Meteorologia física
Meteorologia física é a área da meteorologia que investiga os fenômenos atmosféricos do ponto de vista da física, descrevendo-os e explicando-os a partir de teorias e da análise de resultados experimentais.[1]
Divisões didáticas
Geralmente, os temas da meteorologia física são abordados em duas disciplinas complementares: (1) termodinâmica da atmosfera e (2) Dinâmica de precipitação e microfísica de gotas e cristais.
A Termodinâmica da atmosfera estuda os processos termodinâmicos e a energética dos processos e escoamentos atmosféricos. Também estuda as transformações energéticas envolvidas no escoamento do ar atmosférico em diferentes escalas, por exemplo, em grande escala, estuda a energia potencial das massas de ar e em mesoescala, estuda a modificação das variáveis termodinâmicas, como temperatura,pressão, umidade do ar associadas ao deslocamento vertical das parcelas de ar em escoamento na atmosfera.
Além disso, a termodinâmica da atmosfera estuda os efeitos da convecção (i.e. do transporte turbulento de calor, momento e massa) entre a superfície e a atmosfera. Contribui para o entendimento do balanço de radiação e balanço de energia atmosférico e da superfície. Investiga os fenômenos de mistura na atmosfera, descrevendo-o do ponto de vista teórico e experimental. Também tem como alvo os processo de liberação de calor latente devido à mudança de fase da água na atmosfera úmida, que ocorre durante a formaçao de gotas e cristais de gelo nas nuvens em geral, e também a liberação de calor latente dentro de ciclones tropicais ciclones tropicais (furacões, tufões, etc).[2]
O estudo termodinâmico da atmosfera em geral considera a composição do ar e sua distribuição vertical, seus componentes, como gases e partículas. Além disso, os estudos se debruçam sobre as propriedades e dinâmica de parcelas de ar seco e de ar úmido, suas propriedades conservativas e sobre os efeitos da mudança de fase na dinâmica das parcelas. Para tal, estuda-se a chamada teoria da parcela (clássica e modificada). O papel do vapor de água é de fundamental importância na meteorologia. Conhecendo-se a umidade relativa do ar, ou seja, a quantidade de vapor de água contida na atmosfera em relação a quantidade máxima esperada na saturação, tem-se uma ideia do potencial atmosférico para a ocorrência de chuvas, uma vez que o vapor de água é chamado 'combustível' das tempestades e de outras formas de precipitação (por exemplo, chuviscos,garoa, orvalho).
A estrutura vertical da atmosfera é composta por diversas camadas com estrutura da estabilidade estática diferente, sendo que a troposfera é a mais próxima da superfície (entre a superfície e aproximadamente 12 km). Dentro da troposfera, a temperatura média do ar diminui com a altura sobre a superfície, predominando difusão turbulenta e escoamento turbulento em sua porção inferior e dentro das nuvens de grande desenvolvimento vertical. E a cada nova camada na vertical da atmosfera, a estrutura do gradiente vertical de temperatura (isto é, o lapse rate) se inverte. Por exemplo, na segunda grande camada, estratosfera, a temperatura aumenta com a altura, predominando difusão molecular e escoamento laminar. A temperatura aumenta na estratosfera devido a presença da máxima concentração da camada de Ozônio na altura aproximada de 30 km, e o Ozônio absorve grande quantidade de radiação solar na faixa do ultravioleta, provocando seu aquecimento.[1]
O curso de meteorologia física também trata com detalhes a dinâmica das nuvens, estudando a dinâmica das forças que acabam definindo os diferentes tipos de nuvens e sistemas precipitantes. Uma dessas forças é o empuxo associado a presença de parcelas de ar quente e úmido, flutuantes em um ambiente atmosférico mais frio e seco. A força da gravidade, isto é o peso das parcelas, e as forças de arrasto aerodinâmico também são muito importantes. A convergência do escoamento horizontal do vento também tem um papel destacado na formação das tempestades, assim como a existência de potencial de liberação de energia potencial pela troposfera. As frentes estabelecem zonas particularmente favoráveis `formação de precipitação, sobretudo definindo estensas áreas de precipitação estratiforme, nas quais se encontra imersas pequenas áraes de formação de tempestades e chuvaradas.
Já a microfísica de gotas e cristais debruça-se no estudo dos processos de formação das gotículas de nuvens, gotas de chuva, cristais de gelo, granizo e outros hidrometeoros. Esse estudo mostra a importância fundamental dos núcleos de condensação de nuvens (CCN, cloud condensation nuclei) e dos núcleos de condensação de gelo (ICN de ice condensation nuclei) para a formação de gotículas e microclistais de gelo.
Além disso, a meteorologia física estuda a propagação das ondas acústicas e da radiação eletromagnética pela atmosfera, dos processos físicos que estão envolvidos na produção das nuvens e de fenômenos atmosféricos precipitantes, da eletricidade atmosférica, que acarreta na formação dos raios. Aborda também as reações físico-químicas entre gases e/ou partículas na atmosfera, além da aeronomia, o estudo da alta atmosfera.[3]
Dinâmica de nuvens e microfísica de precipitação
Nuvens de bom tempo
Nuvens Cúmulos forçadas
Nuvens Cúmulos forçadas formam-se no topo da Camada de Mistura (CM) Convectiva e são formadas a partir de convecção térmica, ou seja, transporte de calor por movimentos verticais do ar. Estas térmicas perdem o empuxo ao penetrar na Camada de transição entre a CM e a Atmosfera Livre. Apesar da condensação de vapor de água no topo aquecer o ar por liberação de calor latente, o aquecimento resultante não é suficiente para prover um empuxo positivo para a parcela. Desta forma, a térmica ascende acima do seu Nível de Condensação por Levantamento (NCL), permanece inteiramente dentro da Camada de Entranhamento (CE) e não atinge seu Nível de Convecção Espontânea (NCE).
Em ambientes com pouco cisalhamento, a circulação resultante apresenta um formato "achatado", pois o ar ascendente da térmica introduz novas parcelas de ar úmido e quente na base da nuvem e as parcelas internas divergem em direção às extremidades enquanto ascendem. O diâmetro da nuvem permanece relativamente constante devido à evaporação contínua das extremidades da nuvem enquanto o ar se move de volta em direção à CM no ramo descendente da célula de circulação convectiva. Em regiões de cisalhamento positivo do vento (vento aumentando com a altura), os cúmulos forçados aparecem inclinados na vertical para o lado que o cisalhamento do vento aponta.
