Polimerização radicalar
A polimerização radicalar envolve um monômero que contem uma dupla ligação, e o crescimento da cadeia polimérica ocorre devido a ruptura dessa dupla ligação. Dessa forma os monômeros vão sendo, um por um, adicionados a esta cadeia. As polimerizações radicalares, são consideradas reações em cadeia, onde pode-se considerar três etapas reacionais diferentes: etapa de iniciação, etapa de propagação e etapa de terminação. Estas são as etapas básicas pelas quais os polímeros passam, porém outras reações podem ocorrer entre os radicais livres e os outros elementos presentes no meio reacional (monômeros, solvente, agentes de transferência de cadeia, polímeros e impurezas). O PVC é um exemplo de produto obtido através da polimerização em cadeia via radicais livres[1].
Etapas reacionais da polimerização radicalar
Iniciação
Alguns monômeros tem duplas ligações muito reativas e sofrem iniciação somente com aquecimento, porém a maioria requer um iniciador. Os iniciadores mais comuns são peróxidos e hidroperóxidos, que podem ser, orgânicos: peróxido de benzoíla; inorgânicos: persulfato de potássio; Azo compostos: AIBN-Azobisisobutironitrila. É considerada a etapa mais lenta da reação, toda energia fornecida é usada na decomposição do iniciador - peróxidos - o iniciador é desestabilizado termicamente formando dois centros ativos (radicais). Após a formação do centro ativo, o radical reage com o monômero, transferindo o centro ativo[2].
A iniciação mais comum é através da decomposição de uma molécula instável termicamente como, por exemplo, um peróxido. O mais comum é o peróxido de benzoíla, que sob aquecimento se dissocia formando dois radicais livres. É conveniente usar peróxidos simétricos, pois ao se dissociarem eles formam dois radicais iguais, que logicamente têm o mesmo nível energético e, portanto, atuam de forma semelhante.

Cada radical livre ataca a dupla ligação do monômero, rompendo a ligação e formando uma ligação simples entre a molécula do iniciador e o monômero iniciando a polimerização. Para o caso da polimerização do estireno, tem-se:

Propagação
Os radicais contendo moléculas de monômeros em suas estruturas continuam a reagir com outras moléculas de monômeros, fazendo com que a cadeia de radical livre cresça. É uma etapa com velocidade alta e constante, fazendo com que ocorra a transferência do centro ativo de monômero a monômero. Dessa forma a cadeia polimérica cresce com alta velocidade e baixa energia de ativação[3].

Terminação
A propagação da cadeia do radical livre continua até que dois radicais se encontrem e reajam entre si, terminando com o crescimento das duas cadeias de radicais livres (terminação) e formando uma ou duas moléculas de polímero. Estas são as principais etapas pelas quais os polímeros passam, porém outras reações podem ocorrer entre os radicais livres e os outros elementos presentes no meio reacional (monômeros, solventes, agentes de transferência de cadeia, polímeros e impurezas)[4]. A interrupção do crescimento da cadeia se dá através do desaparecimento do centro ativo, que pode ocorrer de várias maneiras, dependendo do tipo de monômero e condições de polimerização:
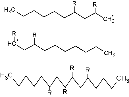
Combinação de dois macro-radicais
Durante o crescimento de uma cadeia polimérica radical, ela pode estatisticamente encontrar a ponta ativa de outra cadeia radical, que também está em crescimento. Se os dois carbonos ativados conseguirem se aproximar o suficiente para que uma ligação covalente simples C-C possa ser criada entre eles, esta ligação ocorrerá combinando ou condensando as duas cadeias radicais em uma única cadeia morta.

