Ácido condroitinossulfúrico

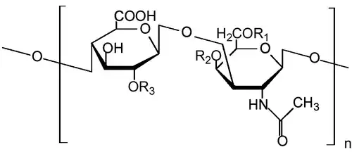
Estrutura química da unidade dissacárida que forma o sulfato de condroitina. Condroitina-4-sulfato: R1 = H; R2 = SO3H; R3 = H. Condroitín-6-sulfato: R1 = SO3H; R2, R3 = H

Atuante em mecanismos de sustentação, aparece no tecido conjuntivo, principalmente nas cartilagens. Ácido condroitinossulfúrico é um dos ácidos que compõe a substância intercelular, responsável pela fixação entre as células, dando assim firmeza aos tecidos. É também um cimento celular o ácido hialurônico. O sulfato de condroitina ou sulfato de condroitina é um heteropolissacárido sulfatado do grupo dos glicosaminoglicanos composto por uma unidade dissacarídica repetida formada por N-acetilgalactosamina e ácido glucurónico. O sulfato de condroitina está normalmente associado a proteínas, formando proteoglicanos. Uma cadeia de sulfato de condroitina pode consistir em mais de 100 açúcares individuais, cada um dos quais pode ser sulfatado em diferentes posições e em diferentes números.

O sulfato de condroitina é um componente importante da maioria dos tecidos de vertebrados e invertebradoss e é abundante naqueles com muita matriz extracelular, como os que formam o tecidos conjuntivos do corpo, cartilagem, pele, vasos sanguíneos, ligamentoss e tendãos . O sulfato de condroitina fornece à cartilagem as suas propriedades mecânicas e elásticas e confere ao tecido grande parte da sua resistência à compressão.

Descrição e propriedades físico-químicas

As cadeias de sulfato de condroitina são polissacarídeoss de comprimento variável que contêm dois monossacarídeoss alternados: ácido D-glucurónico (GlcA) e N-acetil -D -galactosamina (GalNac). Dentro desta unidade dissacarídica, as ligações glicosídicas entre os açúcares são beta 1,3, e entre uma unidade dissacarídica e a seguinte são beta 1,4. Quando alguns dos resíduos de ácido glucónico são epimerizados em ácido L-idurónico (IdoA), o polissacárido resultante deixa de ser sulfato de condroitina, mas sim sulfato de dermatano .

Ligação a proteínas

As cadeias de sulfato de condroitina estão ligadas a grupos hidroxil de resíduos serina nas proteínas. A forma exata como as proteínas são selecionadas para se ligarem aos glicosaminoglicanos é desconhecida. Empiricamente, as serinas glicosiladas são geralmente seguidas de glicina e possuem resíduos ácidos adjacentes.

A união das cadeias de glicosaminoglicanos inicia-se com quatro monossacáridos que formam um padrão fixo: xilose (Xil) - Galactose (Gal) - galactose - ácido glucónico (GlcA). Cada açúcar é acompanhado pela ação de uma enzima específica, o que permite múltiplos níveis de controlo sobre a síntese de glicosaminoglicanos. A xilose começa a unir-se às proteínas no retículo endoplasmático, enquanto o resto dos açúcares se junta no aparelho de Golgi.

Sulfatação

Cada monossacarídeo pode ser sulfatado uma ou duas vezes. Normalmente os hidroxils nas posições 4 e 6 da N-acetil-galactosamina são sulfatados. A sulfatação é realizada por sulfotransferases específicas. O grupo sulfato está ligado à galactosamina nas posições 4 e 6, o que explica a existência de dois isómeros de sulfato de condroitina. A sulfatação nestas diferentes posições confere atividades biológicas específicas às cadeias de sulfato de condroitina.

Tipos

O sulfato de condroitina foi isolado muito antes de a sua estrutura ser determinada, o que levou a alterações nos seus nomes ao longo do tempo.[1] Os primeiros investigadores designaram os diferentes frações desta substância.

Carta de identificação Posição de sulfatação Nome do sistema
"Sulfato de condroitina A" carbono 4 da N-acetilgalactosamina (GalNAc) condroitina-4-sulfato
"Sulfato de condroitina C" carbono 6 de GalNAc condroitina-6-sulfato
"Sulfato de condroitina D" carbono 2 do ácido glucurónico e 6 do GalNAc condroitina-2,6-sulfato
"Sulfato de condroitina E" carbonos 4 e 6 da GalNAc condroitina-4,6-sulfato

Um nome antigo é "sulfato de condroitina B", que agora se chama sulfatos de dermatano, e já não é classificado como uma forma de sulfato de condroitina.[2]

O termo condroitina (sem adição de "sulfato") é algumas vezes usado para designar a fracção com pouca ou nenhuma sulfatação,[3] ainda que este uso não seja generalizado.

Referências

  1. P. A. Levene and F. B. La Forge (1913). «On Chondroitin Sulphuric Acid». J. Biol. Chem. pp. 69–79  Free PDF online Arquivado em 2008-11-05 no Wayback Machine
  2. MeSH Chondroitin+sulfates
  3. Davidson EA, Meyer K (1954). «Chondroitin, a new mucopolysaccharide». J Biol Chem. pp. 605–11. PMID 13221568  Free PDF online Arquivado em 2008-09-22 no Wayback Machine