Tais nuvens podem existir por até 20 minutos, enquanto persistir a corrente ascendente, e não persistem após a térmica desaparecer. São muito finas, brancas e brilhantes.
Nuvens Cúmulos ativas
Nuvens cúmulos ativas são nuvens de empuxo positivo. Primeiramente são impulsionadas por uma térmica ativadora original e desenvolvem circulações convectivas independentes, quase sempre atingindo maior profundidade do que as nuvens Cúmulos forçadas. A nuvem ascende até seu Nível de Convecção por Levantamento (NCL) com empuxo positivo, atinge seu Nível de Convecção Espontânea (NCE), e a partir deste nível, a ascensão da parcela de ar é espontânea e a nuvem continua o desenvolvimento sob sua própria flutuabilidade (empuxo positivo e circulações próprias), até que alcance uma camada suficientemente estável (ou uma inversão de altitude suficientemente intensa). Neste caso, as parcelas de ar na região do topo da nuvem apresentarão empuxo negativo freando a ascensão e o desenvolvimento da nuvem além daquele nível vertical.
Esta classe de nuvens é chamada de "ativa", pois a nuvem desenvolve circulações convectivas independentes da térmica ativadora, associada à liberação de calor latente e ao empuxo positivo resultante. Pode-se esperar que as nuvens ativas comuns sejam primeiramente impulsionadas por uma térmica original, e então evoluam para um estado onde uma corrente ascendente continuará mesmo após a térmica original ter-se exaurido.
Os topos da maioria das nuvens Cúmulos de bom tempo ativas encontram-se acima Camada limite atmosférica (CLA) convectiva. Portanto, este tipo de cúmulos pode retirar o ar poluído da CLA e depositá-lo mais alto na Atmosfera Livre (i.e. nos níveis médios da troposfera). Estas nuvens são reconhecidas pela presença de uma base achatada, também são brancas e brilhantes, como as passivas. A Atmosfera livre é a parte da troposfera acima da Camada Limite Atmosférica, ou seja é a camada atmosférica onde predomina escoamento laminar (não turbulento), em geral acima de 1,5 km da superfície, não sensível ao ciclo diurno de aquecimento e resfriamento da superfície.
Nuvens Cúmulos passivas
Nuvens cúmulos passivas são encontradas nos estágios finais das nuvens ativas e podem ser considerados como dinamicamente ativas, pois às vezes há uma parcela de ar ascendente positivamente flutuante (com empuxo positivo) no topo da nuvem, embora a base da nuvem já tenha começado a evaporar e a desaparecer por entranhamento, que é a mistura de ar ambiente da atmosfera livre com o ar úmido e relativamente quente interno ao cúmulos. Boa parte desse entranhamento ocorre junto ao topo da nuvem e parte nas laterais da nuvem.
Este tipo de nuvem pode ser reconhecido pela ausência de uma base achatada e o aspecto rasgado ou esfarrapado da base destas nuvens (Cúmulos pannus) normalmente estão presentes nas bases de outras nuvens ativas na área, por exemplo, de um cumulonimbus ou de um Nimbustratus.[4][5]
Nuvens Cumulonimbus
A designação Cumulonimbus (Cb) resulta da união das palavras latinas cumulus, que significa montão, e nimbus, que significa chuva. Na regiões tropicais da Terra, como na Zona de Convergência Intertropical (ZCIT) a maior parte da precipitação (chuva) provem desse tipo de nuvem. Elas também apresentam um papel importante no ciclo energético e na circulação global da atmosfera uma vez que são muito eficientes no transporte de vapor, temperatura potencial equivalente e poluentes entre diferentes níveis da troposfera, e mesmo da baixa estratosfera. Elas também afetam o saldo do balanço radiativo da troposfera. Além disso, influenciam a qualidade do ar e a química de precipitação. São facilmente encontradas na região tropical sobre os continentes, na faixa equatorial na ZCIT, e internamente na faixa de nuvens das frentes-frias, e em sua retaguarda.
Características : O Cb é uma nuvem com gotas e cristais de grande desenvolvimento (grandes), apresenta grande extensão vertical (comparável a extensão da troposfera, atingindo até 12 km ou mais nos trópicos) e tem forma de uma enorme torre protuberante. Pode assumir a forma calva no qual o topo aparece como um domo ou a forma de uma bigorna, com uma enorme extensão superior lateral. Sua base, em geral é relativamente escura. Crescem a partir de nuvens cúmulos ativos e têm o diâmetro da base entre os 500 m e os 2 km, topo que pode atingir 13 km ou mais de altura e sua circulação tridimensional chega a sentir-se num raio de 20 km ou mais da mesma, na forma de frentes de rajada, perturbações da campo de pressão com a formação de uma meso baixa e de uma meso alta, convergência e divergência do campo de vento superficial. Seu desenvolvimento total pode durar entre 20 minutos e uma hora. POdem aparecer isoladas ou em grupo (cluster). A area de precipitação é menor que a área do Cb. Apresenta zonas internas com escoamento ascendente e descendente simultâneas durante seu estagio maduro.
A formação desta começa com o desprendimento de uma parcela de ar aquecida pela radiação solar ou por algum tipo de mecanismo que a force a se elevar, como bloqueio por cadeias montanhosas, zonas frontais, frentes de brisa, mudança da rugosidade da superfície (mar-continente etc). O vapor de água presente na parcela de ar úmido ao subir e atingir o seu ponto de saturação ou a sua temperatura de ponto de orvalho, no nível de condensação por levantamento, se condensa, liberando na parcela o calor latente de condensação, de forma que a parcela fica mais aquecida, acelera na vertical e desenvolve a torre de nuvem que se for muito ativa leva a formação do Cumulonimbus. Enquanto o ar no interior desta nuvem é mais quente do que o ar na vizinhança, a nuvem continua a crescer. A partir desse momento temos três estágios de evolução: Estágio Cumulus, Estágio Maduro e Estágio de Dissipação.
- Estágios típicos do desenvolvimento de tempestades
- Estágio Inicial ou fase Cumulus :
Durante a fase Cumulus, ou fase inicial, as correntes ascendentes provenientes de aquecimento solar ou outros mecanismos, caracterizam o sistema. Elas são alimentadas por convergência de ar quente em superfície e intensificadas pela liberação de calor latente, resultante da condensação de enormes quantidades de vapor de água. Apesar de prevalecerem correntes ascendentes, correntes descendentes próximas ao topo e à base frontal da nuvem podem ocorrer. Neste estágio, pode haver formação de precipitação na parte superior da nuvem.
