Leilão

Leilão de carrinhos de corrida em Cheviot, Ohio, 2004.

O leilão ou hasta é uma modalidade de negociação, muito difundida em órgãos públicos e empresas privadas, além de lotas de pesca, na qual a venda e a compra solicitadas pela oferta e a procura de bens ou serviços se encontram de maneira simples e rápida.

No caso de leilões públicos de venda, o leiloeiro irá ler as condições de venda descritas no catálogo, as quais deverão ser acompanhadas por todos os compradores. O leiloeiro é um agente público, pertencente à categoria ficção doutrinária do Direito Administrativo Brasileiro.

Em seguida os lotes em leilão serão anunciados um a um. Assim que o lote de interesse da pessoa for anunciado, ela deverá levantar a mão para dar um lance (se necessário falando ao leiloeiro o valor do seu lance).

Martelo típico utilizado em leilão.

Lote é um conjunto formado de um ou mais bens que serão leiloados. No caso de leilão de veículos, um lote pode ser formado por apenas um automóvel, enquanto em um leilão de materiais um lote pode ser constituído por um conjunto de motores e peças diversas.

Caso existam mais pessoas interessadas no mesmo lote inicia-se uma disputa para decidir quem dará o maior lance começando com o lance mínimo. É basicamente uma disputa de "quem dá mais" (NBS).

Lance mínimo é o menor preço para que um determinado lote seja vendido, se o lance mínimo não for atingido será aceito um lance condicional, "lance condicional" é o termo utilizado quando o maior lance ofertado por um bem leiloado não atinge o valor mínimo de venda exigido por seu vendedor (arrematante).

Teoria dos leilões

Leilão de venda
Leilão de compra
Leilão duplo: agentes identificados
Leilão duplo: agentes não identificados

A teoria dos leilões é um ramo da Teoria dos jogos que estuda o comportamento dos participantes de leilões, bem como as diversas possibilidades de formatação destes mecanismos.

O leilão é um mecanismo econômico de negociação definido por uma série de regras para especificar a forma de determinação do vencedor e quanto este deve pagar. Uma característica marcante para os leilões é a presença de assimetria de informações, que faz com que a caracterização deste mecanismo se torne necessária, uma vez que diferentes tipos de leilões podem levar a resultados divergentes.

Os leilões podem ser definidos quanto à sua natureza (oferta, demanda ou duplo), forma como os lances são oferecidos (aberto ou fechado) e método de determinação do preço de fechamento (primeiro ou segundo preço). Além disso, pode ou não possuir preço de reserva, que é o menor lance válido para participação no leilão. O preço de reserva é usado apenas em casos em que compradores/vendedores especificam preços, acima/abaixo do qual não estão dispostos a negociar.

Leilões podem ainda ser usados sequencialmente (multi-round), por meio de procedimento interativo de atualização dos lances a cada interação. Alguns economistas acreditam que leilões sequenciais permitam que participantes alcancem um despacho final adequado com respeito à operação e rentabilidade. As maiores desvantagens desse leilão são o risco de colusão e a dificuldade de implementação. Leilões sequenciais são usados no National Electricity Market (NEM) da Austrália e no New Zealand Electricity Market (NZEM).

Quanto à definição dos leilões, tem-se:

