Poliuretano


Poliuretano (sigla PU) é um polímero que compreende uma cadeia de unidades orgânicas unidas por ligações uretânicas. É amplamente usado em espumas rígidas e flexíveis, em elastômeros duráveis e em adesivos de alto desempenho, em selantes, em fibras, vedações, gaxetas, preservativos, carpetes, peças de plástico rígido e tintas.
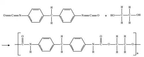
Poliuretanos tem este nome porque são formados por unidades de uretano, ou carbamato[1].
História
A criação dos poliuretanos é atribuída ao químico industrial alemão Otto Bayer (1902–1982), que descobriu a reação de policondensação de isocianatos e polióis[2]. O produto foi inicialmente desenvolvido como um substituto da borracha, no início da Segunda Guerra Mundial[2].
Produção



A principal reação de produção de poliuretanos tem como reagentes um diisocianato, disponível nas formas alifáticas ou aromáticas, e um diol (como o etileno glicol, 1,4 butanodiol, dietileno glicol, glicerol)[1] ou um poliol poliéster, na presença de catalisador e de materiais para o controle da estrutura das células (surfactantes), no caso de espumas e tintas. Quando, na reação de polimerização, o diol é substituído por uma diamina, obtém-se uma poliureia, porque a unidade básica torna-se uma ureia e não um carbamato[1].
O poliuretano pode ter uma variedade de densidades e de durezas, que mudam de acordo com o tipo de monômero usado e de acordo com a adição ou não de substâncias modificadoras de propriedades. Os aditivos também podem melhorar a resistência à combustão, a estabilidade química, entre outras propriedades.
Embora as propriedades do poliuretano possam ser determinadas principalmente pela escolha do poliol, o diisocianato também exerce alguma influência. A taxa de cura é influenciada pela reatividade do grupo funcional, e a funcionalidade, pelo número de grupos isocianato. As propriedades mecânicas são influenciadas pela funcionalidade e pela forma da molécula. A escolha do diisocianato também afeta a estabilidade do poliuretano à exposição a luz. Os poliuretanos feitos com diisocianatos aromáticos amarelam-se à exposição a luz, enquanto que aqueles feitos com diisocianatos alifáticos são estáveis.
Surgem poliuretanos mais macios, elásticos e flexíveis quando segmentos de polietilenoglicol difuncionais lineares, normalmente chamados de polióis poliéter, são usados nas ligações uretânicas. Esta estratégia é usada para se fazer fibras elastoméricas similares ao spandex (comercializado pela DuPont com o nome Lycra[1] e peças de borracha macia, assim como espuma de borracha.
Produtos mais rígidos surgem com o uso de polióis polifuncionais, já que estes criam uma estrutura tridimensional emaranhada. Pode-se obter uma espuma ainda mais rígida com o uso de catalisadores de trimerização, que criam estruturas cíclicas no interior da matriz da espuma. São designadas de espumas de poliisocianurato, e são desejáveis nos produtos de espuma rígida usados na construção civil.
A espuma de poliuretano (inclusive a espuma de borracha) é geralmente feita com a adição de pequenas quantidades de materiais voláteis, chamados de agentes de sopro, à mistura reacional. Tais materiais podem ser substâncias químicas voláteis e simples, como a acetona ou o cloreto de metileno, ou fluorocarbonetos mais sofisticados, que conferem características importantes de desempenho, primariamente a isolação térmica.
Outra rota comum de se produzir espumas é pela adição de água a um dos líquidos precursores do poliuretano antes que sejam misturados. A água então reage com uma porção do isocianato, dando dióxido de carbono, formando bolhas relativamente uniformes que, com o endurecimento do polímero, formam uma espuma sólida. A presença de água significa que uma pequena parcela das reações resultam em ligações ureia do tipo , em lugar das ligações uretânicas, de forma que o material resultante deveria ser tecnicamente chamado de poli(uretano-co-ureia).


O controle cuidadoso de propriedades viscoelásticas - pela modificação do catalisador ou dos polióis utilizados, por exemplo - podem levar à formação da chamada memory foam, uma espuma que é muito mais macia à temperatura da pele humana do que à temperatura ambiente.
Quanto às espumas, há duas variantes principais: uma na qual a maior parte das "bolhas" da espuma (células) permanece fechada e o gás, preso nestas bolhas; e uma outra que são sistemas que têm, em sua maioria, células abertas, que resultam depois de um estágio crítico no processo de formação da espuma (se as células não se formam ou se se tornam abertas muito cedo, simplesmente não há formação de espuma). Este é um processo vital e importante: se as espumas flexíveis tiverem células fechadas, sua maciez fica severamente comprometida; tem-se a sensação de ser um material pneumático em vez de uma espuma macia; por isso, em palavras mais simples, as espumas flexíveis devem ter células abertas.