- Estágio Maduro :
No estágio maduro, a formação de gotículas de água, que ficam sendo arrastadas dentro da nuvem devido às correntes, aumenta o seu raio e podem até formar o granizo de mais de 10 cm de diâmetro. Assim ocorre a precipitação dessas gotas e granizo na parte inferior da nuvem. A precipitação caindo causa um arrastamento no ar, iniciando uma corrente de ar descendente, porém a nuvem ainda possui correntes ascendentes. A criação da corrente de ar descendente é ajudada pelo influxo do ar frio e seco rodeando a nuvem, um processo chamado entranhamento.Este processo intensifica a corrente de ar descendente, porque o ar acumulado é frio e seco e sendo assim, mais pesado. Até o encontro com a superfície, as correntes descendentes se espalham horizontalmente onde podem erguer o ar quente e úmido e assim realimentar o sistema. O topo destas nuvens congela em forma de cristais de gelo, que crescem constantemente à medida que as gotículas de água são arrastadas para cima. A parte superior da nuvem torna-se achatada assim que atinge a tropopausa, congelando e espalhando-se com os ventos fortes em altitude, formando a "bigorna".
Base da nuvem Cumulonimbus associada em precipitação.
Base da nuvem Cumulonimbus associada em precipitação.
Base de uma super cumulonimbus
Bigorna de uma Cumulonimbus vista por satélite
'Cumulus nimbus' em precipitação durante estágio maduro
- Estágio de Dissipação :
No estágio de dissipação o ar erguido pelas correntes descendentes não entra mais na corrente ascendente, deixando de alimentar o sistema, dissipando o cumulonimbus. Este é o começo do estágio de dissipação, que é caracterizado por correntes descendentes. As correntes ascendentes enfraquecem, mas podem continuar principalmente na metade superior da nuvem.[5] [6]

Estágio maduro de uma tempestade

Curiosidades : As tempestades são temidas pelos pilotos de aviação. Por incrível que pareça, um coronel tenente da aeronáutica chamado William Rankin conheceu o interior de uma delas em 1959. Sua queda dentro desta nuvem, por motivos de pane no avião, deveria durar menos de 10 minutos, mas ele ficou dentro da nuvem mais de uma hora devido às correntes de ar no seu interior. Esse homem conseguiu sair vivo mesmo com a brusca diferença de pressão e fortes ventos e granizos que o atingiram.
Nuvens Cumulus Congestus
Nuvenm cumulus congestus, também chamada de cumulus torre é característica de ambiente que com forte convecção. Possuem o mesmo processo de formação do cumulonimbus, porém as correntes ascendentes que alimentam essa nuvem não são tão duradouras quanto às do cumulonimbus. Elas são freqüentemente são caracterizadas por fortes esquemas e excelente vertical desenvolvimento. São mais largas que o cumulonimbus. O cúmulo congestus maduro pode tornar-se um cumulonimbus sob condições de suficiente instabilidade atmosférica. Esta nuvem tipo pode precipitar e é caracterizada também por haver mais de uma unidade associada.
Cumulus Congestus
Cumulus Congestus Torre
Nuvens Stratocumuls
Os Stratocumulus (Sc) são compostos de gotas de água e pertencem ao grupo de nuvens baixas. Estas nuvens são rugosas, cinzentas, esbranquiçadas, ou ambos e quase sempre apresentam partes escuras. Apresentam um formato arredondado, tipo rolos e são não-fibrosas (exceto para Virga). Podem formar fileiras com pedaços de céu azul visível entre elas e as precipitações são raras nessa nuvem.
Estas nuvens aparecem nas formas de grupos, linhas ou ondas, alinhadas em uma ou em duas direções. Mesmo quando os stratocumulus cobrem todo céu eles têm um aspecto ondulado em sua superfície inferior. Muitas vezes têm um apreciável desenvolvimento vertical e, por isso são susceptíveis de serem confundidas com pequenos cumulus. No entanto, ao stratocumulus têm uma forma irregular mais suave que os cumulus e quando vistos de cima apresentam seus topos a uma altura uniforme.
Podem ser confundidas com Altocumulus, mas seus elementos apresentam maior extensão (em geral, maiores do que 5°), e a maior proximidade do solo pode ser revelada pelo movimento aparente mais rápido ou por bordas menos nítidas, mas sempre de aspecto cumuliforme. Nuvens Stratocumulus são formadas sob uma grande variedade de condições de tempo, desde de espontaneamente em céu claro até pela dissipação das partes baixas de Cumulunimbus ou Cumulus de grande desenvolvimento. Podem se originar a partir do abaixamento de nuvens Altocumulus e/ou Altostratus já existentes, ou da elevação de camadas de Stratus no período de aquecimento diurno, geralmente como intermediárias entre estas e nuvens Cumulus. Quando resultam do espalhamento horizontal de nuvens Cumulus que tiveram a ascensão convectiva inibida por uma camada de inversão (sobretudo em finais de tarde nas regiões temperadas, exibindo, então, topos planos quando observadas à distância), denominam-se Stratocumulus cumulogenitus ou Stratocumulus vesperalis. Antes de mudanças bruscas de tempo, às vezes observa-se uma forma de aparência convectiva mais típica, em que torres cumuliformes erguem-se de uma base ou camada mais ou menos contínua (Stratocumulus castellanus). Podem produzir precipitação leve, principalmente nas formas mais espessas ou quando resultam da degeneração de Cb's.[7][8][9]
Nucleação Homogênea
A formação de gotículas ocorre em ambiente de ar limpo, totalmente sem poeira ou partículas outras que as moléculas dos gases do ar puro, basicamente moléculas de Nitrogênio, Oxigênio, e vapor de água, chamado de ar limpo (ou puro). Na nucleação homogênea, goticulas diminutas se formam por colisão aleatória (ao acaso) de moléculas de vapor de água. Uma teoria levando em conta a energia livre de Gibs permite avaliar o potencial de crescimento dessas gotículas diminutas. A teoria mostra que o crescimento das goticulas somente poderia ocorrer sob supersaturação, isto é, com condições de umidade relativa do ar superior a 100%. Particularmente, o crescimento seria significante (grande o suficiente para explicar gotículas de nuvem) somente para valores de umidade relativa bem superiores a 100%, por exemplo, 114%. (ref. Wallace and Hobb). Essas condições de umidade não ocorrem naturalmente na atmosfera terrestre, na qual umidades relativas não ultrapassam os poucos porcento acima da saturação, isto é, observa-se valores de até 101 a 103%, mas não além disso. Desta forma, o processo de nucleação homog~enea não explica a formação de gotas de nuvem (de raio até 100 micro-metros) na atmosfera. Note-se que sob condições de subsaturação, umidade relativa abaixo de 100%, as goticulas de água pura formadas aleatoriamente pela nucleação homogênea tendem a evaporar, de acordo com a teoria.
