Carbenos

Carbenos são uma classe de compostos neutros que possuem um átomo de carbono divalente, contendo seis elétrons de valência. Os carbenos são espécies reativas e podem ser extremamente instáveis. A reatividade elevada da molécula é atribuída ao fato de que o composto representa uma espécie deficiente de elétrons, com dois elétrons desconexos no carbono. Por este motivo os carbenos em sua maioria, são apenas observados em reações químicas (in situ) na forma de intermediários reativos, de duração extremamente curta (intermediários reativos são definidos como espécies que tem tempo de vida maior que uma vibração molecular). Os carbenos podem possuir estruturas eletrônicas com duas multiplicidades de spin diferentes: singleto e o tripleto. O metileno (também chamado de carbeno) é um radical orgânico (-CH2-) ou (:CH2) que possui carbono divalente altamente reativo. Ele é derivado do Metano.

O nome metileno é usado para:

  • Grupo -CH2- (composto por duas ligações simples) - exemplo: cloreto de metileno ou diclorometano
  • Grupo =CH2 (composto por uma ligação dupla) - exemplo óxido de metileno ou metanal.

É um nome cunhado pelos químicos franceses Jean-Baptiste Dumas (1800-1884) e Eugène Melchior Peligot (1811-1890) no ano de 1834.

Representação Esquemática de um Carbeno.

História

A primeira tentativa de preparação de carbenos foi no ano de 1839, realizada por Rednault e Dumas.[1] Em 1861, Butlerov realizou a reação entre o iodeto de metila e cobre gerando etileno e sugeriu que a reação ocorreu via metileno.[2] Mais tarde, em 1910, desenvolvimentos acerca do metileno foi investigada por Staudinger na decomposição de diazocompostos.[3] Mas somente em 1950, o crescimento da química de carbeno foi de fato iniciado. A partir do estudo de Doering, o carbeno foi introduzido em algumas sínteses importantes na química orgânica.[4]

Modernamente, a química organometálica de carbenos teve início com a síntese de complexos de carbeno estáveis, (CO)5W=C(Ph)OMe, por Fischer e Maasbol em 1964.[5] O primeiro complexo carbeno homonuclear foi relatado em 1968.[6]

Formula estrutural do catalisador de Grubbs (de 2ª geração). Neste exemplo observa-se um complexo metálico, que contém um ligante derivado da imidazolidina, com ligação coordenativa do carbeno para o metal — a interacção se dá entre o par de elétrons do carbeno (átomo de carbono da imidazolidina) e um dos orbitais vazios do rutênio. Neste caso, o carbeno atribui propriedades específicas ao complexo, como por exemplo a elevação da solubilidade.

Somente no ano de 1975, foi possível o isolamento da espécie tendo como precursor o grupo metileno.[7] Os compostos diaminocarbenos possuem alta estabilidade conforme descrição da síntese de 1,3-diadamantilimidazol-2-ilideno, realizada por Arduengo, em 1991, onde pode-se dizer que foi obtido o primeiro carbeno comprovadamente estável.[6] A partir do complexo obtido por Fischer e Maasbol, centenas de outros carbenos estabilizados pela ligação com o heteroátomo, geralmente oxigênio ou nitrogênio, foram obtidos, os chamados carbenos de baixo estado de oxidação ou carbenos tipo Fischer. Nesses carbenos pode-se observar a ligação metal – carbono (proveniente do carbeno), onde o carbono apresenta-se parcialmente positivo enquanto o metal está parcialmente negativo, conferindo a nomenclatura de “carbenos eletrofílicos”.

Baseado na estabilidade desse complexo, vários outros metais foram utilizados na tentativa de obtenção de novos complexos estáveis fazendo uso de diferentes metais de transição. A busca de complexos estáveis vem sendo um “desafio químico”, principalmente no uso de adaptações ao método de obtenção de complexos tipo Fischer, e utilizando metais de transição como o molibdênio e o tungstênio. Tais complexos chamam a atenção dos pesquisadores devido sua alta reatividade, podendo ser empregados como catalisadores em reações de acoplamento cruzado de carbono, como a reação de acoplamento de Metátese de Olefinas.[8] Sendo assim, vários estudos sobre a reatividade e estabilidade de carbenos vêm sendo realizados, pois apesar de ser um descoberto que data do ano de 1839, ainda são necessários estudos sobre sua estabilidade e reatividade para que assim possa ser bem conhecido e utilizado no meio científico com excelentes rendimentos e empregados de forma eficiente, contribuindo para a evolução de pesquisas variadas.