Já o oposto é o caso da maioria das espumas rígidas. Aqui, a retenção do gás nas células é desejável, já que o tal gás (especialmente os fluorocarbonetos mencionados anteriormente) dá à espuma sua característica principal: a alta isolação térmica.
Existe ainda uma terceira variante de espuma, chamada de espuma microcelular, que são os materiais elastoméricos rígidos tipicamente encontrados nos revestimentos de volantes de automóveis e em outros componentes para esta indústria.
Aplicações





Os produtos do poliuretano têm muitos usos. Mais de três quartos do consumo global de poliuretano são na forma de espumas, com os tipos flexível e rígido grosseiramente iguais quanto ao tamanho de mercado. Em ambos os casos, a espuma está geralmente escondida por trás de outros materiais: as espumas rígidas estão dentro das paredes metálicas ou plásticas da maioria dos refrigeradores e freezers, ou atrás de paredes de alvenaria, caso sejam usadas como isolamento térmico na construção civil; as espumas flexíveis, dentro dos estofados dos móveis domésticos, por exemplo.
Verniz
Usa-se materiais poliuretânicos em revestimentos e vernizes para mobílias, carpintaria ou trabalhos em madeira. Este acabamento final forma uma camada dura e inflexível sobre a peça. Quando submetida ao calor ou ao choque, o verniz poliuretânico pode apresentar marcas transparentes ou esbranquiçadas. Como não penetra na madeira, o poliuretano carece do brilho que aparece em outros tipos de tratamento.
Cola
O poliuretano é usado como adesivo, especialmente como uma cola para trabalhos em madeira. Sua principal vantagem sobre as colas mais tradicionais para madeira é a resistência à água. Também é difundido no segmento automotivo para a montagem de vidros frontais e traseiros do automóvel. Uma aplicação típica do adesivo de poliuretano, entre tantas outras, é a montagem de painéis de isolamento térmico fazendo a união de madeira, poliestireno expandido, espuma de poliuretano, aço, conhecido estes materiais como sanduíche de substratos, estes painéis são largamente utilizados na montagem de câmaras frigoríficas e baús de caminhões com refrigeração.
Pneus
O poliuretano também é usado na fabricação de pneus rígidos. Os patins do tipo roller blading e as rodas de skate só tornaram-se econômicas e resistentes graças à introdução de peças poliuretânicas fortes e resistentes à abrasão. Outros produtos foram desenvolvidos para pneumáticos, e variantes feitas de espuma microcelular são muito usadas nos pneus para cadeiras de roda, bicicletas, entre outros. Tais espumas também são muito encontradas nos volantes de automóveis, entre outras peças para veículos automotivos, inclusive para-choques e para-lamas.
Mobílias
O poliuretano também é usado na fabricação de cantos macios para mobílias tais como mesas e painéis, dando-lhes um ar de elegância, durabilidade e prevenindo acidentes.
Colchões
Denominado espuma de poliuretano flexível. O mercado de colchões em Portugal e em Espanha tem sido dominado por empresas que fabricam este tipo de produto à base de uma estrutura de molas. Sendo a referida estrutura o elemento essencial do colchão, estas indústrias estão direcionadas para a produção das molas, investindo em tecnologia metalomecânica, que permita melhorar os produtos existentes e encontrar novas soluções com maior resistência à deformação, mas mantendo o conforto.
Os produtos mais avançados destas empresas começaram por combinar as molas com o látex e atualmente colocam uma camada de espuma a envolver um miolo efetuado por uma estrutura de molas. No entanto, a tendência verificada nos últimos anos no fabrico e comercialização dos colchões, tem apontado fortemente a favor dos colchões de espuma, em detrimento dos colchões de molas e de látex. A comprovar esta alteração de hábitos de consumo está a dinamização da indústria de colchões de espuma na Europa Ocidental, que conquistou já 35% dos colchões produzidos em 2006, contra 39% dos colchões de molas e 13% dos colchões de látex.
Assentos de automóveis
As espumas poliuretânicas flexíveis e semi-flexíveis são amplamente utilizadas nos componentes do interior de automóveis: nos assentos, no apoio de cabeça, no descanso de braços, no revestimento do teto e no painel de instrumentos.
Os poliuretanos são usados para fazer assentos de automóveis de uma maneira notável. O fabricante de assentos tem um molde para cada modelo de assento. Este molde tem uma estrutura parecida com a de uma concha de marisco, que permite a modelagem rápida da estrutura do assento, que é estofado após a remoção do molde.