Pela nucleação homogênea, as gotinhas de água pura não se formam em nuvens naturais. Na atmosfera elas se formam em torno de Núcleos de Condensaçao de Nuvens (NCN), que correspondem a uma fração menor dos aerossóis, pelo que conhecemos como nucleação heterogênea.
Condições para a formação de gotas
- Condição Subsaturada (e < es ), i.e. pressão de vapor de água real é menor que a pressão de vapor de saturação (equilíbrio de Clausius-Clapeyron), isto é, a umidade relativa é menor que 100%.
- Condição Supersaturada (e > es ), isto é, a umidade relativa é MAIOR que 100% (supersaturaçao).
Conforme o gráfico:
ΔE = aumento liquido de energia do sistema devido a formação da gota;
ΔE* = variação de energia máxima que a gota precisa para crescer (barreira de energia);
R = raio da gota;
r = parâmetro para a formação da gota (tamanho crítico);
e = pressão de vapor ;
es = pressão de vapor saturado.
Condição subsaturada
Em condições subsaturadas, temos que (e < es) : Nessas condições a formação de gotinhas ocorre devido à colisão e agrupamento aleatório de moléculas de vapor de água, gotinhas embrionárias se formam mas evaporam todas. Isso ocorre devido ao fato de quanto maior for a gotícula, maior será a energia ΔE requerida pelo sistema para sua formação, portanto não se trata de um processo que ocorra de forma espontânea na atmosfera terrestre.
Condição supersaturada
Em condições supersaturadas, temos (e > es ) : As gotinhas que se formam por colisão molecular e que atingir um tamanho crítico r* crescem espontaneamente através do processo de difusão de vapor. Goticulas com raio menor aur r* tendem a evaporar. Conforme vemos no gráfico, se:
- R < r, as gotícula evapora;
- R = r, a gotícula estável;
- R > r, gotícula apresenta crescimento espontâneo.
Neste caso, ΔE pode ser negativo ou positivo dependendo do valor de R. Podemos ver pelo gráfico que inicialmente ΔE aumenta com o aumento de R, atinge um valor máximo em R=r, ΔE* , e diminui com o aumento de R.
Como as gotículas iniciais apresentam raios muito pequenos menores que 1 micro-metro, o processo de nucleação homogênea não resulta na formação de gotas de nuvem. Isto é, esse processo não explica a formaçao de gotas na atmosfera.[5][10][11]
Nucleação Heterogênea
Introdução
A nucleação heterogênea de gotas e cristais é a forma que ocorre na atmosfera terrestre, porque não requer condições de grande supersaturação do vapor de água, mas somente alguns poucos porcento, tipicamente 1 a 3% acima do valor de saturação (ou condição de equilíbrio de Clausius-Clapeyron) (100%) e ar comum umido, composto pelo ar real que contém particulas particulares aptas a funcionar como núcleos de condensação de nuvem e núcleos de condensação de gelo.
A nucleação homogênea nao ocorre normalmente na atmosfera, poraue as condiçoes necessarias a sua ocorrência nao são encontradas na troposfera, onde existe a maior parte do vapor de água disponível para condensação. No laboratório a nucleação homogênea pode ser realizada controlando-se as condições de temperatura e pressão do vapor de água em um volume controlado de ar limpo (i.e. de uma mistura de gases sem partículas, formalmente ar totalmente limpo).
No caso da nucleação heterogênea de gotas de nuvem ou de cristais de gelo, as moléculas de vapor de água presentes na atmosfera se agrupam a volta de um Núcleo de Condensação de Nuvem (CCN, do inglês: Cloud Condensation Nuclei) para formar um pequeno volume envolto por moléculas de água, formalmente uma gotícula nucleada, com diâmetro maior que poderia ser conseguida pelo processo de nucleação homogênea
A formaçao de uma goticula inicial de tamanho suficientemente grande para que o crescimento seja espontâneo ocorre então a partir de uma particula especial chamada Núcleo de Condensação de Nuvem (NCN) (ou CCN do inglês cloud condensation nuclei), e no caso de um cristal de gelo, em torno de particulas especiais chamadas nucleos de condensaçao de gelo (NCG) (ICN, do inglês: Ice Condensation Nuclei) que cresce então para formar o hidrometeoro cristal de gelo, origem de cristais de todo tipo (agulhas, prismas, placas hexagonais, dentriticos, irregulares etc), de neve que é um agrupamento dos belos cristais de neve, rime, conglomerados regulares e irregulares.
É no estágio de nucleação que os átomos se arranjam de uma forma definida e periódica, agregando-se de forma ordenada e regular ao redor do nucleo de condensaçao de gelo (em geral uma particula de substância cristalina hexagonal, e.g. silica, iodeto de prata etc), que acaba por definir a estrutura cristalina de base hexagonal dos cristais de gelo (hidrometeoro sólido), prismáticos e hexagonais.
Definição
Sob determinadas condições atmosféricas, certos aerossóis particulares (na realidade uma pequena fração deles) fornecem substrato para a formação de gotas e cristais pelo processo de nucleação heterogênea. Neste caso, a formação da gotícula de nuvem ou do cristal de gelo ocorre num ambiente de ar úmido (não saturado, saturado e supersaturado).
Uma superfície esférica a ser criada com a nucleação heterogênea a partir dos NCN ou CCI requer menor energia em comparação à mesma superfície criada com o processo de nucleação homogênea. Desta forma, na atmosfera terrestre as condições são tais que a nucleação heterogênea é praticamente o único processo responsável pela formação de gotículas em nuvens e diminutos cristais abaixo de zero graus célsius. As condições de supersaturação do vapor de água, isto é, umidades relativas bem acima de 100% podem ser realizadas somente em laboratório.
