Mesalazina

Ácido 5-aminossalícico
Nomes
Nome IUPAC 5-amino-2-hidroxibenzóico
Massa molar 153,136 g/mol
Massa molar 153,136 g/mol
Solubilidade Levemente solúvel em água, praticamente insolúvel em etanol (96%). Dissolve-se em soluções diluídas de hidróxidos alcalinos e em ácido clorídrico diluído.
log P 0,98
Identificadores
Número CAS 89-57-6
PubChem 4075
DrugBank APRD01098
ChemSpider 3933
Código ATC A07EC02
SMILES
 
  • Nc1ccc(O)c(c1)C(=O)O
Propriedades
Fórmula química C7H7NO3
Massa molar 153.119 g mol-1
Farmacologia
Biodisponibilidade orally: 20-30% absorbed
rectally: 10-35%
Via(s) de administração oral, rectal
Metabolismo Rapidly & extensively metabolised intestinal mucosal wall and the liver
Meia-vida biológica 5 hours after initial dose.
At steady state 7 hours
Classificação legal -only (US)
Riscos na gravidez
e lactação
B (EUA)
Compostos relacionados
Outros aniões/ânions Ácido gentísico (2,5-di-hidroxi-carboxílico)
Ácido 5-nitrossalicílico
Compostos relacionados Ácido 3-aminobenzoico
Ácido 4-aminossalicílico (isômero)
Página de dados suplementares
Estrutura e propriedades n, εr, etc.
Dados termodinâmicos Phase behaviour
Solid, liquid, gas
Dados espectrais UV, IV, RMN, EM
Exceto onde denotado, os dados referem-se a
materiais sob condições normais de temperatura e pressão.

Referências e avisos gerais sobre esta caixa.
Alerta sobre risco à saúde.

Mesalazina, ou messalazina, também conhecido como ácido 5-aminossalicílico, é um fármaco pertencente aos grupo dos aminossalicilatos que atua como anti-inflamatório usado no tratamento de doenças inflamatórias intestinais, como a retocolite ulcerativa (RCU) e a doença de Crohn (DC), leve a moderada. Trata-se de um aminossalicilato que age predominantemente no tecido intestinal e, portanto, tem poucos efeitos colaterais sistémicos.[1]

Aprovação

A Mesalazina é um anti-inflamatório indicado para o tratamento de doenças inflamatórias que acometem as mucosas gastrointestinais e também pode ser utilizado para o tratamento sintomático da doença diverticular do cólon, bem como da doença de Crohn.  É uma droga usada para tratar colite ulcerativa ativa leve a moderada e também para manter a remissão uma vez alcançada. Teve seu lançamento em 1984, pela Sanofi/Ferring, farmacêutica responsável. Apresenta-se com o nome IUPAC 5-amino-2-hydroxybenzoic acid. Também é conhecida como Mesalazina ou 5-aminossalicílico (5-ASA).

Quando usada de forma isolada é absorvida no trato gastrintestinal superior, logo após, ocorre a acetilação e a excreção na urina e fezes, o que não ocorre com a sulfassalazina, já que a ponte azo é desfeita pela ação das bactérias presentes no intestino grosso. A mesalazina apresenta-se como cristais em forma de agulhas castanho claro a rosa, com pouca solubilidade em água e quase insolúvel em álcool. É solúvel em soluções diluídas de hidróxidos alcalinos e em soluções diluídas de ácido clorídrico.

É um dos medicamentos pertencentes ao Componente Especializado da Assistência Farmacêutica, que é um programa instituído pelo Ministério da Saúde que visa garantir o tratamento integral através do fornecimento de medicamentos de alto custo no âmbito do Sistema Único de Saúde, que normalmente inclui medicamentos de uso contínuo no tratamento de doenças crônicas e raras.

Farmacologia e Mecanismo de ação

É uma molécula do tipo anfótera e sua solubilidade e ionização dependem dos valores de pH e pKa dos grupos amino e carboxílico da molécula. As formas catiônicas encontram-se em valores de pH abaixo do ponto isoelétrico, as formas dipolares predominam perto do ponto isoelétrico, e as formas aniônicas predominam em valores de pH acima do ponto isoelétrico. Os valores de pH e pKa influenciam na velocidade de liberação da droga como resultado do comportamento anfótero de ionização. A solubilidade da mesalazina em meio de HCl 0,1 M é maior que 18 mg/mL. Já nos meios de dissolução tampão fosfato pH 6,0 e 7,2 são de aproximadamente 1,2 mg/mL e 5,5 mg/mL, respectivamente. (FRENCH; MAUGER, 1993[2]).