É possível combinar estas duas etapas (moldagem e estofamento). Neste caso, as superfícies da parte de dentro do molde têm centenas de pequenos furos que se comunicam com uma bomba de vácuo. Isto cria um fluxo constante de ar que vai do centro do molde à fonte de vácuo. O operador de montagem coloca inicialmente um revestimento de assento completo e totalmente montado no molde e o ajusta de forma que o vácuo puxe firmemente a peça contra a superfície do molde. Depois que a peça está colocada no lugar, o operador instala a moldura de metal do assento no molde, fechando-o. Neste ponto, o molde contém o que pode-se visualizar como um "assento oco".
A próxima etapa é a injeção da mistura química de poliuretano na cavidade do molde. É uma mistura de duas substâncias, medidas exatamente na quantidade certa. O molde é então mantido a uma temperatura de reação predeterminada até que a mistura química tenha preenchido o molde e formado uma espuma macia. O tempo necessário é de cerca de dois a três minutos, dependendo do tamanho do assento, da formulação e das condições de operação. Em seguida, o molde é aberto levemente por um ou dois minutos, durante o qual ocorre a cura da espuma, até que então o assento completamente estofado seja removido do molde. O operador apenas remove os excessos de espuma e coloca a peça sobre uma esteira.
Preservativos
Vários tipos de preservativos são feitos de poliuretano e são destinados às pessoas sensíveis ou alérgicas aos preservativos tradicionalmente feitos de látex.
Calçados
Muitos tipos de calçados e sapatos, sobretudo femininos, são confecionados em poliuretano. A grande maioria é confecionada utilizando-se sistemas poliéster, mais resistentes mecanicamente. Uma nova aplicação e quem vem crescendo são nos calçados de segurança pois é um material que, com a utilização de aditivos, consegue atender as normas necessárias para a utilização de EPI`s na industria.
Refrigeração
Em sistemas de isolamento térmico como expositores refrigerados, tubulações de cobre e termo painéis para câmaras frigoríficas.
Seleção do poliuretano
O material deve ser escolhido de acordo com as necessidades de aplicação. Em alguns casos, aço, alumínio ou outros metais podem ser indicados. Em outros casos plásticos – ABS, poliestireno, PVC ou resinas fenólicas. No entanto, em um grande número de aplicações, os poliuretanos oferecem as características pretendidas.
A variedade dos poliuretanos é substancial. Cada material tem seus atributos e deficiências. Desta forma o essencial, quando falamos em aplicações de engenharia, é verificar cada tipo de PU e então selecionar o que melhor atende às necessidades da aplicação, proporcionando melhor custo/ benefício.
Há diferentes tipos de poliuretanos disponíveis, com diferentes resistências, propriedades físicas e aplicações.
O termo poliuretano pode ser utilizado para diferentes tipos de materiais:
- Poliuretanos Fundidos
- Adesivos
- Espumas
- Rígidas e Flexíveis
- Termoplásticos
- Microcelular Para Sola de Sapatos
- Revestimentos Superficiais (Sprays)
- Millable Gums
Os poliuretanos fundidos têm boa aplicabilidade.
As espumas, tanto rígida como flexível. As espumas rígidas são utilizadas para aplicações com isolamento térmico enquanto a flexível é utilizada como molas e amortecedores. Na indústria de calçados, os solados de poliuretano são feitos de poliuretano microcelular, que são espumas especiais.
Muitos tipos de adesivos também são formulados a partir do poliuretano. Adesivos com a base química do poliuretano são muito utilizados para aplicações como fixação de vidros automotivos.
Os poliuretanos termoplásticos são materiais completamente reagidos e são processados por extrusão ou injeção.
Millable gums são processadas assim como borracha convencional, ou seja, elas são compostas por cargas entre outros ingredientes, são processadas nos mesmos equipamentos e curadas pelo processo de vulcanização com peróxidos ou, em alguns casos, com enxofre. Desta maneira, os processadores podem atingir diversas propriedades dos poliuretanos processando do mesmo modo que as borrachas convencionais.
Revestimentos diversos também são possíveis com materiais baseados em poliuretanos. Vários tipos de vernizes e tintas são utilizados para revestimento de pisos, também disponíveis em sprays utilizados para aplicações que exigem resistência à abrasão e corrosão.
Este tipo não é somente utilizado para proteger as superfícies das intempéries do meio ambiente mas também proporcionam uma durabilidade maior para equipamentos de mineração por exemplo.
Poliuretanos fundidos são obtidos pela mistura de dois produtos – um pré-polímero e um curatvio – que são “derramados”. Estes dois produtos são homogeneizados por meio de mistura manual ou automatizada, posteriormente esta mistura é derramada em um molde que vai para estufa para cura e finalização da reação, finalmente podemos dar acabamento obtendo as medidas finais da peça. A maior característica destes materiais são suas extraordinárias propriedades físicas. Os poliuretanos fundidos são atualmente considerados como plásticos de engenharia e são selecionados com base nas propriedades de cada tipo de poliretano fundido.