Estrutura

Os carbenos possuem um par de elétrons não ligantes que pode apresentar spin emparelhados na forma do estado singleto, e spins desemparelhados na forma do estado tripleto. O carbono do carbeno esta ligado a dois grupos adjacentes. O orbital p é perpendicular ao plano definido pelos três átomos da estrutura do carbeno, e o orbital σ está paralelo a esse plano. A multiplicidade do estado fundamental dos carbenos irá variar de acordo com a estrutura, em razão da maioria dos carbenos não serem lineares. Um carbeno com geometria linear possui orbitais não ligantes degenerados com centro sp-hibridizado. A quebra de degenerescência é causada pela inclinação da molécula induzindo o átomo de carbono adquirir uma hibridização do tipo sp2, sendo chamado de pπ, pelo fato do orbital px permanecer inalterado.[9]

Configuração eletrônica do carbeno.

Os carbenos no estado tripleto não apresentam reatividade frente a ligação carbono-halogênio[10] e pode ser estabilizado pelo efeito estérico por grupos localizados em sua vizinhança. Tais grupos podem ser bromo e trifluormetil. Os grupos alquila contendo hidrogênio não podem estabilizar porque as ligações C-H próximas podem ser ativadas. Além disso, esses tipos de carbenos podem ser estabilizados através da deslocalização de elétrons desemparelhados em cadeias aromáticas.[11] A multiplicidade de carbenos é altamente determinada pela eletronegatividade de ambos grupos: α-substituintes e grupos retiradores de elétrons σ (Efeito indutivo negativo) e favorecem o estado de singleto pela estabilização do orbital não-ligante preenchido aumentando o seu caráter s.[12]

A reatividade de carbenos singletos e tripletos é diferente. Carbenos singletos adicionam a ligação pi de um alcenos estereoespecificamente em uma única etapa com retenção completa de configuração.[13]

Estereoquímica de reações de Carbenos Singletos

Os carbenos tripletos assim como os diradicais adicionam-se a alcenos em duas etapas: um novo intermediário diradical é formado para dar , após o fechamento do anel, como produto dois diastereoisômeros.

Estereoquímica de Reações de Carbenos tripletos.

Comparação entre carbenos Singletos e Tripletos

Relação entre a natureza dos orbitais de fronteira e o ângulo de ligação.

Dando estas declarações, a influência do substituinte na multiplicidade do estado fundamental pode ser facilmente analisada em termos de efeitos eletrônicos e estéricos.[9]

Efeitos Eletrônicos

Efeito Indutivo

O efeito indutivo racionalizado com base na perturbação em diagramas de orbitais. Portanto o orbital σ não ligante é indutivamente estabilizado pelos substituintes σ-elétron retiradores, e o aumento da característica s é favorecida deixando o orbital p inalterado. O estado singleto é favorecido pelo aumento no intervalo σ-pπ. Um estado tripleto é favorecido pelos substituintes σ-elétron doadores induzindo a um intervalo σ-pπ pequeno[9]

Influência do efeito indutivo na perturbação no diagrama dos orbitais.
Efeito Mesomérico

O feito mesomérico pode desempenha um papel mais significativo em relação ao efeito indutivo. Entre os substituintes que interagem com o carbono do carbeno pode-se classificar os tipos: grupos π-elétron doadores (tal como –F, -Cl, -Br, -I, -NR2, -OR,- SR, ...) e grupos π-elétron retiradores (tal como –COR, -CN, -NO, -BR2, ...). A interação dos orbitais do carbono são baseados no efeito mesomérico, sendo ilustrado usando perturbação de diagramas de orbital. Os carbenos que possuem os dois grupos substituintes eletro doadores tentem a ser inclinados, tendendo a um aumento de energia do orbital px vazio. O aumento do intervalo σ-px favorece o estado singleto, devido o orbital σ permanecer quase inalterado. Os carbenos que possuem os dois grupos substituintes elétron retiradores tentem a ser lineares, devido a interação dos orbitais vazios interagirem como orbital py, apesar dessa interação ocorrer o orbital px não é afetado. Sendo o estado singletos. Os carbenos que possuírem um grupo substituinte elétron doador e o outro grupo substituinte elétron retirador tendem a ser quase lineares, devido a combinação dos dois tipos de interação eletrônica. O estado singleto é favorecido e estabilizado pelo efeitos dos substituintes, conforme o substituinte com par de elétrons livre interagir com o orbital py, e o orbital px sobre interação do substituinte de orbitais vazios.[9]

