Reação de Vilsmeier-Haack
A reação de Vilsmeier-Haack , ou simplesmente reação de Vilsmeier,[1] ocorre entre uma amida substituída com oxicloreto de fósforo e um anel aromático rico em elétrons para produzir um aldeído aromático ou cetona. A reação foi nomeada de acordo com o trabalho de Anton Vilsmeier e Albrecht Haack. [2]
Um exemplo é a reação da benzanilida e dimetilanilina com oxicloreto de fósforo para produzir uma diaril cetona assimétrica.[3] Da mesma forma, o antraceno é formilado (transferência de HC=O) na posição 9. A reação do antraceno com N-metilformanilida, também usando oxicloreto de fósforo, fornece 9-antracenocarboxaldeído:

Mecanismo de reação
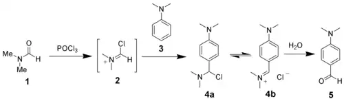
A reação da amida substituída com oxicloreto de fósforo fornece um íon cloroimônio substituído (2), também chamado de reagente de Vilsmeier. O produto inicial é um íon imínio (4b), que é hidrolisado na cetona ou aldeído correspondente durante o processamento.[4]

Referências
- ↑ Vilsmeier, A.; Haack, A. (12 de janeiro de 1927). «Über die Einwirkung von Halogenphosphor auf Alkyl-formanilide. Eine neue Methode zur Darstellung sekundärer und tertiärer p -Alkylamino-benzaldehyde». Berichte der deutschen chemischen Gesellschaft (A and B Series) (em inglês). 60 (1): 119–122. doi:10.1002/cber.19270600118
- ↑ Meth-Cohn, Otto; Stanforth, Stephen P. (1991). «The Vilsmeier–Haack Reaction». Elsevier (em inglês): 777–794. ISBN 978-0-08-052349-1. doi:10.1016/b978-0-08-052349-1.00049-4. Verifique
|doi=(ajuda) - ↑ «p-DIMETHYLAMINOBENZOPHENONE». Organic Syntheses. 7. 24 páginas. 1927. doi:10.15227/orgsyn.007.0024
- ↑ Jones, Gurnos; Stanforth, Stephen P. (5 de setembro de 2000). John Wiley & Sons, Inc., ed. «The Vilsmeier Reaction of Non-Aromatic Compounds». Hoboken, NJ, USA: John Wiley & Sons, Inc. (em inglês): 355–686. ISBN 978-0-471-26418-7. doi:10.1002/0471264180.or056.02