Por que utilizar poliuretanos fundidos ao invés de qualquer outro material? Existem duas principais razões: performance e custo benefício.
| Performance | Custo Benefício |
| Resistência a Abrasão | Inatividade reduzida, menor tempo de máquina parada. |
| Tenacidade | Baixo Custo de molde na produção de peças especiais. |
| Resistência ao Rasgo | Baixo Custo de ferramentas para peças de baixas quantidades. |
| Capacidade de Carga |
Em alguns casos, a performance dos poliuretanos fundidos nos permite utiliza-los em aplicações onde outros materiais mais simples não atenderão as necessidades da aplicação em questão.
Em outros casos, os utilizadores finais selecionam os poliuretanos fundidos para conseguir melhorar e aumentar bastante a performance de um outro material utilizado. Isso normalmente é resultado de suas propriedades como resistência a abrasão, tenacidade, que é resistência a quebra por impacto ou carga, alta resistência a corte e alta capacidade de carga. Estas quatro propriedades, que certamente não são as únicas propriedades dos poliuretanos, são as que distanciam os poliuretanos de longe de outros materiais em muitas aplicações.
Custo benefício é a segunda razão: apesar de o poliuretano ser normalmente mais caro que outros materiais, incluindo borracha, o custo extra é frequentemente justificado em termos de menor inatividade proporcionando melhor custo benefício. Isso é particularmente crítico nas indústrias de mineração e papel. Inatividade nestas indústrias é muito cara. Caso uma mineração pare para reposição de uma peça que falhou, os custos podem atingir milhares de reais por hora.
O custo mais elevado pago por uma peça de poliuretano inicialmente é mais que justificado pela sua durabilidade que, em algumas aplicações, pode ser de 2 até 10 vezes superior a outro material.
Outra área em que o poliuretano tem melhor custo benefício é na fabricação de peças especiais e ferramentas. Nestas áreas, onde é necessária a confeção de molde, o poliuretano se sai bem, pois seus moldes podem ser facilmente confecionados com materiais como plástico, metal, o próprio poliuretano, epoxy reforçado com fibra de vidro, ou qualquer material que não absorva umidade, tenha uma boa transferência de calor e que resista às pressões de fundição do processo.
Moldes para outros materiais como borracha é relativamente mais caro quando comparado ao poliuretano uma vez que na fabricação da borracha o processo passa por fases onde são aplicadas pressões e temperaturas elevadas.
Mesmo que o custo da peça propriamente dita seja mais elevado, quando a produção é de pequenas quantidades a redução com o custo do molde justifica a escolha por poliuretano.
No geral, o poliuretano compete em várias aplicações com metais, plásticos e borrachas.
Relações com outros materiais
Metal
- Menor peso
- Menos ruído
- Melhor ajuste
- Menor custo de fabricação
- Resistência à corrosão
Uma das vantagens do poliuretano sobre o metal é o menor peso. Peças fabricadas em poliuretano são, de longe, mais leves que o metal e mais fáceis de manusear, isso tipicamente resulta em uma movimentação de menor peso nas máquinas e equipamentos. Adicionalmente, peças de metal tendem a gerar mais ruídos que as peças de poliuretanos que os absorvem.
A redução da poluição sonora no ambiente de trabalho quando substituímos metal por poliuretano pode ser dramática.
Os poliuretanos substituem metais em várias aplicações, pois podem ser facilmente fundidos em moldes mais baratos como já discutido anteriormente.
As peças de metal precisam de operações de fundição, solda e usinagem, como resultado temos um custo elevado, particularmente com ligas de alta dureza.
Poliuretanos também são resistentes à abrasão. Por exemplo, em muitas aplicações na mineração, soluções de alta corrosão causam rápida deterioração nos metais.
Quando as aplicações possuem efeitos combinados de corrosão e abrasão como linhas de rejeito ou polpa de minério, a vida de peças de metal são muito inferiores.
Poliuretanos, por ter alta resistência a abrasão e corrosão superam os metais com grande margem. Esta aplicação engloba muitas das vantagens do poliuretano sobre o metal descritas acima.
Outro grupo de materiais que os poliuretanos podem substituir são os plásticos.
Plásticos
- Não é quebradiço
- Memória Elastomérica
- Resistência a Abrasão
Uma vantagem dos elastómeros de poliuretano com relação aos plásticos é que eles não são quebradiços.
Muitos plásticos, particularmente os de alta dureza, tendem a trincarem ou quebrarem quando recebem impactos ou um carregamento.
Poliuretanos enquanto elastómeros mantém sua resistência ao impacto mesmo com altas durezas.
Poliuretanos tem memória elastomérica, isto é, eles podem ser tencionados mesmo com altas durezas a um alongamento significante e retornaram a sua dimensão original. A maioria dos plásticos, uma vez tencionados após certo ponto, não retornarão à sua dimensão original, permanecendo esticados permanentemente.