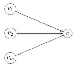
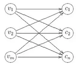
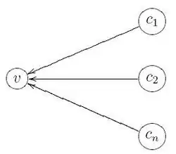
  • Natureza: É determinada através do papel exercido pelos distintos grupos de participantes (compradores e vendedores) no leilão. Essa característica permite diferenciar leilões como sendo de oferta, de demanda ou duplo.
    • Oferta: Vendedores ofertam um bem que o comprador pretende adquirir pelo menor preço. O preço do produto leiloado é determinado pelos vendedores. O demandante pode fixar um preço de reserva acima do qual o bem não é adquirido e vence o participante que fizer o menor lance de oferta.
    • Demanda: Compradores fazem lance de demanda para comprar um bem que o vendedor pretende disponibilizar pelo maior preço. Vence o participante que fizer o maior lance de demanda, desde que seu lance seja maior do que o preço de reserva.
    • Duplo: Vendedores fazem lances de oferta e compradores fazem lances de demanda simultaneamente. O preço de fechamento deste leilão é estabelecido no intervalo entre os lances de oferta e demanda, dependendo das regras estabelecidas. O leilão duplo pode ser caracterizado pela existência ou não de agentes identificados, ou seja, os agentes podem negociar entre si ou por intermédio de um leiloeiro.
  • Forma: A forma de um leilão estabelece a característica que determina como são realizados os lances. A divisão quanto à forma dá-se entre leilão aberto ou fechado.
    • Aberto: Preço do bem leiloado é determinado através de um processo dinâmico de estabelecimento do lance vencedor. Este processo dinâmico pode ocorrer de forma ascendente ou descendente.
      • Ascendente (leilão inglês): Quando os lances são realizados sequencialmente, cada um deles melhorando o lance imediatamente anterior temos o chamado leilão aberto ou inglês. Os lances são descendentes no leilão de oferta e ascendentes no leilão de demanda. Neste leilão, o preço pode ser anunciado pelo vendedor (relógio, onde o valor do lance para o produto é alterado com o passar tempo) ou pelos compradores interessados. A negociação se encerra quando a quantidade demandada pelos agentes remanescentes no leilão se torna inferior à oferta ou com o tempo máximo para negociações alcançado. Este leilão permite que o valor de oportunidade de cada participante seja confrontado com o dos demais. Um forte argumento a favor da utilização do leilão inglês é sua simplicidade estratégica, uma vez que os participantes não necessitam de considerações complexas para determinar sua estratégia de atuação. Existem, porém, algumas características negativas relacionadas a este tipo de leilão. Uma é a natureza em tempo real do leilão, produzindo custos de transação relativamente altos quando comparados ao leilão fechado. Além disso, este tipo de leilão, quando aplicado ao despacho de sistemas elétricos, não revela a curva da oferta para geradores remanescentes no mercado.
      • Descendente (leilão holandês): O leiloeiro inicia o leilão com um valor extremamente alto e reduz o mesmo continuamente. O primeiro agente a aceitar o lance corrente obtém o item. Um lance equivalente ao valor de oportunidade do agente maximiza sua probabilidade de sucesso na transação, sendo seu benefício (diferença entre o valor de oportunidade e o preço de fechamento) nulo. A possibilidade de aumento de ganhos cresce à medida que o preço é reduzido. O leilão Holandês requer uma avaliação do mercado e do valor do bem leiloado. Negligenciar esta avaliação ex-ante aumenta a chance de o agente não realizar negócio.
    • Fechado: Os lances são apresentados simultaneamente ao leiloeiro em envelopes fechados. Ganham os participantes que fizeram os melhores lances, desde que o preço de reserva tenha sido alcançado. A preferência de alocação das unidades leiloadas é para os agentes com melhores lances de preço, até que estas unidades se esgotem. Este leilão exige que cada participante faça o lance considerando exclusivamente seu valor de oportunidade, pois ele somente toma conhecimento dos demais lances quando o leilão está encerrado. Esta forma de leilão faz com que ofertantes submetam lances de preço iguais ao seu custo e lances de quantidade equivalentes à sua capacidade. Afirmam ainda que, na prática, é responsável pelo aumento do preço da eletricidade e redução da eficiência do leilão com relação ao leilão teórico.
  • Preço de fechamento/Preço de fecho: O preço de fechamento impõe regras para determinação do valor pelo qual o bem leiloado é negociado. Em um leilão, o preço de fechamento pode ser definido como sendo uniforme ou discriminatório.
    • Uniforme: Este é o tipo de preço de fechamento mais utilizado em leilões para comercialização de energia elétrica, tendo sido usado nos leilões de venda, compra, excedentes e certificados. Em um leilão uniforme, todos os agentes vencedores pagam o mesmo preço, independentemente do valor de seus lances. O preço uniforme pago por todas as unidades adquiridas é igual ao primeiro lance de preço rejeitado. Os leilões de preço uniforme (de oferta ou demanda) podem ser de:
      • Primeiro-preço: Ganha o participante que fizer o melhor lance, onde o preço de liquidação corresponde ao lance ganhador. É o tipo de leilão preferido pelos vendedores, uma vez que tende a gerar preços superiores ao valor ótimo:
      • Segundo-preço (Vickrey): Vence o participante que fizer o melhor lance, sendo o preço de liquidação correspondente ao melhor lance perdedor. Apesar de muito recomendado pelos economistas, o leilão de segundo preço tem sido raramente posto em prática, ao menos em casos de leilão multi-item. Leilões de segundo-preço podem ser facilmente manipulados pela solicitação, por parte do leiloeiro, de lances-fantasma próximos ao maior lance submetido. Leilões de segundo-preço tendem a ter seu preço de fechamento inferior ao preço ótimo devido à falta de conhecimento, por parte dos compradores, de que a estratégia dominante é dar um lance igual ao valor de oportunidade. Este leilão é incentivador (incentive compatible), uma vez que leva os agentes participantes a apregoar lances equivalentes a sua valoração real do item.
    • Discriminatório (Yankee): Cada agente vencedor paga o valor de seu lance pelo produto requerido. Este leilão tende a desencorajar a utilização de poder de mercado através de uma maior visibilidade de preços. O leilão discriminatório também tem o potencial de reduzir casos de retenção estratégica de capacidade, acentuando a confiança no sistema. Este formato de modelo (pay-as-bid) foi adotado pela Inglaterra e pelo País de Gales após as reformas de março de 2001 no setor elétrico. Autoridades regulatórias Britânicas acreditavam que leilões de preço uniforme eram mais sujeitos à manipulação estratégica por parte de grandes negociadores que leilões de preço discriminatório. Além disso, esperavam que este novo formato trouxesse reduções nos preços de energia no atacado.