Na nucleação heterogênea, as gotículas de nuvem podem se formam mesmo para valores de umidade relativa abaixo de 100%. Isso é relevante, pois na atmosfera isto ocorre realmente. Por exemplo, a névoa seca que é constituída por gotículas pequenas ocorre sob condições de umidade relativa do ar entre 60% e 80%, e também na névoa unida para umidade relativa do ar entre 80% e 100%. Isso não é possível na nucleação homogênea que requer condições de umidade relativa bem acima de 100%, por exemplo, 110%. Na atmosfera valores acima de 101, 102 ou 103% de umidade relativa (super-saturação) não aso encontradas.
Os Núcleos de Condensação de Nuvem que se dissolvem na água na forma de íons, como os sais, ou mesmo substâncias detergentes, favorecem em muito o processo de nucleação heterogênea, uma vez que promovem a redução da tensão superficial da solução aquosa e a conseqüente redução da energia necessaria para a formação da superfície da gotícula. Uma vez formada, a gotícula pode crescer (aumentar sua massa, volume e raio) pelo simples aumento da umidade relativa do ar, sob condições ainda não-saturadas (isto é, para umidades relativas abaixo de 100%). Ao atingir um certo raio critico r* a gotícula crescerá espontaneamente sem a necessidade de aumento da umidade relativa do ar, bastando para tal uma pequena supersaturação, por exemplo, 101%, que é comum dentro das nuvens.
O processo de nucleação heterogênea explica a formação e crescimento das gotas de nuvem desde o agrupamento de moléculas em torno do CCN até o raio típico de gotas de nuvem (em torno de 0,01 mm). Como as gotas de chuva apresentam dimensão típica de 1 mm, outro processo deve ocorrer para a formação das gotas de chuva. Trata-se do processo de colisão-coalescência.
Termodinâmica da Nucleação Heterogênea
A análise termodinâmica realizada para a nucleação homogênea pode ser aplicada para a nucleação heterogênea, porém substituindo-se a variável raio da gotícula de água pura pelo raio médio da partícula do núcleo de condensação.
A presença do NCN (que é apenas uma pequeno fração do número total do aerossol atmosférico) diminui a energia necessaria para a formaçao da superficie goticula (interface sujeita a tensão superficial do líquido) a ser criada, reduzindo a energia crítica total (Energia Livre de Gibbs). Portanto, o número de moléculas necessárias para formar a gotícula de raio maior que o raio crítico associado ao inicio do processo de crescimento espontâneo. Assim, as gotas de nuvem (raio típico de 0,01 mm) podem ser formadas em cerca de 20 minutos.[5][10]
As gotas de chuva, maiores (tipicamente com 1 mm de raio requerem outro processo, como a fusão de grandes cristais de gelo nas nuvens precipitantes frias e do processo de colisão coalescência das nuvens quentes rasas (típicas de clima tropical) e de grande desenvolvimento vertical (com regioes quente abaixo da isoterma de zero grau e fria acima), como nuvens de tempestade.
Tempestades segundo suas classificações
Segundo McNulty (1995), o National Weather Service (NWS) dos Estados Unidos define tempestade severa como aquelas que têm ocorrência de tornados, ventos acima de 26 m/s (50kt) ou mais, danos associados à rajadas e/ou granizos de 1,9 cm de diâmetro ou mais. Existem muitas tentativas de classificar tempestades, Browning (1977) usa o termo ordinárias (simples) para se referir à tempestades que não completam o ciclo de três estágios no período de 45-60 min e que o estágio maduro dura apenas 15-30 min. Fazendo assim, distinção deste tipo com um tipo mais vigoroso de convecção normalmente chamado ‘Supercélula’.
Intensidade das chuvas:
- Chuva fraca apresentam taxa de precipitação (rainfall em inglês) de até 1 mm por hora, i.e. até 1 litro de água caindo em uma superficie de 1 metro quadrado por hora;
- Chuva moderada apresentam taxa de precipitação de até 10 mm por hora, i.e. até 10 litros de água caindo em uma superficie de 1 metro quadrado por hora;
- Chuva forte apresentam taxa de precipitação acima de 10 mm por hora, i.e. mais de 10 litros de água caindo em uma superficie de 1 metro quadrado por hora.
Supercélulas
Tempestades em forma de Supercélulas, segundo Weisman & Klemp (1986) são o tipo de tempestade potencialmente mais destruidor dentre todos. Supercélulas podem produzir fortíssimos ventos, "downbursts", "microbursts", e tornados de longa duração. As correntes ascendentes e descendentes coexistem em um estado quase estável por períodos de 30 min ou mais. Este tipo de tempestade está associada com um forte giro do vetor cisalhamento do vento com a altura nos primeiros 4 km acima da superfície e pode originar-se com o redesenvolvimento de células ordinárias (simples) iniciais. Ao observar uma Supercélula pelo radar pode-se perceber uma região vazia, chamada ‘bounded weak-echo region’ ou (BWER), onde as correntes ascendentes são tão fortes que não há tempo suficiente de formar precipitação detectável no radar. A maioria das tempestades severas são supercélulas. Destacam-se pela sua persistência, 2 a 6 horas, em um sistema de uma única célula. As correntes ascendentes podem exceder 40 m/s, capazes de sustentar pedras de gelo do tamanho de uma uva.
Multicélulas
Um outro tipo de tempestade severa é a chamada Multicélula, tipicamente composta de duas a quatro células que podem encontrar-se em diferentes estágios de evolução. Alguns estudos se referem aos cumulus congestus periféricos como nuvem-alimento, pois se deslocam em direção ao sistema de tempestade e se fundem com a célula mãe. Outros, como Browning (1977), se referem a esta linha de cumulus como ‘células filhas’, sendo que essas novas células não se fundem com as células mães, mas crescem rapidamente para serem o novo centro da tempestade. As células novas se formam tipicamente em intervalos de 5-10 min e apresentam tempo de vida característicos de 20-30 min. Também apresentam regiões fraco sinal detectável pelo radar (weak-echo region - WER), porém não são tão bem delimitadas como as BWERs das Supercélulas. A maioria das precipitações de granizo são geradas em tempestades de várias células, cada uma com um ciclo de vida de 45 à 60 min. O sistema de tempestade, pode ter tempo de vida de várias horas. Sistemas multicélulas, onde as correntes ascendentes atingem 25 à 35 m/s, produzem pedras de gelo do tamanho de uma bola de golfe. Elas ocorrem onde há instabilidade atmosférica e onde há intenso cisalhamento vertical.
