Deslocamento

Em física, o deslocamento de um corpo é uma grandeza vetorial (possui módulo, direção e sentido) definida como a variação de posição de um corpo em um dado intervalo de tempo. Dessa forma, o vetor deslocamento pode ser obtido pela diferença entre as posições final e inicial.

Vetor deslocamento

O deslocamento é independente da trajetória e seu módulo representa a menor distância entre o ponto inicial e final de um corpo em movimento; pode ser expresso na forma vetorial ou em módulo. (Os respectivos símbolos são e ).[1]

No espaço cartesiano, o vetor deslocamento une o ponto de partida ao ponto de chegada. Para a determinação do deslocamento escalar pode ser necessário utilizar o cálculo.

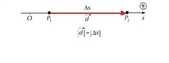
Na figura abaixo, o móvel deslocou-se de s0 a s1, portanto, .

Deslocamento entre espaços s0 e s1

Considerando certo intervalo de tempo, pode haver duas possibilidades de o deslocamento reduzir-se a zero: (1) o objeto em estudo permaneceu parado ou (2) o objeto moveu-se e retornou para a posição inicial. Deste exemplo, conclui-se que o deslocamento espacial não pode ser tomado sempre como o espaço total percorrido pelo móvel, mas sim como a variação do espaço percorrida em certo intervalo de tempo.[1]

Consideramos um ponto ocupando um instante , denominado , a Posição cujo espaço chamamos de . Em um instante posterior o ponto ocupa a posição do espaço. Entre essas posições, a variação do espaço escrevemos assim:

Representação de um vetor curvo
Representação de um vetor retilíneo

O vetor representado pelo ponto de origem , e seu ponto de extremidade recebe a nomenclatura de vetor deslocamento dos instantes [1] e .

Em uma situação de ilustração, em que a trajetória é curvilínea , o módulo do vetor de deslocamento é menor do que o módulo da variação do espaço.[1]

Em uma situação de uma trajetória ser retilínea, o módulo do vetor deslocamento é igual ao módulo da variação do espaço .

Velocidade vetorial média

A velocidade vetorial média é o quociente entre o vetor deslocamento e o correspondente intervalo de tempo, representado por :

Onde a velocidade vetorial média possui a mesma direção e sentido do vetor de deslocamento (d). Seu módulo é representado por:

Portanto, em trajetórias curvilíneas, temos e por conseguinte e para trajetórias em movimento retilíneo,

temos:

porque .

Aceleração vetorial média

Nos movimentos variados, define-se a aceleração escalar como sendo o quociente entre a variação da velocidade escalar pelo intervalo de tempo correspondente .

De um modo análogo, podemos caracterizar a aceleração vetorial média sendo a velocidade vetorial de um ponto no instante e a velocidade posterior no instante . Calcula-se a aceleração vetorial média por:

Representação de vetores tangentes a uma trajetória

Exemplificando, uma partícula passando pelo ponto , no instante , com velocidade e, no instante chega no ponto com velocidade assim: .[1]

Observamos que e são tangentes à trajetória dos pontos e e os mesmos têm o sentido do movimento.

Ou seja:


Conclui-se:

Aceleração vetorial instantânea

Entende-se como, aceleração vetorial instantânea , sendo uma aceleração vetorial média, quando o intervalo de tempo é muito pequeno. Havendo sempre variação de velocidade vetorial , também vai haver a aceleração vetorial.[1]

A velocidade vetorial pode variar no módulo e na direção. Portanto a aceleração vetorial é bipartida em: aceleração tangencial , estando relacionada com a variação do módulo de , e a aceleração centrípeta , que está relacionada com a variação da direção da velocidade vetorial.

Aceleração tangencial

A aceleração tangencial se dá através de diversas características como:

- A direção é tangente à trajetória;

- O sentido é o mesmo da velocidade vetorial, se o movimento for acelerado, ou oposto ao de se o movimento for desacelerado. Em movimentos uniformes, o módulo da velocidade vetorial não varia e, por conseguinte, a aceleração tangencial é 0. A só existe em movimentos variados e é independente do tipo de trajetória (retilínea ou curvilínea).[1]

Aceleração centrípeta

A aceleração centrípeta tem as seguintes características:

- O seu módulo é dado pela expressão , em que v é a velocidade escalar do móvel e R é o raio da curvatura da trajetória.

- A direção é perpendicular à velocidade vetorial em cada ponto da trajetória.

- O sentido orienta-se para o centro da curvatura de uma trajetória.

Em movimentos retilíneos, a direção da velocidade vetorial não varia e a aceleração centrípeta é 0. Esta, só existe em movimentos de trajetórias curvas e é independente do tipo de movimento aplicado (uniforme ou variado).[1]

Aceleração vetorial

A aceleração vetorial é o resultado da soma da aceleração centrípeta com a tangencial.[1] Onde sua expressão é representada por:

No módulo:

onde está relacionada com a variação da velocidade vetorial

Relação entre deslocamento e velocidade média

Sabemos que a velocidade média é a relação entre o deslocamento (), e o intervalo de tempo empregado para realizá-lo ().

Referências

  1. a b c d e f g h i Francisco Ramalho Júnior; Nicolau Gilberto Ferraro e Paulo Antônio de Toledo (2007). Os Fundamentos da Física 1. Mecânica 9ª ed. São Paulo: Moderna. p. 134. 490 páginas. ISBN 978-85-16-050655-1 Verifique |isbn= (ajuda)