Kevlar

Kevlar
Estrutura molecular do kevlar
Identificadores
Número CAS 24938-64-5
Propriedades
Fórmula química [-CO-C6H4-CO-NH-C6H4-NH-]n
Página de dados suplementares
Estrutura e propriedades n, εr, etc.
Dados termodinâmicos Phase behaviour
Solid, liquid, gas
Dados espectrais UV, IV, RMN, EM
Exceto onde denotado, os dados referem-se a
materiais sob condições normais de temperatura e pressão.

Referências e avisos gerais sobre esta caixa.
Alerta sobre risco à saúde.

Kevlar é a marca registada da DuPont para uma fibra sintética de aramida muito resistente e leve. Trata-se de um polímero resistente ao calor e cinco vezes mais resistente que o aço por unidade de peso. O kevlar é usado na fabricação de cintos de segurança, cordas, construções aeronáuticas, velas, coletes à prova de bala, linhas de pesca, de alguns modelos de raquetes de ténis, na composição de alguns pneus, para fitas de alguns modelos de pedal de bumbo e telemóveis, como o Motorola RAZR i. O tanque de combustível dos carros de Fórmula 1 é composto deste material, para evitar que objectos pontiagudos perfurem os tanques no momento da colisão. Existem vários tipos de Kevlar; o que é produzido pela polimerização de p-fenilenodiamina com cloreto de tereftaloila tem fórmula básica (-CO-C6H4-CO-NH-C6H4-NH-)n.

História

Na década de 60, o nylon e o poliéster representava a tecnologia de ponta das fibras sintéticas. Entretanto, para alcançar uma grande tenacidade (resistência à ruptura) e um módulo de elasticidade elevado, as moléculas do polímero necessitam estar numa configuração de corrente estendida e com um empacotamento cristalino quase perfeito. Com polímeros de corrente flexível, tais como nylon e poliéster, isso somente podia ser feito mecanicamente, arranjando as fibras depois de fundir e tecer o polímero base. Esta operação requer que as cadeias fossem desembaraçadas e orientadas no estado semi-sólido, o que é muito mais difícil. Em consequência, os níveis de tenacidade e o módulo de elasticidade do material ficavam longe dos valores teoricamente possíveis.[1]

Stephanie Kwolek

A descoberta do processo de fabricação de fibra de aramida tipo Kevlar se iniciou em 1965, quando a cientista química america-polonesa Stephanie Kwolek, pesquisadora da DuPont, sintetizou uma série de poliamidas aromáticas para-orientadas. [2]

Inicialmente a solução era "turva, opalescente ao ser agitada e de baixa viscosidade" e geralmente era descartada. No entanto, Kwolek persuadiu o técnico, Charles Smullen, que administrava os filamentos, a testar sua solução, e ficou surpreso ao descobrir que a fibra não quebrava, ao contrário do nylon. Seu supervisor e seu diretor de laboratório entenderam o significado de sua descoberta e um novo campo da química de polímeros surgiu rapidamente.

Com um novo método de produção de uma cadeia quase perfeita, o polímero poli-p-benzamina foi desenvolvido para formar soluções cristalinas líquidas devido à simples repetição de sua espinha molecular. A necessidade estrutural chave para formação desta coluna vertebral é a para-orientação do anel benzeno, o que permite a formação de uma estrutura molecular tipo bastão. [3]

Em 1971, o moderno Kevlar foi introduzido. No entanto, Kwolek não estava muito envolvida no desenvolvimento das aplicações do Kevlar.

Síntese

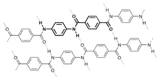
Síntese do Kevlar

Os métodos mais comuns para preparação de poliamidas aromáticas são as reações de cloreto de diácidos com diamidas a baixas temperaturas ou reações de condensação direta em solução dos diácidos aromáticos com diamidas em elevadas temperaturas. O Kevlar é preparado comercialmente por condensação da p-fenilenodiamina (PPD) e dicloreto de tereftaloíla, ou m-fenilenodiamina (MPD) e dicloreto de isoftaloíla utilizando Metilpirrolidona (NMP) como solvente e CaCl2 como o componente iônico, formando assim o Kevlar, uma poliamida aromática com estrutura da poli(p-fenileno tereftalamida), preparada a partir da reação do ácido tereftálico (TPA) com a p-fenilenodiamina como mostra a figura a seguir. [4]

Propriedades

As aramidas são polímeros, onde cada segmento de aramida é uma unidade química que contém quatorze átomos de carbono, dois átomos de nitrogênio, dois átomos de oxigênio e dez átomos de hidrogênio. As fibras aramidas são classificadas como fibras orgânicas da família das poliamidas aromáticas. Isto significa que as mesmas contêm grupos amida e grupos aromáticos. Os polímeros aromáticos são reconhecidos pela sua estabilidade térmica em altas temperaturas. Devido à estabilidade molecular conferida pelo núcleo benzênico, os aromáticos são os hidrocarbonetos que apresentam maior resistência à auto-ignição, ou seja, tem alto poder antidetonante.[1]

