Acetato de polivinila
Acetato de Polivinilo
| |||||||||
|---|---|---|---|---|---|---|---|---|---|
![]() | |||||||||
| Nomes | |||||||||
| Nome IUPAC | butan-2-yl acetate | ||||||||
| Outros nomes | PVAc, PVA | ||||||||
| |||||||||
| |||||||||
| |||||||||
| Página de dados suplementares | |||||||||
| Estrutura e propriedades | n, εr, etc. | ||||||||
| Dados termodinâmicos | Phase behaviour Solid, liquid, gas | ||||||||
| Dados espectrais | UV, IV, RMN, EM | ||||||||
| Exceto onde denotado, os dados referem-se a materiais sob condições normais de temperatura e pressão. Referências e avisos gerais sobre esta caixa. Alerta sobre risco à saúde. | |||||||||
Poli(acetato de vinila) PVAc (português brasileiro) ou Acetato de Polivinilo (português europeu)[1] é um polímero sintético, termoplástico, insípido e inodoro[2] da família dos ésteres polivinílicos. Por isso, é muito utilizado na indústria para a produção de cola de madeira, tinta, materiais de construção, etc. Ele é preparado pela polimerização do acetato de vinila. Além disso, ele é o usado para produzir o Poli(álcool polivinílico) PVA, pois não é viável produzir o PVA a partir do seu monômero, que é instável[3]. Ele foi descoberto na Alemanha pelo Dr. Fritz Klatte em 1912.
O PVAc é vendido como uma emulsão em água, como um adesivo para materiais porosos, como a madeira. De fato, é muito usado para colar derivados da madeira. A "cola branca" ou cola escolar e a "cola amarela" pode ser usada para colar madeira, como isolante, como aditivo para cal,[4] ou como recobrimento protector alimentar para o tratamento externo durante a maturação dos queijos.[5] Experimentalmente tenta-se a incorporação de PVAc em argamassas.[6]
Histórico
O PVAc foi patenteado por um químico alemão chamado Fritz Klatte em 1912[7].
Klatte queria obter uma resina sólida a partir da polimerização do cloro acetato de vinila (C4H5ClO2), mas a reação formou o PVAc, o poli(álcool vinílico) PVA e o poli(vinil butiral) PVB[8]. Somente em 1920, na Alemanha, iniciou-se a produção de PVAc para fins comerciais[8].
Propriedades
O PVAc possui as seguintes características:
- Amorfo[2]
- Termoplástico[2]
- Neutro[2]
- Insípido[2]
- Inodoro[2]
- Atóxico[2]
- Índice de Refração igual a 1,47[2]
- Densidade de 1,19 g.cm^-3 a 20ºC[2]
- Absorção de água de 3%[2]
- Adesivo [3]
- Temperatura de transição vítrea de 28 a 31ºC[2]
- Ponto de Amolecimento de 35 a 50ºC[2]
Somente o PVAc atático e o amorfo são disponibilizados comercialmente[3].
Reação de Síntese do PVAc
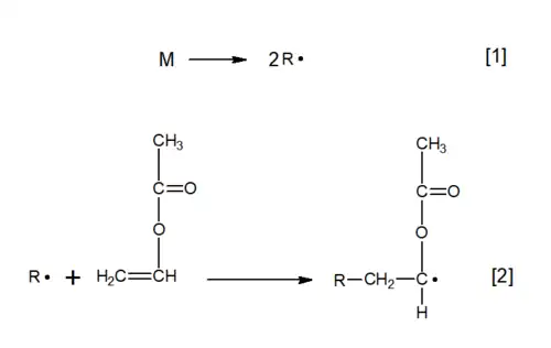
A reação mais importante de síntese do PVAc é a polimerização por adição iniciada por radicais livres em que o reagente é o acetato de vinila (VA)[3]. A reação de polimerização por adição iniciada por radicais livres é dividida em três etapas: iniciação, propagação e terminação[2].
Iniciação
Na etapa de iniciação, há a clivagem da ligação covalente que forma os radicais[2] [Eq. 1]. os radicais são adicionados à dupla ligação do acetato de vinila, o que forma novos radicais[2] [Eq. 2].

Propagação
Na etapa de propagação, os monômeros têm suas moléculas atacadas pelos radicais poliméricos[2]. O radical polimérico ataca as duplas ligações dos monômeros. Consequentemente, ocorre o crescimento da cadeia polimérica e as reações de transferência de cadeia[2] [Eq. 3]. Nesta etapa, há o crescimento da massa molar do polímeros[2].

Terminação
Na etapa de terminação, as reações de combinação [Eq. 4] e de desproporcionamento [Eq. 5] podem ocorrer e o radical polimérico crescente encontra outros radicais[2].