Finalmente, plásticos não possuem alta resistência à abrasão como os poliuretanos.
Uma terceira família de materiais que compete com poliuretano são os vários tipos de borracha natural e sintética.
Borracha
- Resistência a abrasão
- Resistência ao corte e ao rasgo
- Resistência a óleo
- Resistência a grandes carregamentos
- Grande variedade de durezas
- Claro e translúcido
- Não marca, não mancha
- Pode ser fundido
- Resistente a ozônio
- Resistente à micro-organismos
- Alta ou baixa histerese
Uma das maiores vantagens do poliuretano sobre a borracha são as resistências à abrasão, corte e rasgo e suporta grandes carregamentos. Adicionalmente, muitos poliuretanos fundidos tem cores naturais, ou seja, sem pigmentos, variáveis de transparentes à branco opaco e âmbar. São aptos a receberem pigmentações que variam de preto a laranjas fluorescentes, vermelho e verde. Isso é usualmente utilizado em peças codificadas por cores. Um bom exemplo da utilização de peças codificadas por cores é nas aplicações onde tem-se diversas durezas e pode-se diferencia-las pelas cores dos poliuretanos não sendo necessário a utilização de um durômetro, por exemplo.
Borracha é vulnerável ao ozônio, particularmente quando disposta próximo à equipamentos elétricos onde existe alta concentração de ozônio. Poliuretanos são resistentes ao ozônio. O fato do poliuretano ser um material fundido faz com que os preços dos moldes sejam mais baratos possibilitando a fabricação de peças complicadas. Por outro lado, poliuretanos entre 80 e 95 shore A aproximam-se do pico de suas propriedades tendo uma excelente performance.
Limitações e desvantagens
Podem ser citadas como desvantagens sobre os produtos citados anteriormente
- Altas temperaturas
- Ambientes úmidos e quentes
- Alguns ambientes químicos
As limitações do poliuretano são basicamente três. Poliuretanos não são bons quando trabalham em altas temperaturas. Devido à certa termoplacidade em sua natureza, as propriedades do poliuretano tendem a cair conforme a temperatura é elevada. Genericamente falando, poliuretanos são menos utilizados quando se exige uma combinação de carga e temperaturas superiores a 105/107°C simultaneamente.
Outra limitação é que todos os poliuretanos estão sujeitos à hidrólise na presença de umidade a temperaturas elevadas. Esta combinação cria problemas para o poliuretano. No entanto, a baixas temperaturas, a maioria dos poliuretanos podem trabalhar por anos com a presença de umidade, mas, na presença de vapor, ou seja, umidade + temperatura não temos um poliuretano que suporte uma vida longa.
Dentre os poliuretanos existentes, temos alguns que podem trabalhar certo período nestas condições, mas não é o produto adequado. Novos desenvolvimentos prometem elevar estes limites de temperatura. Existem certos ambientes químicos que são impróprios para os poliuretanos.
Ambientes muito ácidos ou base, geralmente são prejudiciais, assim como certos solventes, especialmente os aromáticos como toluenos ou cetonas como MEK ou acetonas, e ésteres como etilacetato.
Por outro lado existem muitos solventes, que o poliuretano resiste muito bem e são indicados para utilização. Nestes incluem muitos óleos e materiais baseados em petróleo.
O descarte de plásticos à base de poliuretano na natureza, é um problema ambiental. O fungo da Amazônia, Pestalotiopsis microspora, alimenta-se de poliuretano e pode ser uma solução para a poluição causada por este.[3][4]
Pré-polímero de poliuretano
Consiste em duas estruturas básicas:
Uma é o di-isocianato. A maioria dos materiais comercializados são baseados em MDI (4,4.-difenilmetano di-isocianato) ou TDI (tolilenediisocianato). Cada um destes di-isocianatos oferecem diferentes propriedades ao produto final e também requer diferentes tipos de curativos, em muitos casos, diferentes formas de processamento.
Existem outros di-isocianatos usados, como os alifáticos, o mais novo é o PPDI (parafenilenediisocianato), e o NDI (nafitileno di-isocianato). Outro componente é o poliol. Existem três tipos: PTMEG (politetrametileno glicol), conhecido como polieter premium, PPG (polipropileno glicol), um baixo custo, e os poliésteres.
Novamente existem outros poliois, como policaprolactona, mas são usadas em menor escala. Com estas três possibilidades de poliois e duas possibilidades de isocianatos existem seis grandes classes de pré-polímeros de poliuretanos disponíveis. A outra parte do sistema é o curativo. Os poliuretanos fundidos envolvem uma reação química. Quando você mistura os dois componentes (o pré-polímero e o curativo) a reação não pode ser interrompida.
