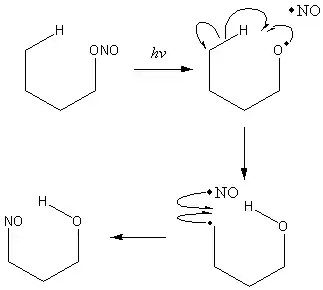
Reação de Barton

A reação de Barton envolve a fotólise de um nitrito para formar um δ-nitroso álcool. Foi nomeada pelo químico inglês Sir Derek Harold Richard Barton.[1] O mecanismo se acredita envolver uma ruptura homolítica RO–NO, seguida por abstração do δ-hidrogênio e recombinação do radical livre.[2]

Reação de Barton

Uma reação relacionada é a reação de Hofmann-Löffler envolvendo haloaminas.

Referências

  1. D. H. R. Barton, J. M. Beaton, L. E. Geller, and M. M. Pechet (1961). «A New Photochemical Reaction». Journal of the American Chemical Society. 83 (19): 4076 - 4083. doi:10.1021/ja01480a030 
  2. IUPAC Goldbook

Literatura recomendada

  • D. H. R. Barton, J. M. Beaton, L. E. Geller and M. M. Pechet, J. Am. Chem. Soc. 82, 2640(1960); 83, 4076 (1961).
  • L. Nussbaum and C. H. Robinson, Tetrahedron, 17, 35 (1962);
  • P. Gray, ibid. 18, 879 (1962)
  • M.Akhtar and M. M. chet, J. Am. Chem. Soc. 86, 265 (1964);
  • J. M. Erikson and D. L. Forbes in C.Djerassi, Steroid Reactions (Holden-Day, Francisco, 1963), pp 341, 343, 358, 364;
  • T. Jen and M.E. Wolff, J. Org. Chem. 28, 1573 (1963)
  • K. Heusler and J. KaIvoda, Angew. Chem. (Internatl.Ed. in Engl.) 3, 525 (1964);
  • M. A. Khtar, D. H. R. Barton and P. G. Sammes, J. Am. Chem. Soc.86, 3394 (1964);
  • R. A. Sneen and N. P. Matheny, ibid. 86, 5503 (1964).

Ligações externas