Seu mecanismo de ação consiste em: inibição da IL-1 e do FNT-α, inibição da via da lipooxigenase das células com as concentrações alcançadas no intestino grosso durante o tratamento; inibição da produção dos leucotrienos pró-inflamatórios (LTB4 e 5-HETE) pelos macrófagos da parede intestinal e eliminação radicais livres e oxidante (diminuindo a formação de produtos contendo oxigênio reativo), e inibição do NF-kB.

Seu efeito inibitório em vários mecanismos da inflamação pode ser justificado pela capacidade de inibir a ativação do fator nuclear kappa B, envolvido na sinalização final de várias citocinas pró-inflamatórias, quimioquinas, moléculas de adesão, etc. Adicionalmente, a mesalazina inibe a secreção de água e de cloreto e aumenta a reabsorção de sódio no intestino experimentalmente. A eficácia do fármaco depende basicamente do esvaziamento gástrico, trânsito no intestino delgado, pH e revestimento intraluminal.

As suas propriedades são semelhantes às dos AINEs (grupo da aspirina) mas não causam hemorragias gástricas nem são absorvidos para o sangue (têm acção tópica).

O ácido 5-aminossalicílico inibe as enzimas ciclooxigenases COX-1 e COX-2 e a síntese de prostanóides inflamatórios. Inibe, também, a produção de citocinas ao bloquear o NF-KB, o seu factor de transcrição génica nuclear.

A mesalazina é o componente ativo da sulfassalazina, a qual é utilizada para o tratamento da RCU e da DC.

Com base nos resultados clínicos, o valor terapêutico da mesalazina após a administração oral ou retal parece dever-se ao seu efeito local no tecido intestinal inflamado, e não ao efeito sistêmico.

Em pacientes com doença inflamatória intestinal, estão presentes o aumento da migração leucocitária, produção anormal de citocinas, aumento da produção de metabolitos do ácido araquidônico, particularmente do leucotrieno B4, e aumento da formação de radicais livres no tecido intestinal inflamado. A mesalazina tem, in vitro e in vivo, um efeito farmacológico que inibe a quimiotaxia leucocitária, diminui a produção de citocinas e leucotrienos e elimina os radicais livres.[1]

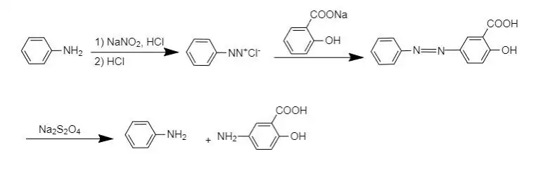
Rota sintética

Existem diversas rotas sintéticas para preparação da mesalazina segundo a base integrity. A messalina pode ser preparada a partir da anilina (I) que reage com nitrito de sódio e HCl para produzir o intermediario benzenodiazônio (II) que pode ser acoplado ao ácido salicílico fornecendo a diazina (III) sem a necessidade de isolamento. A seguir, o composto III é reagido com hidrosulfito de sódio para produzir a mesalazina..






Indicações

A mesalazina, sob a forma de comprimidos de libertação prolongada, está indicada como anti-inflamatório para redução da inflamação das mucosas gastrointestinais na retocolite ulcerativa (RCU) leve a moderada, tanto na indução quanto na manutenção da remissão, e da doença de Crohn (DC) leve a moderada. É utilizada também na prevenção e redução de recidivas dessas doenças. A mesalazina de libertação prolongada também demonstrou ser eficaz em pacientes com intolerância à sulfassalazina. [3][4]

Devido à baixa incidência de efeitos colaterais durante o tratamento com a mesalazina, esta droga pode ser considerada como tratamento inicial em todos os pacientes com retocolite ulcerativa.[5]    

A formulação em grânulos ou sachê (também de liberação prolongada) está indicada como anti-inflamatório para redução das reações inflamatórias que acometem as mucosas gastrointestinais na RCU leve a moderada,em pacientes de mais de 18 anos de idade. Destina-se também à prevenção e redução de recidivas dessa doença.

