Álcool coniferílico
Álcool coniferílico
| |||||||||||||||
|---|---|---|---|---|---|---|---|---|---|---|---|---|---|---|---|
![]() | |||||||||||||||
| Nomes | |||||||||||||||
| Nome IUPAC | 4-(3-hidroxi-1-propenil)- 2-metoxifenol | ||||||||||||||
| Outros nomes | álcool 4-hidroxi-3-metoxicinamílico Coniferol | ||||||||||||||
| |||||||||||||||
| |||||||||||||||
| |||||||||||||||
| Página de dados suplementares | |||||||||||||||
| Estrutura e propriedades | n, εr, etc. | ||||||||||||||
| Dados termodinâmicos | Phase behaviour Solid, liquid, gas | ||||||||||||||
| Dados espectrais | UV, IV, RMN, EM | ||||||||||||||
| Exceto onde denotado, os dados referem-se a materiais sob condições normais de temperatura e pressão. Referências e avisos gerais sobre esta caixa. Alerta sobre risco à saúde. | |||||||||||||||
Álcool coniferílico ou coniferol é um composto orgânico. Este sólido cristalino incolor é um fitoquímico, um dos monolignóis. É sintetizado via a rota bioquímica dos fenilpropanoides. Quando copolimerizado com compostos aromáticos relacionados, o álcool coniferílico forma lignina ou lignanos.[1] Coniferina é um glicosídeo do álcool coniferílico.
O álcool coniferílico é um intermediário na biossíntese de eugenol e dos estilbenoides e da cumarina. A resina de benjoim contém significativa quantidade de álcool coniferílico e seus ésteres.
É encontrado tanto em plantas gimnospermas quanto angiospermas. Álcool sinapílico e álcool cumarílico, os outros dois monômeros da lignina, são encontrados em plantas angiospermas e capins. É também um feromônio de comitiva de rainha (QRP, do inglês queen retinue pheromone), um tipo de feromônios de abelha melífera encontrado nas glândulas mandibulares.[2]
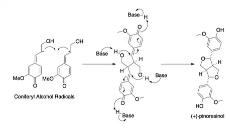
Biossíntese do pinorresinol
A primeira proteína dirigente foi descoberta na espécie Forsythia intermedia. Verificou-se que esta proteína dirigia a biossíntese estereosseletiva do (+)-pinorresinol e dos monômeros do álcool coniferílico.[3] Recentemente, uma segunda proteína dirigente apresentando complementaridade enantiomérica foi identificada em Arabidopsis thaliana, dirigindo a síntese enantiosseletiva do (-)-pinorresinol.[4]
Referências
- ↑ Kenji liyama, Thi Bach-Tuyet Lam, and Bruce A. Stone (1994). «Covalent Cross-Links in the Cell Wall». Plant Physiology. 104 (2): 315–320. PMC 159201
. PMID 12232082
- ↑ Keeling, C. I., Slessor, K. N., Higo, H. A. and Winston, M. L. (2003) Isolation and identification of new components of the honey bee (Apis mellifera L.) queen retinue pheromone. PNAS, April 15, 2003 vol. 100 no. 8 4486-4491, doi:10.1073/pnas.0836984100
- ↑ Davin LB, Wang HB, Crowell AL,; et al. (1997). «Stereoselective bimolecular phenoxy radical coupling by an auxiliary (dirigent) protein without an active center». Science. 275 (5298): 362–6. PMID 8994027. doi:10.1126/science.275.5298.362
- ↑ Pickel B, Constantin M-A, Pfannsteil J, Conrad J, Beifuss U, Schaffer A (2007). «An Enantiocomplementary Dirigent Protein for the Enantioselective Laccase-Catalyzed Oxidative Coupling of Phenols». Angewandte Chemistry. 53 (4): 273–284. doi:10.1007/s10086-007-0892-x