Divergências entre Supercélulas e Multicélulas
Há divergências quanto ao critério de distinção entre Supercélulas e Multicélulas. Pode-se levar em consideração a aparência visual das células filhas, ou alegar que a Supercélula é nada mais que uma Multicélula onde as células filhas estão agregadas à nuvem, ou mesmo que Multicélulas podem se desenvolver em Supercélulas. Além do mais, existe uma continua faixa de tipos de tempestades, que vai desde às multicélulas menos organizadas, às mais organizadas, e às Supercélulas mais firmes. Vasiloff et al. (1986) propõe uma relação onde a distancia L entre células com corrente ascendente deve ser muito menor que o diâmetro da corrente D para ser classificada como Supercélula. Já Weisman & Klemp (1984) propõem uma classificação baseada na pressão de baixos níveis, nos gradientes verticais de pressão que intensificam as correntes ascendentes, grau de correlação entre a corrente ascendente e a vorticidade vertical, e características de propagação. Eles também afirmam que forte cisalhamento nos primeiros 6 km ou uma certa faixa do número de Richardson, que relaciona o empuxo com a diferença entre o vento dos baixos e médios níveis, é uma condição necessária para a formação de uma supercélula. .[5][10]
Nevoeiro
Nevoeiro é uma suspensão de minúsculas gotículas de água ou cristais de gelo numa camada de ar próxima à superfície da Terra. Por convenção internacional, usa-se o termo nevoeiro quando a visibilidade horizontal no solo é inferior a 1 km; quando a visibilidade horizontal no solo é superior a 1 km, a suspensão é denominada névoa. O nevoeiro é uma nuvem com base em contato com o solo. O nevoeiro pode formar-se quando o ar torna-se saturado através de resfriamento radiativo, resfriamento advectivo, resfriamento por expansão (adiabático) ou por adição de vapor d’água.
4.1 Nevoeiro de Radiação
O nevoeiro de radiação resulta do resfriamento radiativo da superfície e do ar adjacente. Ocorre em noites de céu limpo, ventos fracos e umidade relativa razoavelmente alta. Se a umidade relativa é alta, apenas um pequeno resfriamento abaixará a temperatura até o ponto de orvalho e uma nuvem se formará. Se o ar está calmo o nevoeiro pode ser raso (menos de 1 m de profundidade) e descontínuo. Para um nevoeiro com maior extensão vertical, é necessária uma brisa leve de 3 a 4 km/h. O vento fraco produz mistura fraca que transfere calor para a superfície fria, fazendo com que uma camada maior se resfrie até abaixo do ponto de orvalho e levando o nevoeiro para cima (10 ou 30 m) sem dispersá-lo. Exemplos de nevoeiro de radiação:
Nevoeiro de Superfície: É considerado como sendo aquele formado a partir de uma inversão térmica de superfície causada pelo resfriamento radiativo que ocorre durante uma única noite, sendo a inversão destruída durante o dia. Muitas vezes o resfriamento por si só não é suficiente para formar nevoeiro, exceto em noites com ventos muito calmos. Quanto maior for o vento, menor será a chance de uma inversão térmica de superfície, pois a turbulência associada ao campo de vento irá carregar calor para baixo. Outro ponto a ser citado é a cobertura de nuvens. Se existe nebulosidade, parte da radiação perdida pela superfície é absorvida pelas nuvens e então refletida de volta e reabsorvida novamente pela superfície, o que impede a formação de nevoeiros. Assim, noites calmas e de céu claro permitem que a radiação emitida pela superfície escape para o espaço e, portanto, formam condições ideais para resfriamento de ar na superfície. Normalmente são rasos e desaparecem rapidamente após o nascer do sol.
Nevoeiro de alta inversão: Este é basicamente um fenômeno de inverno e como todos os nevoeiros do tipo radiativo, ocorre apenas sobre o continente. Ele é formado não pelo resultado da perda radiativa de uma só noite, como no caso do nevoeiro de superfície, mas pela contínua perda de calor por radiação que caracteriza regiões fora dos trópicos durante o inverno.
4.2 Nevoeiro de advecção
O nevoeiro de advecção ocorre quando ar quente e úmido passa sobre uma superfície fria, resfriando-se por contato e também por mistura com o ar frio que estava sobre a superfície fria, até atingir a saturação. Certa quantidade de turbulência é necessária para um maior desenvolvimento do nevoeiro. Assim, ventos entre 10 e 30 km/h são usualmente associados com nevoeiro de advecção. A turbulência não só facilita o resfriamento de uma camada mais profunda de ar, mas também leva o nevoeiro para alturas maiores. Diferentemente dos nevoeiros de radiação, nevoeiros de advecção são freqüentemente profundos (300–600 m) e persistentes. Exemplos de nevoeiro de advecção:
Nevoeiro associado à brisa terrestre ou marítima: No inverno, a advecção de ar do mar relativamente quente para o continente relativamente frio causa nevoeiro sobre o continente; entretanto, estes nevoeiros estão mais relacionados a fenômenos radiativos do que a transportes horizontais de massas de ar e, portanto não devem ser colocados na categoria de nevoeiros advectivos. Na maioria dos casos de nevoeiro associado à brisa terrestre/marítima, flutuações na direção do vento, usualmente de natureza diurna, fazem parte do mecanismo. O ar proveniente do continente aquecido é resfriado ao passar sobre a superfície fria do oceano. Se os ventos forem de moderado a forte, a turbulência pode manter uma abrupta taxa de resfriamento nas camadas inferiores, e nuvens estratiformes se formarão sob a inversão turbulenta. Entretanto, se o vento for fraco, uma densa superfície de nevoeiro pode ser desenvolvida sobre o oceano.
Nevoeiro de ar marítimo: Este nevoeiro se forma no resfriamento do próprio ar marítimo sobre uma corrente fria. Sendo assim, o nevoeiro associado ao ar marítimo pode ocorrer em qualquer lugar do oceano onde houver significativa diferença de temperatura.
Nevoeiro de ar tropical: Este tipo de nevoeiro está relacionado ao gradativo resfriamento do ar tropical à medida que ele se move de latitudes mais baixas em direção aos pólos sobre o oceano. Pode ocorrer também no inverno sobre os continentes, onde o gradiente latitudinal de temperatura pode ser muito maior do que sobre os oceanos. Por outro lado, a turbulência sobre o continente é maior do que sobre o oceano por conta da rugosidade de superfície, o que pode tornar mais difícil a condensação direta como nevoeiro de superfície, exceto em casos com vento fraco. Sobre o mar, verificou-se que o nevoeiro pode se mantiver com ventos intensos mais facilmente do que em relação ao continente. Ar tropical marítimo em movimento sobre o continente no inverno é imediatamente sujeito a fortes processos de resfriamento radiativo, o que pode se tornar mais importante do que o próprio resfriamento pela advecção latitudinal.