Os grânulos (sachê) foram tão eficazes quanto os comprimidos no tratamento da RCU leve a moderada. Na indução da remissão em pacientes com RCU leve a moderada, quando combinada com mesalazina enema, a mesalazina sachê 4 g uma vez ao dia foi igualmente eficaz e bem tolerada quanto mesalazina sachê 2 g duas vezes ao dia. Na manutenção da remissão em pacientes com RCU quiescente, a mesalazina sachê 2 g uma vez ao dia foi mais eficaz com melhor aceitabilidade e aderência quando comparada à mesalazina sachê 1 g 2 vezes ao dia.[6][7][8]

Nas formulações em comprimidos ou grânulos de liberação prolongada cobertos com etilcelulose, a mesalazina é liberada de forma contínua a partir dos microgrânulos individuais por todo o trato gastrintestinal, independente do pH e da presença de diarreia.[9][10]

A mesalazina sob a forma de enema destina-se ao tratamento das doenças inflamatórias em porções finais do cólon e no reto (proctossigmoidite ulcerativa e colite esquerda). Apresenta altas taxas de remissão clínica após 4 semanas de tratamento da retocolite ulcerativa distal ativa, em termos de efetiva melhora endoscópica e histopatológica. A associação de mesalazina enema com a mesalazina oral, como terapia combinada para RCU extensa leve a moderada, mostrou ter eficácia superior à terapia unicamente oral.[11]    

A mesalazina em supositórios destina-se ao tratamento das inflamações do reto (proctite ulcerativa). A mesalazina administrada pela via retal é o tratamento de primeira linha para pacientes com retocolite ulcerativa distal ativa leve a moderada.[12][13]

Efeitos úteis

Diminuição da inflamação nessas doenças. Remissão da doença, retardo da progressão, diminuição da probabilidade de episódio agudo.

Efeitos adversos

  • Fraqueza óssea(baixa de cálcio pelo organismo)
  • Vermelhidão nas axílas
  • Dores de cabeça
  • Dores nas articulações
  • Prurido nas regiões genitais

Raros:

Muitos dos efeitos adversos observados nos estudos após o uso de mesalazina podem ser decorrentes da própria doença inflamatória intestinal.

As reações adversas mais frequentemente observadas nos estudos clínicos são diarreia, náusea, dores abdominais, dor de cabeça, vômitos e erupções cutâneas. Reações de hipersensibilidade e febre podem ocorrer ocasionalmente.

Após a administração retal (enema ou supositório), podem ocorrer reações locais como prurido, desconforto retal e urgência para evacuar.[1]

Contraindicações 

A mesalazina está contraindicada a pacientes com hipersensibilidade conhecida aos salicilatos ou a qualquer componente das formulações, e em casos de doenças renais ou hepáticas graves.

A formulação em comprimidos está contraindicada para menores de dois anos de idade.

A formulação em sachê está contraindicada para menores de 18 anos de idade.[1]

Interações 

O tratamento combinado de mesalazina e azatioprina ou 6-mercaptopurina ou tioguanina pode aumentar a frequência de efeitos mielossupressores, entretanto o mecanismo da interação não está totalmente estabelecido. Recomenda-se a monitorização dos leucócitos do sangue para ajustes de dosagem das tiopurinas.[1]