Teorema da equivalência de receitas

O teorema da equivalência de receitas é o principal teorema da teoria dos leilões e, segundo ele, sob certas condições, todos os tipos de leilão geram a mesma receita esperada. As condições para verificação desta característica são a existência compradores neutros ao risco com avaliações privadas geradas a partir de variáveis independentes e identicamente distribuídas (iid). Assim, qualquer mecanismo, no qual os vencedores sejam os agentes com maior valor esperado para o produto e qualquer agente com a menor valoração espera zero de excedente, resulta em compradores realizando o mesmo pagamento esperado. Estas características indicam o funcionamento de um leilão ótimo para o caso geral. Assim, dadas estas premissas, qualquer leilão é vencido pelo agente com maior valoração do objeto.

Regras de conduta internacionais em oferta pública

Não é uniforme o comportamento esperado das pessoas em um leilão presencial que deve forçosamente ter mais de 1(um) agente, se - não se trata de leilão; muitas das regras de conduta são as mesmas de qualquer evento social, todavia esperam-se alguns comportamentos mínimos e há algumas considerações a se ter em mente para participar de um leilão:

  1. Não é necessário convite. O leilão é público e deve ser acessível aos cidadãos interessados. Ele tem a necessidade jurídica de ser aberto a qualquer eventual comprador - todavia pode ser necessária a democratização desse evento segundo a Organização das Nações Unidas (ONU) leilão Público Internacional, bem como a qualificação prévia por meio de inscrição ou outros critérios segundo o montante ideal para a oferta, que seja acessível ao maior número possível de agentes".
  2. Em caso de interesse real, seja para aprender sobre o conteúdo do pregão ou para comprar, visite antecipadamente a exposição e tome as informações sobre os lotes antecipadamente e democraticamente acessíveis ao maior número de pessoas/agentes possível.
  3. Vista-se de acordo com o ambiente, a hora e o público do evento.
  4. Pontualidade; esta regra básica de qualquer evento social. Quem chega tarde pode simplesmente perder a oportunidade para outro interessado.
  5. Cadastre-se, se pretende fazer lance em alguma peça ou se desejar receber os convites posteriores em casa.
  6. Evite o álcool, principalmente se pretende fazer alguma compra! Em muitos leilões são oferecidas bebidas, mas a sobriedade é aconselhável ao bom negócio.
  7. Ao fazer um lance, deixe clara sua oferta ao leiloeiro, procurar ser discreto para o público e visível para o pregoeiro.
  8. Faça apenas lances adequados ao valor do lote, mesmo que o leiloeiro deixe em aberto. Lance pequeno demais é ignorância ou insulto.
  9. Suba a oferta de acordo que o que estiver sendo praticado.
  10. Não faça um lance além de suas posses. O lance no leilão tem o valor de um contrato firmado perante a autoridade que oferece ao mercado e essa deve fracionar o lote obrigatoriamente, sob pena da lei (perigo da chamada corrupção): o leiloeiro - agente independente, que é um funcionário independente - das - partes, e/ou seu representante tem função pública - isenta, e é como tal se o contrato fosse registrado em cartório.

Ver também

  • Leilão eletrônico
  • Leilão holandês - sistema em que os preços descem até haver uma licitação
  • Leilão chinês
  • Leilão de um centavo
  • Leilão de virgindade

Ligações externas