Ácido condroitinossulfúrico

Atuante em mecanismos de sustentação, aparece no tecido conjuntivo, principalmente nas cartilagens. Ácido condroitinossulfúrico é um dos ácidos que compõe a substância intercelular, responsável pela fixação entre as células, dando assim firmeza aos tecidos. É também um cimento celular o ácido hialurônico. O sulfato de condroitina ou sulfato de condroitina é um heteropolissacárido sulfatado do grupo dos glicosaminoglicanos composto por uma unidade dissacarídica repetida formada por N-acetilgalactosamina e ácido glucurónico. O sulfato de condroitina está normalmente associado a proteínas, formando proteoglicanos. Uma cadeia de sulfato de condroitina pode consistir em mais de 100 açúcares individuais, cada um dos quais pode ser sulfatado em diferentes posições e em diferentes números.
O sulfato de condroitina é um componente importante da maioria dos tecidos de vertebrados e invertebradoss e é abundante naqueles com muita matriz extracelular, como os que formam o tecidos conjuntivos do corpo, cartilagem, pele, vasos sanguíneos, ligamentoss e tendãos . O sulfato de condroitina fornece à cartilagem as suas propriedades mecânicas e elásticas e confere ao tecido grande parte da sua resistência à compressão.
Descrição e propriedades físico-químicas
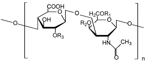
As cadeias de sulfato de condroitina são polissacarídeoss de comprimento variável que contêm dois monossacarídeoss alternados: ácido D-glucurónico (GlcA) e N-acetil -D -galactosamina (GalNac). Dentro desta unidade dissacarídica, as ligações glicosídicas entre os açúcares são beta 1,3, e entre uma unidade dissacarídica e a seguinte são beta 1,4. Quando alguns dos resíduos de ácido glucónico são epimerizados em ácido L-idurónico (IdoA), o polissacárido resultante deixa de ser sulfato de condroitina, mas sim sulfato de dermatano .
Ligação a proteínas
As cadeias de sulfato de condroitina estão ligadas a grupos hidroxil de resíduos serina nas proteínas. A forma exata como as proteínas são selecionadas para se ligarem aos glicosaminoglicanos é desconhecida. Empiricamente, as serinas glicosiladas são geralmente seguidas de glicina e possuem resíduos ácidos adjacentes.
A união das cadeias de glicosaminoglicanos inicia-se com quatro monossacáridos que formam um padrão fixo: xilose (Xil) - Galactose (Gal) - galactose - ácido glucónico (GlcA). Cada açúcar é acompanhado pela ação de uma enzima específica, o que permite múltiplos níveis de controlo sobre a síntese de glicosaminoglicanos. A xilose começa a unir-se às proteínas no retículo endoplasmático, enquanto o resto dos açúcares se junta no aparelho de Golgi.
Sulfatação
Cada monossacarídeo pode ser sulfatado uma ou duas vezes. Normalmente os hidroxils nas posições 4 e 6 da N-acetil-galactosamina são sulfatados. A sulfatação é realizada por sulfotransferases específicas. O grupo sulfato está ligado à galactosamina nas posições 4 e 6, o que explica a existência de dois isómeros de sulfato de condroitina. A sulfatação nestas diferentes posições confere atividades biológicas específicas às cadeias de sulfato de condroitina.
Tipos
O sulfato de condroitina foi isolado muito antes de a sua estrutura ser determinada, o que levou a alterações nos seus nomes ao longo do tempo.[1] Os primeiros investigadores designaram os diferentes frações desta substância.
| Carta de identificação | Posição de sulfatação | Nome do sistema |
| "Sulfato de condroitina A" | carbono 4 da N-acetilgalactosamina (GalNAc) | condroitina-4-sulfato |
| "Sulfato de condroitina C" | carbono 6 de GalNAc | condroitina-6-sulfato |
| "Sulfato de condroitina D" | carbono 2 do ácido glucurónico e 6 do GalNAc | condroitina-2,6-sulfato |
| "Sulfato de condroitina E" | carbonos 4 e 6 da GalNAc | condroitina-4,6-sulfato |
Um nome antigo é "sulfato de condroitina B", que agora se chama sulfatos de dermatano, e já não é classificado como uma forma de sulfato de condroitina.[2]
O termo condroitina (sem adição de "sulfato") é algumas vezes usado para designar a fracção com pouca ou nenhuma sulfatação,[3] ainda que este uso não seja generalizado.
Referências
- ↑ P. A. Levene and F. B. La Forge (1913). «On Chondroitin Sulphuric Acid». J. Biol. Chem. pp. 69–79 Free PDF online Arquivado em 2008-11-05 no Wayback Machine
- ↑ MeSH Chondroitin+sulfates
- ↑ Davidson EA, Meyer K (1954). «Chondroitin, a new mucopolysaccharide». J Biol Chem. pp. 605–11. PMID 13221568 Free PDF online Arquivado em 2008-09-22 no Wayback Machine