No caso do Kevlar, as moléculas de p-fenileno tereftalamida (PPT) incluem grupos fenila inerentemente planares e segmentos de amida. As cadeias de PPT assumem uma conformação totalmente estendida e totalmente trans. Assim, as características estruturais cristalográficas conferem às cadeia de PPT um caráter semelhante a uma haste rígida. Tais moléculas estão dispostas em camadas, que coincidem com os planos cristalográficos. A estrutura em camada é estabilizada, principalmente, pelas ligações de hidrogênio da cadeia. Por conta do arranjo periódico da rede e das ligações de hidrogênio, a própria camada adquire uma rigidez razoável. Estas orientações são controladas principalmente pelas interações intra-moleculares.[5]

A poli(p-fenileno tereftalamida) é fiada a partir de uma solução liotrópica em ácido sulfúrico (formação de cristal líquido na presença de solventes, onde o eixo das moléculas tendem a ficar paralelas, seguindo uma direção preferencial a altas temperaturas, formando uma fibra resistente a chamas e com alta resistência a tração. Esta fibra apresenta elevadas rigidez, resistência mecânica e estabilidade térmica devido ao maior alinhamento molecular que é alcançado através da fiação. Estas propriedades fazem do Kevlar uma fibra de alto interesse para indústria, sendo usada em coletes a prova de balas, uniformes de bombeiros, luvas térmicas, entre outras.

Fibras de aramidas têm elevadas temperaturas de fusão, em muitos casos, mais de 500°C, que são às vezes superiores à temperatura de decomposição. Devido à baixa inflamabilidade e melhor resistência à oxidação que as poliamidas alifáticas, são muito utilizadas em aplicações que requerem resistência à chama.[4]

A fibra de aramida também apresenta leveza, tem baixa constante dielétrica, e baixo coeficiente de expansão térmica (CTE), e uma boa estabilidade dimensional. No entanto, a adesão interfacial nesses compósitos é péssima, uma vez que as estruturas químicas inertes e as superfícies lisas das fibras impedem as ligações químicas e o entrelaçamento mecânico a vários substratos, levando a uma deficiência nas propriedades dielétricas e resistência a umidade.[6][7]

As fibras de aramida são fornecidas em diversas formas, tais como fios, segmentos curtos, polpa, tecidos e não tecidos. A principal diferença entre elas é a finalidade de aplicação.

Aplicações

Cordas mecânicas - [8]a alta resistência, alto módulo, baixo alongamento e peso das fibras de aramida se aplicam bem em cordas e cabos de muitas construções, e levaram a utilização bem sucedida de ambas as cordas mecânicas e cabos eletromecânicos. Cordas mecânicas feita de fibra de Kevlar-29 com elevadas forças de ruptura são utilizados em linhas de reboque, linhas de ancoragem e linhas de elevação de plataforma de petróleo. Cabos eletromecânico com membros feitos por fibras de Kevlar-29 foram desenvolvidos com sucesso para uso em redes de sensores marítimos e cabos de correntes para veículos de trabalho submarinos não tripulados e para aplicações militares e comerciais.

Armaduras - [9]compósitos de fibra kevlar têm sido extensivamente utilizado como estruturas leves para armadura que vão desde capacetes militares até os sistemas dos veículos de grande porte, como aeronaves, veículos terrestres e embarcações navais. [10]Componentes aeroespaciais, artigos esportivos e veículos de alta velocidade. Essa fibra também é utilizada em aplicações especiais como coletes à prova de bala, onde a resistência ao impacto é uma prioridade.

Medicina - [11]No desenvolvimento de materiais ideais para aplicações ortopédicas, as fibras de Kevlar têm sido utilizados em combinação com reforços de carbono atuando como um reforço resistente ao impacto. No entanto, a natureza higroscópica das fibras de Kevlar é uma preocupação. [12]A fraca resistência a absorção de umidade é uma das desvantagens dos compósitos de fibra de Kevlar.

Impactos ambientais e Reciclagem

[13]As fibras de aramida, conhecidas como Kevlar, são fabricadas com recursos não renováveis, as fibras sintéticas não são biodegradáves e levam cerca de 400 anos para se decompor totalmente. Por ser um processo complexo, a produção traz algumas preocupações ambientais. Alguns produtores utilizam petróleo bruto para isolar os polímeros, que pode levar ao esgotamento de combustíveis fósseis e poluição ambiental por escoamento. A produção química de ácido adípico também cria frequentemente óxido nitroso, que é um gás de efeito estufa. Este gás tem o potencial de corroer a camada de ozônio e promover a poluição atmosférica.