Curativos também determinam a estrutura molecular do polímero e suas propriedades. O curative mais comum é o MOCA, predominantemente utilizado nos sistemas TDI, embora outro material, o ETHACURE® 300, esteja ganhando confiança dos processadores sendo uma alternativa para o MOCA. Curativos Diol como 1,4-butanodiol e HQEE são predominantemente usados em distemas MDI. Triols são utilizados em combinação com diols em MDI’s. Mas o uso mais comum para o triol é em uma situação especial no TDI ester, estes são usados para reduzir a dureza dos materiais utilizados geralmente em cilindros de impressão nas industrias de revestimentos e pinturas metálicas.
Outros fatores que podem influenciar as propriedades do produto final referem-se ao processo. Provavelmente, o fator mais importante é a quantidade de curativo. A quantidade relativa entre o curativo e o pré-polímero precisa ser determinada e tratada com tolerâncias pequenas para que as propriedades físicas do produto final sejam atingidas. Existem casos onde pode ser desejável alterarmos a relação curativo / polímero para intencionalmente maximizar uma propriedade particular do poliuretano sacrificando outra.
Por exemplo, uma cura com estequiometria alta entre 100 e 105% ao invés de 95% fará com que a flexibilidade aumente, no entanto, isso prejudicará a performance na compressão. O que é vital é que qualquer modificação na estequiometria deve ser feita sob um rigoroso controle com conhecimento de qual efeito esta alteração terá em outras propriedades físicas. Uma outra variável que é importante controlar é a temperatura do pré-polímero. Isso é crítico em termos de pré-aquecimento do material antes da etapa de fundição assim como a temperatura de cura e pós-cura da peça. Normalmente utilizamos aditivos para alterar as propriedades físicas dos poliuretanos. Por exemplo, em rolos de baixa dureza, plastificantes e aditivos são utilizados para modificar as propriedades. Com um sistema típico de poliuretano, é muito difícil atingirmos durezas inferiores a 50/55 Shore A sem a utilização de plastificantes. A maioria dos materiais com durezas entre 20 e 50 Shore A contém plastificantes. Aditivos comuns são sílicas, que são normalmente utilizados em rolos de pintura. Muitas vezes aditivos especiais ajudam a reduzir o atrito diminuindo o desgaste da peça, grafite e fluorcarbonetos normalmente são utilizados com esta finalidade.
Podemos também adicionar aditivos protetores como: estabilizantes Anti-UV e contra hidrólise. Estão listados na tabela abaixo vários itens físicos e do meio onde o produto será utilizado, entre propriedades e resistências, a frente temos o tipo de poliuretano que tem o melhor ou pior desempenho na aplicação onde estas propriedades são importantes.
Características sobre aplicações
| Propriedade | Melhor desempenho | Pior desempenho |
| Dureza | - | - |
| Resistência à tração | Poliéster | Poliéter |
| Alongamento | - | - |
| Módulo de compressão | - | - |
| Resistência ao rasgo | Poliéster | PPG Poliéter |
| Resistência a compressão | TDI | MDI |
| Resiliência | MDI Poliéter | TDI Poliéster |
| Baixa temperatura | MDI Poliéter | TDI Poliéster |
| Alta temperatura | TDI | MDI |
| Abrasão - atrito constante | Poliéster | PPG Poliéter |
| Abrasão - atrito intermitente | MDI Poliéter | PPG Poliéter |
| Geração de calor | Poliéter | Poliéster |
| Resistência a hidrólise | MDI Poliéter | TDI Poliéster |
| Resistência a óleo | Poliéster | Poliéter |
| Envelhecimento ao calor | Poliéster | Poliéter |
| Baixa dureza | TDI Poliéster | Poliéter |
| Indústria de alimentos | MDI | TDI |
| Flexibilidade de formulação | MDI | TDI |
| Custo | TDI Poliéter | MDI Poliéter |
A primeira propriedade da tabela e provavelmente uma das mais importantes é a dureza. No entanto, uma vez que podemos obter todas as durezas com todos os 6 sistemas de pré-polímeros existentes, não devemos selecionar um poliuretano a partir da dureza.
Em termos de resistência a tração, poliésteres possuem melhor desempenho comparado aos poliéteres. No entanto, resistência a tração é raramente a principal característica solicitada em uma aplicação. Todos os tipos de poliuretanos podem ter alongamentos elevados.
Não podemos nos basear para seleção de um poliuretano na resistência a tração. O mesmo ocorre com o módulo de compressão, todos os poliuretanos podem obter altos e baixos valores do módulo.
Como mencionado anteriormente, para formulações de baixa dureza, TDI poliéster são os materiais mais indicados pois aceitam grandes quantidades de plastificantes sem reduzir as propriedades físicas do material. Poliéteres geralmente não mantém suas propriedades físicas quando utilizado em formulações com grandes quantidades de plastificantes.