Influência do efeito mesomérico na perturbação no diagrama dos orbitais.
Efeito de Hiperconjugação

Carbenos que são considerados isoeletrônicos aos carbocátions são classificados como singleto, o carbeno no estado singleto são estabilizados pelos mesmos efeitos que estabilizam os carbocátions. O carbenos no estado tripleto tendem a ser semelhantes aos radicais, por possuírem um orbital p separado. Embora a hiperconjugação estabilize tanto os carbocátions como os radicais, os radicais possuem magnitude muito menor. Os grupos alquilas tendem a estabilizar mais os carbenos singletos do que os carbenos tripletos.[14]

Efeito Estérico

Todos os tipos de carbenos são estabilizado cineticamente por substituintes volumosos, sendo os efeitos eletrônicos desprezíveis. A relação de estabilização entre o estado tripleto e o estado singleto é máxima quando os orbitais de fronteiras dos carbenos são degenerados, sendo o estado tripleto favorecido pela geometria linear. A influência do ângulo de ligação dos carbeno na multiplicidade de spins nos carbenos principais são ilustrados: Abaixo de 90° a energia do singleto metileno cai em relação ao estado tripleto. Do mesmo modo que o aumento do efeito estérico em carbenos substituídos estende o ângulo de ligação do carbeno e por isso favorece o estado tripleto. O dimetilcarbeno tem uma dobra no estado singleto (111°), enquanto o di(tert-butila) (143°) e diadamantilcarbenos (152°) são tripleto.[14]

Identificação de Carbenos

Para a caracterização da estrutura de carbenos são realizados métodos espectroscópicos, tais como: IR, UV-Vis, fluorescência, Espectroscopia ESR.[15]

Espectroscopia infravermelho

A espectroscopia no infravermelho, especialmente a espectroscopia FT-IR é geralmente utilizada para caracterizar matrizes de Carbenos isolados e outras espécies reativas, por apresentar sensibilidade.[15]

Espectroscopia UV-VIS

A espectroscopia UV-Vis é usualmente utilizada para diferenciar os dois estado fundamentais do carbeno. Os carbenos no estado tripleto tendem a exibir na região do visível do espectro um intensidade fraca a média, principalmente quando apresentam sistemas π estendido. Os carbenos no estado singletos tendem a apresentar uma longa intensidade na absorção do comprimento de onda dependendo do substituinte.[15]

Espectroscopia fluorescência

A espectroscopia de fluorescência utiliza os mesmos critérios que a espectroscopia UV-Vis, para a identificação de vários carbenos.[15]

Espectroscopia ESR

A espectroscopia ESR tem a vantagem de ter uma alta seletividade e sensibilidade para identificar espécies de carbenos paramagnéticos, como carbenos no estado tripleto, essa técnica é empregada para caracterizar um grande número de carbenos.[15]

Geração de Carbenos

Muitas tentativas foram feitas no passado para preparar compostos em que o oxigênio do monóxido de carbono fosse substituído por dois elementos ou grupos de univalentes átomos. Embora a formação e isolamento de tais compostos não fosse bem sucedida, no entanto, a sua existência apareceu como produtos intermediários em reações químicas. O estudo dessas estruturas só foi possível com o advento de novas técnicas modernas experimentais que permitiram observar-lás como intermediários. Essas espécies divalentes que não apresentam cargas pontuais são derivadas do metileno. Dentre as principais formas de geração de carbenos temos:

Decomposição Térmica ou Fotoquímica de diazo compostos

A preparação de carbenos pela decomposição térmica de hidrocarbonetos, mostra que carbonos trivalentes são produzidos primariamente.O metileno foi o primeiro composto dos carbenos, e foi preparado termicamente pela decomposição do diazometano.[16]

Decomposição Térmica ou Fotoquímica de diazo compostos.
Decomposição Térmica ou Fotoquímica de Cetenos

No caso da decomposição de diazometano a cetenos, em que o metileno é o produto principal, ela rapidamente vai ao estado trivalente. A reação fotoquímica é realizada em recipiente de quartzo e a pressão muito baixa. O diazometano necessário para a reação térmica pode ser obtido por uma vaeriedade de métodos , dentre os qual o mais conveniente é a reação do hidroclorato de metilamina com a ureia. A reação com ácido nitroso, a metilureia é transformada em nitrosometilureia, cuja ação com hidróxido de potássio forma diazometano.

Decomposição Térmica ou Fotoquímica de cetonas.