4.3 Nevoeiro de vapor
Nevoeiro de vapor: Quando ar frio se move sobre água mais quente, a água evapora, aumentando a razão de mistura do ar (ou pressão de vapor) que, com suficiente evaporação, pode atingir a umidade relativa de 100%. A saturação ocorre ainda que o ar seja aquecido um pouco em contato com a água mais quente. O aumento na umidade relativa, causada pela rápida evaporação, compensa a diminuição da umidade relativa causada pelo aquecimento do ar pela água. Como o ar é aquecido por baixo, ele é instabilizado, sobe, e o vapor d’água encontra o ar mais frio, condensando-se e subindo com o ar que está sendo aquecido por baixo. O nevoeiro então aparece como correntes ascendentes que lembram fumaça ou "vapor". Ocorre freqüentemente sobre lagos e rios no outono e início do inverno, quando a água pode ainda estar relativamente quente. O mesmo fenômeno também ocorre em dias frios sobre uma piscina externa aquecida. A saturação por adição de vapor pode ocorrer também por evaporação de chuva em ar frio próximo ao ponto de orvalho (nevoeiro frontal ou de precipitação).
4.4 Nevoeiro do tipo advectivo-radiativo
Nevoeiro do tipo advectivo-radiativo: Este nome é dado ao nevoeiro que se forma por resfriamento radiativo noturno sobre o continente de ar procedente do mar durante o dia. Em geral, é como outros nevoeiros do tipo radiativo, porém se deriva de circunstâncias especiais pois ar com alta umidade oriundo de superfícies de águas quentes é resfriado radiativamente durante a noite sobre o continente. Ocorre principalmente no fim do verão e outono quando a água está relativamente mais quente e é, portanto capaz de produzir uma alta temperatura do ponto de orvalho no ar sobrejacente e também quando as noites são longas o bastante para um resfriamento considerável.
4.5 Nevoeiro orográfico
O nevoeiro orográfico: Este nevoeiro é criado quando ar úmido sobe terreno inclinado, como encostas de colinas ou montanhas. Devido ao movimento ascendente, o ar se expande e resfria adiabaticamente. Se o ponto de orvalho é atingido, pode-se formar uma extensa camada de nevoeiro.
4.6 Nevoeiro pré-frontal
Nevoeiros pré-frontais (frentes quentes): Os efeitos de precipitação em colunas estáveis de ar podem aumentar a temperatura do ponto de orvalho até que nevoeiro seja formado sem resfriamento da camada de ar inferior. Estas condições são mais facilmente obedecidas no lado frio adiante de uma frente quente. Massas de ar continental polar de inverno quando associadas com frentes quentes e precipitantes comumente apresentam nevoeiro ou nuvens estratiformes bem baixas por serem bastante estáveis. Por outro lado, uma massa de ar marítima polar não é estável o bastante para permitir a formação de nevoeiro. Assim como para os demais tipos de nevoeiro, a intensidade do vento é um fator importante. Uma vez que frentes quentes estão em geral associadas com ciclones cuja circulação é mais intensa do que o normal, nuvens estratiformes de frente quentes são mais comuns que nevoeiros de frente frias.
4.7 Nevoeiro pós-frontal
Nevoeiros pós-frontais (frentes frias): Há uma sutil diferença entre nevoeiro de frente quente e de frente fria, uma vez que ambos se formam pela umidade da precipitação frontal. Entretanto, desde que a banda de precipitação associada a uma frente fria é muito mais restrita em área do que a de uma frente quente, os nevoeiros pós-frontais são menos espalhados. De fato, apenas frentes frias que se tornaram quase-estacionárias, usualmente orientadas na direção leste-oeste que apresentam extensas áreas de nevoeiro. Como no caso de frente quente, estas circunstâncias causam nevoeiro apenas se o ar frio for estável.
4.8 Nevoeiro frontal
Nevoeiro frontal: Existe uma variedade de maneiras nas quais nevoeiros podem se formar temporariamente durante a passagem de uma frente. A mistura de massas de ar quente e frio na zona frontal pode produzir nevoeiro se o vento for bem calmo e se ambas as massas estiverem perto da saturação antes da mistura. O súbito resfriamento do ar sobre a superfície úmida com a passagem de uma frente fria marcadamente precipitante pode causar um nevoeiro provisório ao longo da frente. No verão, especialmente em latitudes baixas, o resfriamento da superfície por evaporação de água de chuva pode ser tanto o resfriamento necessário quanto o suprimento de umidade necessário para a formação do nevoeiro. Basicamente este tipo de nevoeiro se dá por abaixamento da base da nuvem durante a passagem da frente em condições extremamente úmidas.
Radar Meteorologico
O Radar - Radio Detection And Ranging ( detecção e localização através de ondas de rádio) é um sistema eletrônico usado para detecção e localização de objetos (conhecidos como alvos). Com a crescente necessidade de detectar e quantificar nuvens desenvolveu-se o Radar aplicado à Meteorologia, sendo conhecido como Radar Meteorológico.
Um sistema radar consiste basicamente de cinco subsistemas:
- Um transmissor para gerar pulsos curtos de energia eletromagnética, em frequencia de microondas;
- Uma antena para emissão direcionada desses pulsos e para recepção de energia retroespalhada pelos alvos;
- um receptor para detectar, amplificar e processar os sinais muitos fracos recebidos pela antena;
- Um comutador para para chaveamento automático (processador de sinais de visualização);
- Um monitor (display) para apresentação dos produtos gerados pelo sistema de radar.
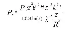
Equação do Radar:
Tudo que será refletido pelo objeto (alvo) depende da potência de retorno. É importante considerar as características do alvo, do radar e a distância do radar ao alvo, pois estes irão determinar a quantidade de potência recebida. Essa relação é resumida por meio da equação do radar meteorologico ou "equação do radar" proposta por J. R. Robert em 1962 como:
Pr = potência média retornada de um alvo para o radar [dBm]
Pt = potência de pico transmitida [dBm]
g = ganho da antena [adimensional]
θ = largura angular do feixe [graus]
H = largura do pulso (PW) [μseg]
K = constante física dielétricas (função da natureza do alvo) [un]
Z = refletividade do alvo [mm6/m³]
λ = comprimento de onda eletromagnética emitida [cm]
R = distância do alvo [km]
L = Perda por atenuação [dB]
Eletricidade Atmosférica

Todas as nuvens possuem um grau de eletricidade. No entanto, nuvens com intensos movimentos verticais possuem cargas elétricas suficientes para gerar campo elétrico, onde, na maioria das vezes resulta em descargas luminosas em seu interior.
