuals Consumer Version (em inglês). Consultado em 4 de novembro de 2021
- ↑ Bard, Denis; Kihal, Wahida; Schillinger, Charles; Fermanian, Christophe; Ségala, Claire; Glorion, Sophie; Arveiler, Dominique; Weber, Christiane (16 de junho de 2014). «Traffic-Related Air Pollution and the Onset of Myocardial Infarction: Disclosing Benzene as a Trigger? A Small-Area Case-Crossover Study». PLoS ONE (6): e100307. ISSN 1932-6203. PMC 4059738
. PMID 24932584. doi:10.1371/journal.pone.0100307. Consultado em 4 de novembro de 2021
- ↑ Smith, Martyn T. (1 de março de 2010). «Advances in Understanding Benzene Health Effects and Susceptibility». Annual Review of Public Health (1): 133–148. ISSN 0163-7525. PMID 20070208. doi:10.1146/annurev.publhealth.012809.103646. Consultado em 4 de novembro de 2021
- ↑ «Wayback Machine» (PDF). web.archive.org. 10 de março de 2003. Consultado em 4 de novembro de 2021
- ↑ a b Gardner, Lalita K.; Lawrence, Glen D. (maio de 1993). «Benzene production from decarboxylation of benzoic acid in the presence of ascorbic acid and a transition-metal catalyst». Journal of Agricultural and Food Chemistry (em inglês) (5): 693–695. ISSN 0021-8561. doi:10.1021/jf00029a001. Consultado em 4 de novembro de 2021
- ↑ a b «US FDA/CFSAN - Questions and Answers on the Occurrence of Benzene in Soft Drinks and Other Beverages». web.archive.org. 26 de março de 2008. Consultado em 4 de novembro de 2021
- ↑ Chang, Pi-Chou; Ku, Ken (14 de julho de 2020). «Studies on Benzene Formation in Beverages». Journal of Food and Drug Analysis (4). ISSN 2224-6614. doi:10.38212/2224-6614.3076. Consultado em 4 de novembro de 2021
- ↑ a b c d «Benzene in flavoured beverages». www.foodstandards.gov.au. Abril de 2013. Consultado em 4 de novembro de 2021
- ↑ a b «Introduction - Benzene Survey 2006 | Surveillance | Monitoring | Monitoring and Enforcement | The Food Safety Authority of Ireland». www.fsai.ie. Consultado em 4 de novembro de 2021
- ↑ Kotzias. Bruinen de Bruin. Kephalopoulos, Dimitrios. Yuri. Stylianos (26 de abril de 2005). «HEXPOC -- human exposure characterization of chemical substances - Quantification of exposure routes». Consultado em 4 de novembro de 2021