Cetenos são preparados pela pirólise tanto da acetona ou anidrido acético na presença de catalisador metálico.

Híbrido de ressonância do metileno

O diazometano contém o também chamado grupo diazo alifático CN2 , que é melhor representado pelos híbridos de ressonância:

Estruturas de ressonância do diazometano.
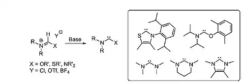
Eliminação 1,1 promovida por base

É um método alternativo de produção de carbenos que utiliza uma base

Eliminação 1,1

Outros métodos de geração de carbenos são:

Geração de Carbenos por precursores de diazarina.
Geração de Carbenos por Transferência de átomo de Oxigênio
Geração de Carbenos por Desprotonação.
Metileno usado na formação de complexos

Sendo essa uma evidência conclusiva para a formação do metileno na reação do duplo iodito de metileno e Zinco-cobre, a formação de ciclopropanos na presença de olefinas poderia ser considerada devido a presença de do intermediário metileno. Essa reação ocorre da seguinte maneira, o iodito de iodo metilzinco é regenerado como um complexo de iodeto de metileno e zinco cujo átomo de carbono é eletrofílico e tanto iodeto de zinco é eliminado para dar um metileno de menor energia, ou a ligação dupla de uma olefina elimina o iodito de zinco produzindo o ciclopropano.

Formação de complexos com metileno.

A meia vida do metileno varia com a natureza do gás de arraste com o tempo e a pressão. A variação da meia vida do metileno é atribuída a sua reatividade com o gás de arraste. Por exemplo, metileno reage com monóxido de carbono para formar cetenos, cuja presença de metileno produz monóxido de carbono e etileno. Por outro lado, metileno não se adiciona ao nitrogênio para reverter a fotodissociação do diazometano.[17]

Reações de Carbenos

Reações de Adição

As reações de adição com alquenos para formar ciclopropanos são as reações mais bem estudadas envolvendo os carbenos como intermediários, tanto do ponto de vista da compreensão dos mecanismos e para aplicações sintéticas.

Uma maneira clássica de formar ciclopropanos é através da reação de um cicloalqueno com diclorocarbeno. A formação do ciclopropano a partir de alceno ocorre por um mecanismo concertado que é possível para carbenos singleto, o que tem consequências na estereoquímica da reação, sendo uma reação estereoespecífica.

Exemplo de reação de formação de ciclopropano.
Mecanismo
Reação de um alqueno com diclorocarbeno.

Embora carbenos formados termicamente a partir de diazoalquenos sejam carbenos singletos, em condições de indução fotoquímica ocorre a transformação no tripleto mais estável. Pode ocorrer a formação de uma mistura de isômeros. Exemplo de adição não-estereoespecífica:

Reação
Reação de Simmons-Smith

Uma outra maneira de realizar uma ciclopropanação é a utilização de um carbenóide de zinco, o que é conhecido como reação de Simmons-Smith.

Outros exemplos
Síntese de produtos naturais
Síntese de produtos naturais

Ciclopropanação de Álcool Alílico:

Ciclopropanação de álcool Alílico.
Mecanismo
Mecanismo da ciclopropanação.
Reações de Inserção

Reações de inserção são processos em que um intermediário reativo, neste caso um carbeno, se interpõem em uma ligação existente geralmente envolvendo ligações C-H.

Mecanismo de reação de inserção
Mecanismo reação de inserção

Carbenos e a Química de Organometálicos

Durante os anos 1960, Fischer e Öfele estavam trabalhando em complexos alceno-metal-carbonilo (Mn, Re). Em 1964, enquanto carbenos estavam em voga na química orgânica, Fischer relatou e caracterizou de forma inequívoca o primeiro complexo de metal-carbene: o pentacarbonil metoxifenilmetileno de tungstênio (0). Os autores estenderam a síntese para os complexos de cromo (0), de ferro (0) e de manganês (0) com diferentes grupos alcóxi e alquila.[18]

Síntese do primeiro Complexo Metal-Carbeno.

A formação da ligação C-M de um complexo Carbeno-Metal pela sobreposição de orbitais requer o encurtamento do angulo de valência (XCY) no centro do carbeno. Os carbenos estabilizados por diaminocarbenos ou dialcoxicarbenos (grupos doadores em posição α) requerem uma geometria para ligar facilmente e fortemente o fragmento do metal.

