Fosfatidilserina
Fosfatidilserina
| |||||||
|---|---|---|---|---|---|---|---|
![]() | |||||||
![]() | |||||||
| |||||||
| |||||||
| Página de dados suplementares | |||||||
| Estrutura e propriedades | n, εr, etc. | ||||||
| Dados termodinâmicos | Phase behaviour Solid, liquid, gas | ||||||
| Dados espectrais | UV, IV, RMN, EM | ||||||
| Exceto onde denotado, os dados referem-se a materiais sob condições normais de temperatura e pressão. Referências e avisos gerais sobre esta caixa. Alerta sobre risco à saúde. | |||||||
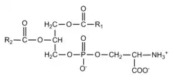
A fosfatidilserina, abreviada como PS (da palavra inglesa) é um componente fosfolipídico, normalmente mantido no folheto interno, o lado citosólico, das membranas celulares, por uma enzima denominada translocase aminofosfolipideo ATP. Quando uma célula passa por morte por apoptose, a fosfatidilserina não está mais restrita ao lado citosólico da membrana, mas torna-se exposta na superfície da célula.
Possíveis Benefícios à Saúde
Memória e Cognição
Os primeiros estudos da fosfatidilserina (PS) destilavam a substancia do cérebro bovino. No entanto, devido a preocupações com a Encefalopatia Espongiforme Bovina, os estudos e produtos modernos disponíveis no mercado são feitos a partir da soja. Os ácidos graxos ligados à serina no produto de soja não são idênticos aos do produto de bovino, que também são impuros. Estudos preliminares em ratos indicam que o produto da soja é pelo menos tão eficaz como a de origem bovina. [1][2]
No entanto, subsequentes ensaios clínicos em seres humanos demonstraram que "um suplemento diário de Fosfatidilserina derivada da soja não afetou a memória ou outras funções cognitivas em idosos com queixas de memória."[3]
Em 13 de maio de 2003, a Food and Drug Administration dos EUA declarou: "com base na avaliação da totalidade das evidências científicas disponíveis ao público, a agência concluiu que não há consenso significativo entre os experts de que exista uma relação entre fosfatidilserina e a redução do risco de demência ou disfunção cognitiva. " A FDA também declarou que "dos 10 estudos que formaram a base da avaliação da FDA, todos eram muito embrionários e limitados na sua confiabilidade de uma ou mais formas."
Conclui que "a maioria das evidências não sustentam uma relação entre fosfatidilserina e a redução do risco de demência ou disfunção cognitiva, e que a prova de que dá suporte a essa relação é muito limitada e ainda em fase embrionária." A FDA, no entanto concedeu status de "alegação qualificada de saúde" à fosfatidilserina, afirmando que "o suplemento de PS pode reduzir o risco de demência em idosos" e que "O suplemento de PS pode reduzir o risco de disfunção cognitiva em idosos".
Nutrição Esportiva
A Fosfatidilserina demonstrou acelerar a recuperação e evitar a dor muscular, melhorar o bem-estar, e pode possuir propriedades ergogênicas em atletas envolvidos em ciclismo, musculação e corridas de resistência. A Fosfatidilserina derivada da Soja, dependendo da dose (400 mg), é relatada como um suplemento eficaz no combate ao estresse induzido pelo exercício, bloqueando o aumento nos níveis de cortisol devidos ao estresse físico.[4] O suplemento de Fosfatidilserina promove um desejável equilíbrio hormonal em atletas e pode atenuar a deterioração fisiológica que acompanha o excesso de esforço e / ou estiramento muscular.[5] Em estudos recentes, a Fosfatidilserina demomonstrou melhorar o humor em uma população de jovens com estresse mental. Em um grupo de golfistas, melhorou a precisão das tacadas iniciais, aumentando a resistência ao estresse dos jogadores.[6]
Déficit de atenção e hiperatividade
Estudos preliminares indicam que a suplementação de PS pode ser benéfica para crianças com déficit de atenção e hiperatividade.[7][8]
Segurança
Tradicionalmente, os suplementos de PS eram obtidos a partir do córtex bovino (BC-PS), porém, devido ao potencial de risco de doenças infecciosas, o PS derivado da soja (S-PS) se estabeleceu como uma potencial alternativa segura. PS derivado da soja tem status de GRAS (geralmente reconhecido como seguro), sendo um suplemento nutritivo seguro para idosos se tomado até uma dose de 200 mg, três vezes ao dia.[9] A fosfatidilserina demonstrou reduzir a resposta imune específica em ratos.[10][11]
Fontes Nutricionais
A Fosfatidilserina (PS) pode ser encontrada na carne, mas é mais abundante no cérebro e em vísceras como fígado e rim. Apenas pequenas quantidades de PS podem ser encontrados em produtos lácteos ou em produtos hortícolas, com exceção do feijão branco.