A distribuição das cargas nas tempestades elétricas é observada através de aviões instrumentados e/ou através de uma radiosondagem especial conhecida como altielectrographs, que mede as variações do campo elétrico no terreno sob as nuvens carregadas. Uma síntese destes estudos está representada na figura 8.1, onde conseguimos observar a distribuição de cargas no interior de uma tempestade. As magnitudes destas encontram-se aproximadamente entre 10 e 100C (Coulomb) tanto para as cargas positivas quanto para as negativas. Notamos também que a localização das cargas negativas (chamada de main charging zone) fica bem definida entre os níveis de temperatura de -10°C e -20°C. Já as cargas positivas não possuem uma região bem defina, porém, sabemos que estão acima do nível das cargas negativas.
É importante ressaltar que a maioria dos registros de relâmpagos são observados em nuvens frias, no entanto, também são encontrados registros em nuvens quentes. Outro resultado observacional importante, de onde vem a base da maioria das teorias sobre tempestades elétricas, é que os registros das mais intensas descargas elétricas são acompanhados de intensa precipitação de granizo e saraiva (grandes pedras de gelo) no interior da nuvem (detectados por radar). Para grande parte destas teorias, as partículas de granizo ou saraiva que precipitam no interior da nuvem colidem com gotículas de água e cristais de gelo, gerando assim um aumento das cargas negativas na main charging zone. Entretanto, temos também pequenas partículas que ascendem impulsionadas pelos intensos movimentos convectivos gerando carga positiva no topo da nuvem. Diversos mecanismos potencialmente promissores foram propostos, porém, ainda não foi possível explicar a taxa de geração de energia observada nas tempestades ou, por outros motivos, foram insustentáveis. Então, a partir de agora iremos descrever uma destas propostas de mecanismos de transferência de carga durante a colisão entre a saraiva e os cristais de gelo.

Testes em laboratórios mostraram que a carga elétrica é separada quando os cristais de gelo colidem com a saraiva e seguidamente, são rebatidos. A magnitude desta carga é aproximadamente 10 fC por colisão, e a grande quantidade de colisões é suficiente para que ocorra o aumento da taxa de geração de cargas em uma tempestade. O sinal da carga recebida pela saraiva irá depender da temperatura, do conteúdo da água líquida da nuvem, e das taxas relativas ao crescimento tanto da saraiva, quanto dos cristais de gelo. Se a saraiva crescer mais devagar que os cristais de gelo, o primeiro citado receberá as cargas negativas desta transferência e os cristais ficaram com as respectivas cargas negativas.
A transferência de cargas aparece devido ao fato dos íons positivos atravessarem a saraiva mais rapidamente que os íons negativos. Como uma nova camada de gelo é criada pela deposição do vapor, os íons positivos iram migrar rapidamente para o interior da ‘pedra’ deixando sua superfície negativamente carregada. Durante a colisão, o material de cada partícula é misturado, porém, as cargas negativas são transferidas com uma taxa de crescimento menor.
Em algumas tempestades, cargas positivas relativamente pequenas são observadas abaixo da main charging zone (figura 8.1). Isso pode estar associado as precipitações sólidas ou aos processos de mistura.
Como as cargas elétricas são separadas dentro da nuvem, a intensidade do campo elétrico aumenta e eventualmente excede a limite em que o ar é capaz de sustentar. Então, esse campo assume a forma de flashes luminosos que podem gerar (1) clarões dentro da nuvem, entre nuvens ou entre a nuvem e o ar (os chamados ‘relâmpagos’) ou (2) raios entre a nuvem e o solo.
Os raios onde o solo é carregado negativamente em forma de descargas são chamados de stepped leader, que se movem da nuvem para o solo num espaço de tempo da ordem de µs. Acredita-se que estes raios são iniciados por descargas locais entre as cargas positivas na base da nuvem e as cargas negativas da main charging zone (figura 8.2). Essas descargas lançam elétrons (previamente associados às partículas de precipitação na parte negativa da nuvem) que neutralizam as cargas positivas abaixo da main charging zone e as lançam ao solo. Conforme elas se aproximam do solo, induzem as cargas positivas principalmente em objetos salientes e entre 10 e 100m do solo. Após esse contato, uma enorme quantidade de elétrons é liberada e um raio luminoso e um grande estrondo sonoro podem ser observados.
A maioria dos raios produzem três ou quatro estrondos separados por cerca de 50 ms, podendo cada um, remover mais de 20C da parte mais baixa da tempestade.
Referências
- 1 2 Wallace and Hobbs: Atmospheric Sciences (livro texto em inglês)
- ↑ «Termodinâmica da atmosfera» (PDF). Universidade de São Paulo (USP). Consultado em 29 de agosto de 2008[ligação inativa]
- ↑ «O que é a meteorologia?». Universidade Federal do Paraná (UFPR). Consultado em 29 de agosto de 2008
- ↑ Stull, R. B., 1984: A Fair-Weather Cumulus Cloud Classification Scheme for Mixed-Layer Studies.
- 1 2 3 4 5 A short Course in Cloud Physics, 3ª edição, R. R. Rogers & M. K. Yau
- ↑ Cotton, William R.; Anthes, Richard A. Storm and cloud dynamics. Academic press; 1989.
- ↑ General Meteorology – Horace Robert Byers
- ↑ «Catálogo de nuvens - Descrição e Classificação das Nuvens». Consultado em 9 de Novembro de 2009
- ↑ «Técnica de voo». Consultado em 9 de Novembro de 2009
- 1 2 3 Wallace & Hobbs: Atmospheric Science.
- ↑ «Cópia arquivada» (PDF). Consultado em 25 de novembro de 2008. Arquivado do original (PDF) em 3 de março de 2016
- ↑ Jiusto - Fog structure: no livro Hobbs & Deepak - CLOUDS Their formation, optical properties and effects.
- ↑ «Nevoeiro». Consultado em 9 de Novembro de 2009
- ↑ http://fisica.ufpr.br/grimm/aposmeteo/cap6/cap6-1-2.html