Referências

  1. a b c d e Pentasa® Corporate Core Data Sheet - CCDS (Ferring Pharmaceiticals).
  2. Lai, F. M.; Udenfriend, S.; Spector, S. (novembro de 1975). «Presence of norepinephrine and related enzymes in isolated brain microvessels». Proceedings of the National Academy of Sciences of the United States of America (11): 4622–4625. ISSN 0027-8424. PMC 388775Acessível livremente. PMID 678. doi:10.1073/pnas.72.11.4622. Consultado em 4 de junho de 2021 
  3. Sandborn, W. J.; Hanauer, S. B. (19 de dezembro de 2002). «The pharmacokinetic profiles of oral mesalazine formulations and mesalazine pro-drugs used in the management of ulcerative colitis». Alimentary Pharmacology & Therapeutics. 17 (1): 29–42. ISSN 0269-2813. doi:10.1046/j.1365-2036.2003.01408.x 
  4. Miner, Philip; Hanauer, Stephen; Robinson, Malcolm; Schwartz, Jerrold; Arora, Sanjeev; Pentasa UC Maintenance Study Group (1 de fevereiro de 1995). «Safety and efficacy of controlled-release mesalamine for maintenance of remission in ulcerative colitis». Digestive Diseases and Sciences (em inglês). 40 (2): 296–304. ISSN 1573-2568. doi:10.1007/BF02065413 
  5. Paolo, M. C. Di; Paoluzi, O. A.; Pica, R.; Iacopini, F.; Crispino, P.; Rivera, M.; Spera, G.; Paoluzi, P. (1 de outubro de 2001). «Sulphasalazine and 5-aminosalicylic acid in long-term treatment of ulcerative colitis: report on tolerance and side-effects». Digestive and Liver Disease (em inglês). 33 (7): 563–569. ISSN 1590-8658. doi:10.1016/S1590-8658(01)80108-0 
  6. Dignass, Axel U.; Bokemeyer, Bernd; Adamek, Henning; Mross, Michael; Vinter-Jensen, Lars; Börner, Norbert; Silvennoinen, Jouni; Tan, Gie; Pool, Marco Oudkerk (1 de julho de 2009). «Mesalamine Once Daily Is More Effective Than Twice Daily in Patients With Quiescent Ulcerative Colitis». Clinical Gastroenterology and Hepatology (em inglês). 7 (7): 762–769. ISSN 1542-3565. doi:10.1016/j.cgh.2009.04.004. Consultado em 14 de janeiro de 2022 
  7. Farup, Per G.; Hinterleitner, Thomas A.; Lukáš, Milan; Hébuterne, Xavier; Rachmilewitz, Daniel; Campieri, Massimo; Meier, Rémy; Keller, Ralf; Rathbone, Barrie (agosto de 2001). «Mesalazine 4 g Daily Given as Prolonged-Release Granules Twice Daily and Four Times Daily Is at Least as Effective as Prolonged-Release Tablets Four Times Daily in Patients with Ulcerative Colitis». Inflammatory Bowel Diseases. 7 (3): 237–242. ISSN 1078-0998. doi:10.1097/00054725-200108000-00009. Consultado em 14 de janeiro de 2022 
  8. Flourié, B.; Hagège, H.; Tucat, G.; Maetz, D.; Hébuterne, X.; Kuyvenhoven, J. P.; Tan, T. G.; Pierik, M. J.; Masclee, A. a. M. (abril de 2013). «Randomised clinical trial: once- vs. twice-daily prolonged-release mesalazine for active ulcerative colitis». Alimentary Pharmacology & Therapeutics (em inglês). 37 (8): 767–775. ISSN 1365-2036. doi:10.1111/apt.12266. Consultado em 14 de janeiro de 2022 
  9. Christensen, L. A.; Fallingborg, J.; Abildgaard, K.; Jacobsen, B. A.; Sanchez, G.; Hansen, S. H.; Bondesen, S.; Hvidberg, E. F.; Rasmussen, S. Nørby (1990). «Topical and systemic availability of 5-amino-salicylate: comparisons of three controlled release preparations in man». Alimentary Pharmacology & Therapeutics (em inglês). 4 (5): 523–533. ISSN 1365-2036. doi:10.1111/j.1365-2036.1990.tb00499.x. Consultado em 14 de janeiro de 2022 
  10. Christensen, L. A.; Slot, O.; Sanchez, G.; Boserup, J.; Rasmussen, S. N.; Bondesen, S.; Hansen, S. H.; Hvidberg, E. F. (1987). «Release of 5-aminosalicylic acid from Pentasa during normal and accelerated intestinal transit time.». British Journal of Clinical Pharmacology (em inglês) (3): 365–369. ISSN 1365-2125. PMC 1386240Acessível livremente. PMID 3567055. doi:10.1111/j.1365-2125.1987.tb03061.x. Consultado em 14 de janeiro de 2022 
  11. Marteau, P.; Probert, C. S.; Lindgren, S.; Gassul, M.; Tan, T. G.; Dignass, A.; Befrits, R.; Midhagen, G.; Rademaker, J. (1 de julho de 2005). «Combined oral and enema treatment with Pentasa (mesalazine) is superior to oral therapy alone in patients with extensive mild/moderate active ulcerative colitis: a randomised, double blind, placebo controlled study». Gut (em inglês) (7): 960–965. ISSN 0017-5749. PMC 1774619Acessível livremente. PMID 15951542. doi:10.1136/gut.2004.060103. Consultado em 14 de janeiro de 2022 
  12. Marshall, John K.; Irvine, Jan E. (julho de 2000). «Putting Rectal 5-Aminosalicylic Acid in Its Place: The Role in Distal Ulcerative Colitis». Official journal of the American College of Gastroenterology (em inglês). 95 (7): 1628–1636. ISSN 0002-9270. doi:10.1111/j.1572-0241.2000.02180.x. Consultado em 14 de janeiro de 2022 
  13. GIONCHETTI, P.; RIZZELLO, F.; VENTURI, A.; BRIGNOLA, C.; FERRETTI, M.; PERUZZO, S.; CAMPIERI, M. (novembro de 1997). «Comparison of mesalazine suppositories in proctitis and distal proctosigmoiditis». Alimentary Pharmacology and Therapeutics. 11 (6): 1053–1057. ISSN 0269-2813. doi:10.1046/j.1365-2036.1997.00259.x. Consultado em 14 de janeiro de 2022 

Predefinição:Rota sintética