Tabela 1. Conteúdo de Fosfatidilserina (PS) em alimentos.[12]
| Alimento | Conteúdo de PS em mg/100g |
|---|---|
| Cérebro Bovino | 713 |
| Cavalinha (Scomber Scombrus) | 480 |
| Coração de frango | 414 |
| Sardinha da América do Sul | 360 |
| Enguias | 335 |
| Vísceras (valor médio) | 305 |
| Baço suíno | 239 |
| Rim suíno | 218 |
| Atum | 194 |
| Coxa de frango com pele, sem osso | 134 |
| Fígado de frango | 123 |
| Feijão branco | 107 |
| Moluscos (Mya arenaria) | 87 |
| Peito de frango, com pele | 85 |
| Tainha | 76 |
| Vitela | 72 |
| Carne bovina | 69 |
| Carne Suína | 57 |
| Fígado suíno | 50 |
| Perna de peru, sem pele, desossada | 50 |
| Peito de peru, sem pele | 45 |
| Lagostim | 40 |
| Choco ou Sépia | 31 |
| Bacalhau | 28 |
| Anchova | 25 |
| Cevada integral | 20 |
| Pescada | 17 |
| Sardinha européia (Sardina pilchardus) | 16 |
| Truta | 14 |
| Lecitina de soja | 10-20 |
| Arroz (integral) | 3 |
| Cenoura | 2 |
| Leite de Cabra | 2 |
| Leite bovino (integral, 3.5% de gordura) | 1 |
| Batata | 1 |
A ingestão diária média de PS na dieta dos países ocidentais é estimada em 130mg.
Referencias
- ↑ Blokland A, Honig W, Brouns F, Jolles J (1999). «Cognition-enhancing properties of subchronic phosphatidylserine (PS) treatment in middle-aged rats: comparison of bovine cortex PS with egg PS and soybean PS». Nutrition. 15 (10): 778–83. PMID 10501292. doi:10.1016/S0899-9007(99)00157-4
- ↑ Crook, T. H.; R. M. Klatz (ed) (1998). Treatment of Age-Related Cognitive Decline: Effects of Phosphatidylserine in Anti-Aging Medical Therapeutics. 2. Chicago: Health Quest Publications. pp. 20–29
- ↑ Jorissen BL, Brouns F, Van Boxtel MP, Ponds RW, Verhey FR, Jolles J, Riedel WJ. (2001). «The influence of soy-derived phosphatidylserine on cognition in age-associated memory impairment.». Nutritional Neuroscience. 4 (2): 121–34. PMID 11842880
- ↑ Jäger R, Purpura M, Kingsley M (2007). «Phospholipids and sports performance». Journal of the International Society of Sports Nutrition. 4. 5 páginas. PMC 1997116
. PMID 17908342. doi:10.1186/1550-2783-4-5
- ↑ Starks MA, Starks SL, Kingsley M, Purpura M, Jäger R (2008). «The effects of phosphatidylserine on endocrine response to moderate intensity exercise». Journal of the International Society of Sports Nutrition. 5. 11 páginas. PMC 2503954
. PMID 18662395. doi:10.1186/1550-2783-5-11
- ↑ Jäger R, Purpura M, Geiss KR, Weiß M, Baumeister J, Amatulli F, Schröder L, Herwegen H. (2007). «The effect of phosphatidylserine on golf performance». Journal of the International Society of Sports Nutrition. 4 (1). 23 páginas. PMC 2217563
. PMID 18053194. doi:10.1186/1550-2783-4-23
- ↑ Hirayama S, Masuda Y, Rabeler R (2006). «Effect of phosphatidylserine administration on symptoms of attention-deficit/hyperactivity disorder in children» (PDF). Agro Food. 17 (5): 32–36
- ↑ Vaisman N, Kaysar N, Zaruk-Adasha Y, Pelled D, Brichon G, Zwingelstein G, Bodennec J (2008). «Correlation between changes in blood fatty acid composition and visual sustained attention performance in children with inattention: effect of dietary n-3 fatty acids containing phospholipids.». The American Journal of Clinical Nutrition. 87 (5): 1170–1180. PMID 18469236
- ↑ Jorissen BL, Brouns F, Van Boxtel MP, Riedel WJ (2002). «Safety of soy-derived phosphatidylserine in elderly people». Nutr Neurosci. 5 (5): 337–343. PMID 12385596. doi:10.1080/1028415021000033802
- ↑ Hoffmann PR, Kench JA, Vondracek A; et al. (2005). «Interaction between phosphatidylserine and the phosphatidylserine receptor inhibits immune responses in vivo». J. Immunol. 174 (3): 1393–404. PMID 15661897
- ↑ Carr DJ, Guarcello V, Blalock JE (1992). «Phosphatidylserine suppresses antigen-specific IgM production by mice orally administered sheep red blood cells». Proc. Soc. Exp. Biol. Med. 200 (4): 548–54. PMID 1508948
- ↑ Souci SW, Fachmann E, Kraut H (2008). Food Composition and Nutrition Tables. Medpharm Scientific Publishers Stuttgart. [S.l.: s.n.]
Ligações externas
- DrugBank info page
- FDA Qualified Health Claim Phosphatidylserine and Cognitive Dysfunction and Dementia
- MeSH Phosphatidylserines
Predefinição:Fosfolípidos