Um complexo carbeno metal de transição é um composto organometálico apresentando um ligante orgânico divalente. Os complexos de carbenos são conhecidos em uma ampla faixa de diferente reatividades e diversos substituintes. Os Carbenos de Fisher nomeados mais tarde por Ernst Otto Fisher apresentam fortes receptores π ao metal e são eletrofílicos no átomo de carbono do carbeno. Os Carbenos de Schrock nomeados mais tarde por Richard R. Schrock, são caracterizados pela maior nucleofilicidade dos carbonos centrais nos carbenos onde estas espécies apresentam tipicamente metais de alta valência.

Carbenoides

Carbenos N-Heterocíclicos (NHC)

Os NHCs são diaminocarbenos e formam complexos tipo Fisher com metais de transição. Desde os trabalhos iniciais de Wanzlick em 1960 para investigar a reatividade e estabilidade de carbenos NHCs. POuco tempo depois Wanzlick reportou as primeiras aplicações de NHCs como ligantes para complexos metálicos. Os carbenos NHCs são estabilizados eletronicamente e estericamente e diferentes dos carbenos, são eletronicamente ricos pelo efeito de ressonância.[19]

Ver também

Referências

  1. Hine, J. Divalent Carbon; Ed.; Ronald Press: New York; 1964
  2. Kirmse, W. Carbene Chemistry, 2na ed.; Ed.; Academic Press, New York; 1971.
  3. Staudinger, H.; Kupfer, 0. Ber. Dtsch. Chem. Ges. 1912, 45, 501.
  4. Doering, W. v. E.; Hoffmann, A. K. J. Am. Chem. Soc. 1954, 76, 6162.
  5. Lehmann JF, Urquhart, SG, Ennis, LE, Hitchcock, AP, Hatano, K. Gupta, S., e Denk, M., Organometallics , 1999, 18 , 1862
  6. 1 2 Greenwood, NN, Earnshaw A., Química dos Elementos (2 ª edição), Reed Educacional e Profissional Publishing Ltd., Boston, 1997, p 929
  7. Alder, RW, Allen, PR, Murray, M., Orpen AG, Angew Chem. Int. Ed. Engl. , 1996, 35 , 1121
  8. Carbene Chemistry – From fleeting intermediates to powerful reagentes. Editado por Guy Bertrand. Ed.: Fontis Media e Marcel Dekker. Suíça. 2002.
  9. 1 2 3 4 Bourissou, D.; Guerret, O.; Gabbai, F. P.; Bertrand, G., Stable Carbenes. Chem. Rev. 2000, 100, 39-91.
  10. Roth, Heinz D. (1 de maio de 2002). «Chemically induced nuclear spin polarization in the study of carbene reaction mechanisms». Accounts of Chemical Research (em inglês). 10 (3): 85-91. doi:10.1021/ar50111a003
  11. Iwamoto, Eri; Katsuyuki (3 de dezembro de 2003). «A triplet carbene surviving a week in solution at room temperature». Journal of the American Chemical Society. 125 (48): 14664-14665. ISSN 0002-7863. PMID 14640615. doi:10.1021/ja038423z
  12. Irikura, Karl K.; W. A. (1 de maio de 2002). «Singlet-triplet gaps in substituted carbenes CXY (X, Y = H, fluoro, chloro, bromo, iodo, silyl)». Journal of the American Chemical Society (em inglês). 114 (1): 48-51. doi:10.1021/ja00027a006
  13. Shainyan, Bagrat A.; Anton V. (15 de fevereiro de 2013). «Carbenes and nitrenes. An overview». Computational and Theoretical Chemistry. 1006: 52-61. doi:10.1016/j.comptc.2012.11.025
  14. 1 2 Hirai, K.; Itoh, T.; Tomoioka, H., Persistent Triplet carbenes. Chem. Rev. 2009, 109, 3275-3332.
  15. 1 2 3 4 5 Sander, W.; Bucher, G.; Wierlacher, S., Carbenes In Matrices – Spectroscopy, Structure and Reactivity. Chem. Rev. 1993, 93, 1583-1621.
  16. Arduengo, A, J; Kline, M. A stable crystalline carbene Journal of American Chemical Society, 1991, 91, 361-363.
  17. Nemirawski, A; Schreiner, P.R. Eletronic Stabilization of ground State Triplet Carbenes Journal of Organic hemistry, 2007, 72, 9533-9540.
  18. Wang, Zerong (1 de janeiro de 2010). Fischer Carbene Complexes. [S.l.]: John Wiley & Sons, Inc. ISBN 9780470638859. doi:10.1002/9780470638859.conrr232
  19. K. J. Eastman. N-Heterocyclic Carbenes (NHCs). Baran Lab.