Equação catalítica de Brønsted

As correlações lineares de energia livre demonstram a interdependência entre a constante de velocidade ou equilíbrio com algum parâmetro estrutural, e são aplicadas com êxito, para um grande número de reações químicas. Um exemplo destas correlações é a equação catalítica desenvolvida por Johannes Nicolaus Brønsted que fornece a relação entre a força de um ácido e a atividade catalítica. O gráfico do logaritmo da constante de reação () versus o logaritmo da constante de ionização () para uma série de ácidos (por exemplo, um grupo de fenóis substituídos ou ácidos carboxílicos) oferece uma linha reta com uma inclinação () e uma constante ().
A equação de Brønsted dá informações sobre um mecanismo de reação. Esta relação implica que a energia livre de Gibbs para a dissociação do próton é proporcional à energia de ativação para a etapa catalítica. Quando a relação não é linear, a catálise não ocorrerá através do mesmo mecanismo reação. Reações cuja inclinação () seja pequena são consideradas com o estado de transição que se assemelha com o reagente, com pouca transferência de prótons. Já com uma inclinação acentuada, a transferência de prótons no estado de transição está quase concluída.
| Substituinte | Estrutura | σ+ |
|---|---|---|
| Acetamida | −0,60 | |
| Acetoxila | 0,19 | |
| Amino | −1,30 | |
| Bromo | 0,15 | |
| t-Butila | −0,26 | |
| Carboxila | 0,42 | |
| Cloro | 0,11 | |
| Ciano | 0,66 | |
| Dimetilamino | −1,70 | |
| Etenila | −0,16 | |
| Etila | −0,30 | |
| Etinila | 0,18 | |
| Etoxila | −0,81 | |
| Fenila | −0,18 | |
| Flúor | −0,07 | |
| Hidrogênio | 0,0 | |
| Hidroxila | −0,92 | |
| Metoxila | −0,78 | |
| Metoxicarbonila | 0,49 | |
| Metila | −0,31 | |
| Nitro | 0,79 | |
| Sulfeto de Metila | −0,60 | |
| Trifluorometila | 0,61 | |
| Trimetilamônio | 0,41 | |
| Trimetilsilila | 0,02 |
Analogamente, existe uma correlação para catálise básica que obedece à mesma equação porem utilizando .
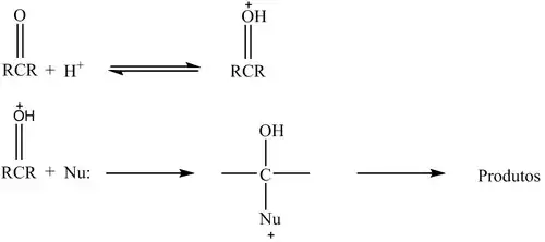
O catalisador não afeta a posição de equilíbrio de uma reação. Sua função é acrescentar uma ou mais etapas no mecanismo de reação promovendo um caminho de reação com menor energia de ativação. A catálise ocorre quando a base conjugada ou ácido conjugado do substrato é mais reativo que a espécie neutra. Por exemplo:

Os detalhes da transferência de prótons podem ser provados através de técnicas como o efeito isotópico de solventes. Comparando as taxas de reação em versus , o efeito isotópico pode ser normal ou inverso, dependendo da natureza do mecanismo da transferência de prótons. é um ácido mais forte que , com resultado disto, reagentes em solução de são um pouco mais protonados que em . Reações que envolvem equilíbrios rápidos de protonação ocorrerão mais rapidamente em do que em . Já se a transferência de prótons é a etapa controladora da velocidade de reação então a reação será mais rápida em do que em , devido ao efeito isotópico primário.
A relação de Brønsted é muitas vezes chamado de lei catalítica de Brønsted. Embora justificável em termos históricos, este nome não é recomendado, pois as relações de Brønsted são conhecidos por aplicar a muitas reações não-catalisadas e pseudo-catalisadas. O termo Relação pseudo-Brønsted é usado às vezes para as reações que envolvem catálise nucleofílica em vez de catálise ácido-base.
Vários tipos de parâmetros de Brønsted têm sido propostos e utilizados nos ultimos anos tais como os trabalhos feitos por Shidmoossavee e colaboradores intitulado Brønsted Analysis of an Enzyme-Catalyzed Pseudo-Deglycosylation Reaction: Mechanism of Desialylation in Sialidases e por Logadottir e colaboradores The Brønsted–Evans–Polanyi Relation and the Volcano Plot for Ammonia Synthesis over Transition Metal Catalysts.
Ver também
Referências
- ↑ CAREY, Francis A.. Advanced organic chemistry: pt. A. Structure and mechanism. 5. ed. New York: Springer, 2007. 345-353 p.
- ↑ SMITH, Michael. March’s advanced organic chemistry: reactions, mechanism, and structure. 5. ed. New York: Wiley Interscience, 2001. 336-338 p.
- ↑ Kresge, A. Jerry; Chen, Hsiu-Lien; Chiang, Yvonne; Murrill, E.; Payne, M. A.; Sagatys, D. S. Vinyl ether hydrolysis. III. Brønsted relations and transition state structure. Journal of the American Chemical Society (1971), 93(2), 413-23. doi:10.1021/ja00731a018
- ↑ C. Hansch, A. Leo, and R. W. Taft, Chem. Rev., 91, 165, 1991.
- ↑ Schubert, W. M.; Keeffe, James R. Acid-catalyzed hydration of styrenes. Journal of the American Chemical Society (1972), 94(2), 559-66. doi:10.1021/ja00757a039
- ↑ IUPAC. Compendium of Chemical Terminology, 2nd ed. (the "Gold Book"). Compiled by A. D. McNaught and A. Wilkinson. Blackwell Scientific Publications, Oxford (1997). XML on-line corrected version: http://goldbook.iupac.org (2006-) created by M. Nic, J. Jirat, B. Kosata; updates compiled by A. Jenkins. ISBN 0-9678550-9-8. doi:10.1351/goldbook.
- ↑ Fahimeh S. Shidmoossavee, Lydia Cheng, Jacqueline N. Watson, and Andrew J. Bennet, Brønsted Analysis of an Enzyme-Catalyzed Pseudo-Deglycosylation Reaction: Mechanism of Desialylation in Sialidases. Biochemistry 2010, 49, 6473–6484 doi:10.1021/bi100513u.
- ↑ A. Logadottir, T. H. Rod, J. K. Nørskov, Hammer, S. Dahl, and C. J. H. Jacobsenz. The Brønsted–Evans–Polanyi Relation and the Volcano Plot for Ammonia Synthesis over Transition Metal Catalysts. Journal of Catalysis 197, 229–231 (2001) doi:10.1006/jcat.2000.3087.