Geometria hiperbólica
Em Matemática, geometria hiperbólica, também chamada de geometria lobachevskiana ou geometria de Bolyai - Lobachevsky, é uma geometria não-euclidiana, o que significa que o quinto postulados de Euclides, o clássico postulado das paralelas da geometria euclidiana é substituído pelo postulado de Lobachesvky:
- "Por um ponto fora de uma reta dada passa mais de uma paralela a essa reta."[1]
O postulado das paralelas, na geometria euclidiana, é equivalente à afirmação (axioma de Playfair) de que, no espaço bidimensional, para qualquer reta R e ponto P não contido em R, existe somente uma reta que passa por P e não intercepta R, ou seja, uma linha que é paralela a R. Na geometria hiperbólica, existem infinitas retas distintas que passam por P e que não interceptam R, de modo que o postulado clássico das paralelas é falso.
A geometria do plano hiperbólico é a geometria das superfícies curvas com curvatura gaussiana negativa constante (tal como a pseudoesfera).
Modelos têm sido construídos dentro da geometria euclidiana, mas obedecendo aos axiomas da geometria hiperbólica, provando assim que o postulado das paralelas é independente dos outros postulados de Euclides (assumindo que os outros postulados são de fato consistentes).
Uma vez que a geometria euclidiana e a geometria hiperbólica são consistentes e estão em um ambiente com uma pequena curvatura seccional muito semelhante, o observador terá dificuldade em determinar se o seu ambiente é euclidiano ou hiperbólico. Nós também não podemos decidir se o nosso mundo é euclidiano ou hiperbólico.
Uma utilização moderna da geometria hiperbólica é na teoria especial da relatividade, particularmente no espaço-tempo de Minkowski e no espaço girovetorial.
Dado que não há nenhuma analogia hiperbólica precisa para linhas paralelas euclidianas , o uso hiperbólico dos termos 'paralelas' e 'relacionadas' varia entre os autores. Neste artigo, vale citar que duas linhas limitantes são chamadas assintóticas, e linhas que compartilham de uma perpendicular comum são chamadas ultra-paralelas (a palavra 'paralela simples' também é recorrente).
Uma característica da geometria hiperbólica é que a soma dos ângulos internos de um triângulo é menor que dois ângulos retos, ou seja, menor que 180° (o que garante isso é o Teorema de Gauss-Bonet. Dessa forma, no limite, tendendo os vértices para o infinito, existem triângulos hiperbólicos ideais em que todos os três ângulos são 0°).
Os modelos de espaço hiperbólico mais conhecidos são o Semiplano Hiperbólico e o Disco de Poincaré.


Os modelos de representação do espaço hiperbólico foram desenvolvidos no século XIX, e são exemplos de geometrias (essencialmente a mesma) em que não vale o Axioma de Playfair (o equivalente ao 5° postulado de Euclides). Nessa época tais modelos foram responsáveis por uma gigantesca revolução na geometria. Para estudá-los é necessário conhecermos as métricas riemannianas que produzem as suas respectivas geometrias.
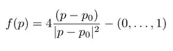
No entanto, é possível provar que a seguinte aplicação é uma isometria entre os modelos.[2]

Isso significa que as distâncias são preservadas quando passamos do modelo do disco para o modelo do semiplano. Então tomando a inversa dessa aplicação, conseguimos visualizar quais curvas são imagem de quais curvas via isometria.

Note que a curva azul, e as curvas vermelhas formam um triângulo geodésico no modelo do disco e isso não era perceptível no modelo do semiplano.
Referências
- ↑ Geometrias não euclidianas. Por André Devito, Araone Koaerece de Freitas e Kênia Cristina Pereira; p. 13.
- ↑ [1]. Por Sobral Filho e Renato Teixeira; p. 1.
Ligações externas
- Holme, Audun. Geometry our Cultural Heritage, 2ª ed, Springer, 2010.
- Non-Euclidean geometry and Indra's pearls, por Caroline Series and David Wright