MDI poliésteres são uma excelente escolha para aplicações onde existe contato com alimento, particularmente, no processamento de carnes ou frango. TDI’s geralmente não são desejáveis em função dos curativos utilizados serem a base de di-amina (Ex.: Moca).
MDI’s possuem maior gama de formulação. Para atingirmos altas durezas com TDI’s, MOCA ou outra di-amina é necessário para a cura. Já nos MDI’s apenas alguns curativos a base de diol podem ser utilizados, como 1,4-butanodiol e HQEE. Muitas misturas e combinações entre estes e outros dióis podem ser utilizadas.
Nesta tabela, PPG Poliéteres frequentemente apareceu na coluna de pior desempenho. Suas características não deveriam ser comparadas com os outros materiais, mas existem aplicações que eles são desejáveis. O custo benefício, com certeza, é a razão de utilizarmos PPG Poliéteres. Eles são considerados materiais baratos quando comparados com Poliésteres e Poliéteres de alto custo e são desejáveis em peças que não exigem muitas propriedades. Normalmente em aplicações onde materiais de baixo custo tem uma performance adequada.
MDI Poliéteres foi listado na tabela na coluna de pior desempenho em termos de preço, o que significa que são materiais caros. Mas, a realidade é que depende da aplicação porque estes materiais são mais caros em função do curativo.
Cada caso precisa ser calculado individualmente: Qual o custo do curativo? Qual a proporção da mistura? Quanto contribui na formação do preço final?
As vezes, o material mais caro é o melhor material em função de oferecer um melhor custo benefício. Devemos levar isso em consideração tanto para os materiais de alto custo quanto para os materiais de baixo custo.
Aplicações Específicas
| Aplicação | PU | Maior exigência |
| Rodas de skate e patins | MDI Poliéter | Alta Resiliência |
| Rolos de Pintura | TDI Poliéster | Resistência a solvente, boas propriedades físicas a baixas durezas |
| Tampão para tubulação de óleo | TDI Poliéster | Resistência a Óleo e a abrasão |
| Equipamentos para grãos | MDI Poliéster | Resistência ao rasgo e Baixa Resiliência |
| Pneu para empilhadeira | TDI Poliéter | Baixa geração de calor |
| Martelo | TDI Poliéster | Resistência ao rasgo e Baixa Resiliência |
| Cortinas de jateamento | MDI Poliéter | Alta Resiliência e Resistente a Abrasão Intermitente |
| Equipamento para lavanderia | MDI Poliéter | Resistência a Hidrólise |
| Rolos para papel | TDI Poliéter | Resistência a Hidrólise, Propriedades Dinâmicas e Estabilidade de Dureza |
| Equipamento de processamento de carne | MDI Poliéster | Aprovação para trabalho com alimentos frescos |
Existem algumas aplicações específicas onde uma característica é dominante quando comparado com os outros tipos de poliuretano. Rodas de skate de alta qualidade todas são de MDI Poliéter, em função da resiliência. Alta resiliência proporciona velocidades elevadas e uma boa dirigibilidade.
TDI Poliésteres, material utilizado em rolos de pintura em função da alta resistência a solvente e por manter suas propriedades físicas em formulações de baixa dureza.
Para pig’s (tampões) de tubulação de óleo é importante que o material tenha resistência a abrasão e boa resistência a óleo para prevenir suas dimensões ao longo da tubulação. Em função disso, TDI Poliéster foi escolhido, pois combina estas duas características.
Por outro lado, para equipamentos para grãos MDI Poliéster foi escolhido, o composto éster possui boa resistência a abrasão e o composto MDI é o mais indicado para trabalho em contato com alimentos.
Para pneus de empilhadeiras, TDI Poliéter foi escolhido, pois possuem baixo desenvolvimento de calor e alta resistência a rolamento com cargas elevadas.
Para martelos, TDI Poliéster é o material mais indicado pois combina resistência a corte e baixa resiliência. Resistência a corte é necessário para prevenir a deterioração da face do martelo e a baixa resiliência faz com que a energia do impacto seja absorvida pelo material evitando danos ao trabalhador.
Em cortinas para jateamento é exigido material com alta resiliência e resistência a abrasão intermitentes. MDI Poliéter é indicado, pois possui estas características, a alta resiliência permite que as partículas sejam expelidas sem transmitir calor para a cortina, o que a danificaria em um curto espaço de tempo. O calor é gerado pela energia cinética que se transforma em energia térmica.
MDI Poliéter foi escolhido para equipamentos de lavanderia, como agitadores ou pulsadores para máquinas de lavar, em função de sua excelente resistência a abrasão.