Técnicas de Polimerização do PVAc
Polimerização em massa
Nesta técnica, é necessário o monômero, um iniciador e, dependendo do caso, um agente de transferência para controlar a massa molar[2]. A vantagem dessa técnica é a pureza e alta massa molar do polímero resultante[2]. Essa técnica, porém, tem como desvantagem ser fortemente exotérmica, difícil dissipação calor, difícil controle de temperatura e a necessidade de grande energia de ativação[2].
Polimerização em solução
Na polimerização em solução, o monômero, o catalisador e o solvente são misturados formando uma solução que reaja sem aquecimento ou resfriamento[3]. A vantagens dessa técnica seria a melhor transferência de calor devido à baixa viscosidade do polímero resultante[3]. No entanto, essa técnica tem desvantagens como a baixa massa molar, difícil remoção do solvente e baixa conversão do monômero[2].
Polimerização por emulsão
Na polimerização por emulsão, adiciona-se o monômero, o surfactante, o iniciador solúvel em água e o agente de transferência[3]. As vantagens dessa técnica seria a alta dissipação de calor, formação de polímeros com alta massa molar e alto rendimento[3]. Uma das desvantagens é o aumento de custo para separar o polímero da fase aquosa [2].
Aplicações
O PVAc é muito empregado na forma de dispersão em água[9] para produzir a cola de madeira e tinta látex[2]. A cola de madeira pode ser utilizada com a finalidade de se fazer home repair para consertos em pequenos objetos e pequenas reformas em casa. A tintas látex têm grandes vantagens para quem faz home repair, pois elas são estáveis, secam rapidamente e têm um custo relativamente baixo[3]. Por ser atóxico, o PVAc não é nocivo para o homem. Assim, é adequado para o uso casual.
Outra aplicação importante muito presente no cotidiano seria o uso do PVAc como um dos componentes para produzir o chiclete[2]. O PVAc também é utilizado melhorar materiais de construção[2]. A emulsão de PVAc misturada com o cimento Portland aumenta a sua resistência mecânica[2]. O PVAc, além disso, é usado para dar mais consistência para tecidos de algodão e fibras sintéticas[2]. As emulsões de PVAc também podiam ser usadas para conferir mais tenacidade e flexibilidade para os revestimentos de papel[2].
Reciclagem
Como já mencionado, o PVAc faz parte da composição do chiclete, o qual é muitas vezes descartado de maneira inadequada, piora a aparência dos espaços públicos e pode ser um risco para a vida dos animais. Surgiram, então, maneiras para se reciclar o chiclete, como construir estátuas[10] e produzir tênis a partir de pedaços de chiclete coletados nas ruas[11].
Ligações externas
Referências
- ↑ «Acetato de polivinilo - Arquivo da FEUP». biblioteca.fe.up.pt. Consultado em 16 de julho de 2016
- ↑ a b c d e f g h i j k l m n o p q r s t u v w x y z aa ab ac ad Mesquita, Andrea Cercan. (2002). Estudo da polimerização do acetato de vinila utilizando a radiação ionizante. [S.l.: s.n.] OCLC 55921128
- ↑ a b c d e f g h i Ebewele, Robert Oboigbaotor. (2000). Polymer science and technology. [S.l.]: CRC Press. ISBN 9781420057805. OCLC 940850088
- ↑ «Fixador de cal» (PDF). Consultado em 24 de julho de 2016
- ↑ «Derplast E-PRO; Tecnilac». tecnilac.pt. Consultado em 16 de julho de 2016
- ↑ Carvalho, Pedro J. (2012). «Betões e Argamassas Modificados com Incorporação de PVA» (PDF). Universidade do Minho; Escola de Engenharia. Consultado em 16 de julho de 2016
- ↑ «Das Reichs-Versicherungsamt». Berlin, Heidelberg: Springer Berlin Heidelberg. 1910: 5–28. ISBN 9783662243688
- ↑ a b Amann, Manfred; Minge, Oliver (2011). «Biodegradability of Poly(vinyl acetate) and Related Polymers». Berlin, Heidelberg: Springer Berlin Heidelberg: 137–172. ISBN 9783642271533
- ↑ Magrini, Alessandra. (2012). Impactos ambientais causados pelos plásticos : uma discussão abrangente sobre os mitos e os dados científicos. [S.l.]: E-papers. ISBN 9788576503415. OCLC 829945031
- ↑ Santos Souza, Josimara Pereira; De Moraes, Silmara Martins; Dode, Adilza Condessa (26 de julho de 2017). «ESTUDO DAS POSSIBILIDADES DE RECICLAGEM DA GOMA DE MASCAR: ESTUDO DE CASO NO CENTRO UNIVERSITÁRIO METODISTA IZABELA HENDRIX (CEUNIH), BELO HORIZONTE, MG». Revista Eletrônica de Gestão e Tecnologias Ambientais. 5 (1). 1 páginas. ISSN 2317-563X. doi:10.9771/gesta.v5i1.16888
- ↑ Clack, Erin E.; Clack, Erin E. (25 de abril de 2018). «These Sneakers Are Made From Old Chewing Gum Scraped from Amsterdam's Streets». Footwear News (em inglês). Consultado em 14 de julho de 2019