[14]A Dupont do Brasil implementou em 2008 um programa inovador e pioneiro em todo o mundo. Tornando possível reciclar os coletes à prova de bala utilizando a aramida destes produtos para a produção de polpas de Kevlar®. A principal aplicação destas polpas é na indústria automotiva, mais especificamente em pastilhas de freio. Devido ao alto desempenho, resistência e ausência de elementos tóxicos na fibra, é possível substituir o amianto pelo Kevlar®. Esta mudança acarreta em características positivas para a pastilha de freio como melhor coeficiente de fricção, menor desgaste do material e diminuição na geração de ruídos, possibilitando uma contribuição significativa para a segurança dos usuários de veículos.

A iniciativa de reciclagem foi desenvolvida decorrente do alto custo de manutenção de um colete já fora do ciclo de vida útil. Armazenagem, controle do espaço físico, extravio do material, alto investimento para realizar a incineração do produto são fatores significativos quando analisados em conjunto. Além disso, um colete obsoleto pode chegar a ter um reaproveitamento de 2 quilos de aramida – fator que contribui diretamente para esse novo processo de sustentabilidade. A geração de resíduos é outro ponto importante, pois torna-se um fator progressivo, já que os coletes possuem um prazo de validade restrito e precisam ser repostos a cada cinco anos, de acordo com a recomendação do Guia de Seleção e Aplicação de Coletes à Prova de Bala NIJ 100-01.

Este projeto beneficia diretamente todos os usuários de coletes confeccionados com aramida, como a Polícia Civil, Militar, empresas de segurança privada e o próprio meio ambiente. Além de colaborar para a sustentabilidade, o usuário também será beneficiado economicamente, pois parte do investimento inicial realizado com a compra do colete poderá voltar com a recompra da aramida pela DuPont.

Referências

  1. a b BERNARDI, S., Avaliação do comportamento de materiais compósitos de matrizes cimentícias reforçadas com fibra de aramida Kevlar. Dissertação (mestrado em engenharia civil) UFRGS, Porto Alegre, 2003.
  2. YANG, H. H. Kevlar Aramid Fiber. Wiley, 1993.
  3. DU PONT. Du Pont de Nemours & Co., Inc., E.I Catálogo Técnico, 199-.
  4. a b FONTOURA, C. M. Síntese e caracterização de poliamidas furânicas de fonte renovável. Tese de doutorado UFRGS, Porto Alegre, 2015.
  5. NORTHOLT, M. G. X-Ray diffractionstudy of poly(phenylene terephthalamide) fibres. European Polymer Journal, v. 10, p. 799-804, 1974.
  6. SU, M.; et al. The effect of oxygen-plasma treatment on Kevlar fibers and the properties of Kevlar fibers/bismaleimide composites. Elsevier Science Ltda. Applied Surface Science. v. 257, p. 3158-3167, 2011.
  7. CUNHA, R. A. D. Influência da absorção de umidade no comportamento mecânico nos compósitos poliméricos híbridos Kevlar/vidro quando imerso em água do mar e petróleo. Dissertação (pós-graduação em engenharia mecânica), UFRGN, Natal, 2015.
  8. SEBASTIAN, M. S., et al. Viscoelastic properties of Kevlar - 29 fabric tape strength member. Mechanics of Materials, v. 40, p. 949-960, 2008.
  9. NOLET SC, SANDUSKY PM. Impact resistant hybrid composite for aircraft leading edges. SAMPE Quarterly, v 17, p. 46-53, 1996.
  10. KISHORE, K. P. Intermolecular shear of woman fabric Kevlar-epoxy composites in three-point loading. Elsevier Science Ltda. Materials Science and Engineering A. v. 197, p. 113-118, 1995.
  11. WAN, Y. Z., et al. Characterization of three-dimensional braided carbon/Kevlar hybrid composites for orthopedic usage. Material Science Engineering A. v. 398, p. 227-232, 2005.
  12. AKAY, M. et al. Influence of moisture on the thermal and mechanical properties of autoclaved and oven-cured Kevlar-49/epoxy laminates. Composite Science Technologic, v.57, p.565-71, 1997.
  13. «ACV-Fibras-de-Aramida.pdf». Google Docs. Consultado em 16 de julho de 2019 
  14. «DuPont apresenta projeto inovador de reciclagem de Kevlar®.». Du Pont. 4 de agosto de 2008. Consultado em 15 de julho de 2019 

Ver também

  • Stephanie Kwolek - Inventora do Kevlar