TDI Poliéter é desejável para rolos da industria de papel em função da combinação entre resistência a hidrólise e estabilidade de dureza. Nesta aplicação é importante que a dureza e as propriedades dinâmicas do rolo sejam mantidas consistentes durante a operação em uma determinada faixa de temperatura, isso é importante para que a performance do rolo seja constante ao longo da utilização do mesmo.
MDI Poliéster foi escolhido para trabalhos com carne fresca por ser um matéria atóxico e indicado para trabalhos com alimentos frescos. Esta formulação especial combina resistência a abrasão e resistência a óleo e gordura contida na carne.
Reciclagem
Devido ao grande número de aplicações do PU, sua produção aumenta a cada ano, bem como a quantidade de resíduos do mesmo. Por isto a reciclagem de PU se torna uma atividade cada vez mais necessária para uma sociedade mais sustentável, sendo este um problema visto que o PU é um polímero termorrígido e não pode ser derretido e fundido novamente.[5]Neste contexto existem dois processos principais para a reciclagem de PU, reciclagem química e mecânica.
Reciclagem química
A reciclagem química funciona através do princípio da degradação, onde os resíduos são gradualmente despolimerizados em moléculas menores, que posteriormente podem ser reutilizadas na síntese de novos materiais de PU. Este processo de quebra das moléculas pode ser feito utilizando-se de diversos reagentes.[6]
Alcoólise
Neste cenário, um álcool é utilizado como agente de degradação. Através da ação de um catalisador e um álcool de baixo peso molecular na temperatura correta, o PU se degrada para um líquido de baixo peso molecular. Escolhendo o reagente correto e em condições específicas de degradação, consegue-se Poliol de alta qualidade, que depois pode ser reutilizado na síntese de PU's.[7]
Hidrólise
O processo de hidrólise consiste-se na utilização de um agente de degradação que forçará a ligação de moléculas de água com partes da cadeia degradada. Para isso utiliza-se de um hidróxido alcalino como catalisador e de vapor d'água, produzindo como subproduto aminas, Poliol e . Apesar de ser um processo eficiente, é economicamente inviável e com limitações de aplicação dos resíduos finais (devido a sua alta concentração de aminas), e portanto não é muito utilizado.[7]
Aminólise
O processo de aminólise aplicado à Espumas de Poliuretano (PUF's) é realizado através da reação do material com aminas, como dietilenotriamina e trietilenotetramina, formando Poliol, aminas e compostos aromáticos como produtos de degradação.[7]
Reciclagem Mecânica
A reciclagem mecânica não muda a natureza química do material, utilizando-se da ação física e força mecânica para efetuar a degradação do mesmo, que poderá ser diretamente reutilizado em processos de síntese. Esta é uma opção barata, simples e conveniente, porém com diversas limitações técnicas que resultam em produtos de baixa qualidade, acaba sendo utilizada majoritariamente em produtos de baixo valor.[6]
Referências
- 1 2 3 4 Polyurethanes, site patrocinado pela Bayer MaterialScience
- 1 2 Polyurethane - History - Center for the Polyurethanes Industry, site www.americanindustry.com
- ↑ (em português) Tecmundo - Descoberto fungo que sobrevive comendo plástico e que pode ajudar a salvar o planeta. Acessado em 12/03/2012.
- ↑ (em inglês) American Society for Microbiology - Biodegradation of Polyester Polyurethane by Endophytic Fungi. Acessado em 12/03/2012.
- ↑ Gama, Nuno V.; Ferreira, Artur; Barros-Timmons, Ana (27 de setembro de 2018). «Polyurethane Foams: Past, Present, and Future». Materials. 11 (10). ISSN 1996-1944. PMC 6213201
. PMID 30262722. doi:10.3390/ma11101841 - 1 2 Bhatti, Ijaz Ahmad; Bhatti, Haq Nawaz; Zia, Khalid Mahmood. «Methods for polyurethane and polyurethane composites, recycling and recovery: A review». Reactive and Functional Polymers (em inglês). 67 (8): 675–692. ISSN 1381-5148
- 1 2 3 Yang, Wenqing; Dong, Qingyin; Liu, Shili; Xie, Henghua; Liu, Lili; Li, Jinhui (1 de janeiro de 2012). «Recycling and Disposal Methods for Polyurethane Foam Wastes». Procedia Environmental Sciences. The Seventh International Conference on Waste Management and Technology (ICWMT 7). 16: 167–175. ISSN 1878-0296. doi:10.1016/j.proenv.2012.10.023
- Randall, D (2002). The Polyurethanes Book, Wiley. ISBN 0470850418.
- Fuest, Dr. Ronald W. (2007). What Polyurethanes? Where?. Crompton Corp.
Artigos relacionados
- Engenharia de produção
- Engenharia dos materiais
- PET
- Design de produto