Este tipo de terminação gera cadeias com uma massa molar alta, pois envolve a soma das massas molares individuais de cada cadeia radical. Sua ocorrência pode ser dificultada, ou até impedida, se houver impedimento estérico entre os radicais laterais (R) presentes nas pontas reativas dos macro-radicais. Este impedimento será tanto mais intenso quanto maior (mais volumoso) forem os grupos laterais. Por exemplo, este mecanismo dificilmente ocorre durante a polimerização do poliestireno, pois seu grupo lateral é um anel benzênico, que é muito volumoso.
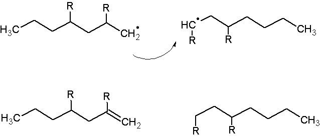
Desproporcionamento
Neste tipo de terminação há a transferência intermolecular de hidrogênio do carbono cauda do mero posicionado na ponta ativada de uma cadeia radial para o carbono cabeça do mero posicionado na ponta ativada da outra cadeia radial. O mecanismo de desproporcionamento é favorecido em detrimento da combinação quando o grupo lateral R é volumoso, pois este impede a aproximação dos dois carbonos ativos cabeça, o suficiente para que uma ligação simples seja formada entre eles. Esse tipo de terminação gera uma ponta com insaturação do tipo vinil terminal

Este mecanismo é comum na polimerização do PS, PM, etc., polímeros com grupos laterais volumosos.
Transferência de cadeia
Durante o crescimento de uma cadeia polimérica, esta pode abstrair um próton (hidrogênio) de um ponto qualquer de uma outra cadeia, interrompendo o seu crescimento. O centro ativo é então transferido para a cadeia polimérica, permitindo a formação de ramificações longas através da adição de mais monômero presente no meio reacional.

Este mecanismo é comum durante a polimerização do polietileno de baixa densidade, o qual emprega altas pressões, favorecendo a transferência de cadeia e gerando um polímero ramificado.
Outro mecanismo que ocorre durante a polimerização do etileno sob altas pressões envolvendo a transferência de hidrogênio é o "back bitring". A cadeia polimérica em crescimento tem uma pequena, mas real probabilidade de dobrar- se sobre si mesma e transferir um hidrogênio de sua própria cadeia, desativando o radical livre da ponta. Este é então transferido para o quinto átomo de carbono, contado a partir do carbono terminal, originalmente com o radical livre. O radical livre nesta nova posição pode dar início ao crescimento de uma longa sequência carbônica, reagindo com outras moléculas de monômero de etileno presente no meio reacional, ou seja, produzindo a continuação da cadeia polimérica. O conjunto de quatro átomos de carbono fica como uma ramificação curta do tipo butil ou C,. O mecanismo proposto é:

Transferência para o solvente
Dependendo do tipo de outras moléculas pre- sentes no meio reacional (solvente por exemplo), pode haver a transferência de átomos para o centro ativo da cadeia em crescimento com a sua conseqüente interrupção
------- CH2-CHR* + A-B + ------- CH2-CHR-A + B*
A porção da molécula B* pode ser ativa e, portanto, continuar reagindo, ou ser inativa, mantendo-se estável. No primeiro caso, o solvente AB é chamado de regula- dor de massa molar, e no segundo, de um terminador de cadeia. A hidroquinona é um exemplo de terminador tão eficiente que é chamada de inibidor. Sua oxidação produz p-benzoquinona e dois átomos de hidrogênio.

Cada hidrogênio reage com um radical livre, seja com o próprio peróxido dissociado:
I* + *H + I-H (desativando-o imediatamente)
seja com o radical livre de uma cadeia em crescimento:
---- CH--CHR:-- + *H ------- CH2-CH2R
cadeia em crescimento cadeia morta
interrompendo a reação de propagação. Comercialmente se adiciona hidroquinona ao monômero para evitar sua polimerização prematura durante o armazenamento.
Referências
- ↑ Eloisa Biassotto Mano, Luís Claudio Mendes (2004). INTRODUÇÃO A POLÍMEROS 2° edição ampliada e revisada. São Paulo, SP - Brasil: EDITORA EDGARD BLÜCHER LTDA
- ↑ CANEVAROLO JR., SEBASTIÃO V. (2002). CIÊNCIA DOS POLÍMEROS. [S.l.]: Copyright " 2002 by Artliber Editora Ltda.
- ↑ CANEVAROLO JR., SEBASTIÃO V. (2002). CIÊNCIA DOS POLÍMEROS. 2° edicão revisada e ampliada. [S.l.]: Copyright " 2002 by Artliber Editora Ltda.
- ↑ CANEVAROLO JR., SEBARTIÃO V. (2002). CIÊNCIA DOS POLIMEROS. [S.l.]: Copyright " 2002 by Artliber Editora Ltda.