Inibidor da aromatase

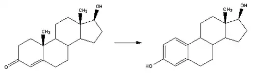
A Aromatase converte testosterona em estradiol
A aromatase converte androstenediona em estrona

Os inibidores da aromatase (AIs ou IAs) são uma classe de medicamentos que bloqueiam a enzima aromatase, sendo usados para o tratamento do câncer de mama e o câncer dos ovários em mulheres no período pós-menopausa. Também são drogas utilizadas no manejo dos leiomiomas. Também utilizado em terapia pós ciclo de esteroides.