Isomerismo conformacional

Em química orgânica, isomerismo conformacional(ou formulas conformacionais) é uma forma de estereoisomerismo na qual isômeros da mesma molécula podem ser interconvertidos formalmente a temperatura ambiente apenas por rotações sobre ligações simples C-C (consulte a figura na rotação de ligação simples).[1] Tais isômeros (estereoisômeros) são geralmente referidos como isômeros conformacionais ou confórmeros. São compostos que, geralmente, não podem ser separados fisicamente, devido a sua facilidade de interconversão.
As rotações sobre ligações simples envolvem a superação de uma barreira de energia rotacional para interconverter um cconfórmero a outro. Se a barreira de energia for baixa, há rotação livre[2] e uma amostra do composto existe como uma mistura de vários confórmeros, ou é suficientemente alta para que haja rotação restrita e qualquer molécula específica exista como rotámero relativamente estável.[3]
Isômeros conformacionais são assim distintos das outras classes de estereoisômeros (i. e. isômeros configuracionais) onde a interconversão necessariamente envolve quebrar e reformar as ligações químicas.[4] Por exemplo, configurações L/D e R/S de moléculas orgânicas tem diferentes orientações espaciais e atividades ópticas, e só podem ser interconvertidas ao quebrar uma ou mais ligações ligadas ao átomo quiral e reformando um vínculo semelhante em uma direção ou orientação espacial diferente.
O estudo da energia entre diferentes rotâmeros é referido como análise conformacional.[5] É útil para entender a estabilidade de diferentes isômeros, por exemplo, levando em consideração a orientação espacial e as interações entre substituintes. Além disso, a análise conformacional pode ser usada para prever e explicar a seletividade dos produtos, mecanismos e taxas de reação.[6]
Nomenclatura dos confômeros
Em 1960 William Klyne e Vladimir Prelog desenvolveram um método geral e detalhado para descrever conformações em torno a uma ligação simples em uma molécula ou parte de uma molécula.[7] O ângulo de torção entre A e D tem uma direção apropriada, sendo referido como (+) quando é medido em sentido horário, e como (-) quando é medido em sentido anti-horário.
Os rearranjos correspondentes para os ângulos de torção entre 0 e (±) 90° são chamados sin, e aqueles que correspondem aos ângulos de torção (±) 90 e 180° são denominados anti. Da mesma forma, os arranjos correspondentes para ângulos de torção entre os ângulos de 30° e 150 ° ou entre -30 °C e -150° são chamados clinal e aqueles entre as 0 ° e 30 ° ou 150 ° e 180 ° são chamados periplanos. Os dois tipos de condições podem ser combinados de modo a definir quatro intervalos de ângulo de torção; 0 ° e (±)30° sin-periplano (sp); 30 ° a 90 ° e -30 ° a -90 ° sinclinal (SC); 90 ° a 150 ° e -90 °C a -150 ° anticlinal (ac); ± 150 ° a 180 ° antiperiplano (ap).[8]

Conformações em sistemas de cadeia aberta
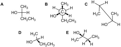
O termo conformação refere-se aos diferentes rearranjos espaciais dos átomos de uma molécula que surgem da rotação em torno das ligações entre determinados grupo de átomos, e uma conformação específica é chamada um confórmero ou isômero conformacional.[9] Portanto, isómeros conformacionais são estereoisómeros que podem ser convertidos um no outro pela rotação em torno de uma ligação simples. Os isômeros conformacionais são representados pelas formulas de projeção, as quais indica a disposição espacial relativa dos átomos através de suas ligações numa molécula.[10] São exemplos das formulas estereoquímicas as projeções de Fischer (A), Newman (B), cavalete(C), cunha(D) e ziguezague (E).[11]

Para qualquer ligação num composto de cadeia aberta que conecte dois átomos de carbono de hibridização sp3, um número infinito de conformações é possível, cada uma com certo valor de energia associado.[12] Isómeros conformacionais, mesmo se são não degenerados como é o caso do butano, não podem ser isolados na maior parte dos casos devido às pequenas barreiras rotacionais que existem entre eles.[9]
As diferentes conformações possuem diferentes ângulos de torção ao redor de uma ou mais ligações . O ângulo de torção (ϕ), que é um ângulo diedro, é o ângulo formado entre os planos que contem os átomos A,B,C e B,C,D.

Em uma projeção Newman o ângulo de torção é o ângulo entre as ligações de dois grupos ou substituintes de referência (A e D), um de eles ligado ao átomo mais próximo do observador (C), e outro ligado ao átomo mais afastado (representado como círculo).
Conformações da molécula de etano

A molécula de etano, CH3-CH3, é composta por dois grupos metila com sobreposição de orbitais híbridos sp3 que formam uma ligação sigma (σ) entre eles. Os dois grupos metila não está fixos em uma só posição, eles são relativamente livres para girar em torno da ligação sigma que liga os dois átomos de carbono.
Assim para a molécula de etano, existe um número infinito de conformações em torno da ligação C-C, cada uma com certo valor de energia associado. Duas destas conformações são reconhecidas como mínimos de energia (conformações alternadas) e máximos de energia (conformações eclipsadas). Na projeção de Newman a conformação eclipsada corresponde aos ângulos de torção de 0°, 120° e 240°; e a conformação alternada aos ângulos de torção de 60°, 180° e 300°.[13]

Na figura de abaixo é representado o gráfico de energia potencial em função do ângulo de torção. No gráfico de energia potencial pode-se observar que as conformações eclipsadas e alternadas correspondem aos máximos e mínimos de energia. A diferença entre as duas conformações é de 12,6 kJ/mol (ou 2.88 kJ/mol) a 25 °C. A desestabilização das conformações eclipsadas é chamada tensão torcional. Sendo esta característica resultado das características estruturais e tridimensionais de uma molécula. Devido ao fato de que as três ligações eclipasada produzem 12 kJ/mol de tensão torcional, é razoável atribuir 4,0 kJ/mol como o costo energético para cada ligação.[14]

Devido a fato de que barreira rotacional para os dois confôrmeros é pequena, qualquer molécula é susceptível de estar na conformação alternada em determinado instante e passar rapidamente à conformação eclipsada a uma velocidade de 6x109 s-1 a 25 °C. O seja, à temperatura ambiente, a maioria das moléculas tem energia cinética suficiente para superar a barreira rotacional.[15]
Em alguns hidrocarbonetos as repulsões de van de Waals são um fator importante para as barreiras de energia em determinada conformação. Entretanto, para a molécula de etano, a diferença entre a barreira rotacional não é fortemente influenciada por este tipo de repulsão. Analises cuidadoso dos raios de van der Waals mostrou que os hidrogênios dos grupos metila não estão próximos o suficiente para modificar substancialmente a barreira de rotação. Assim, a repulsão de van der Waals é responsável por menos de 10% da barreira experimental. Outros fatores como as interações eletrostáticas entre as ligações C-H, debilmente polarizáveis, também não são de importância para o etano.[16]
Uma explicação possível para a barreira rotacional de etano é mediante a utilização de orbitais de fronteira. Assim, a explicação proposta é que poderia existir uma interação de estabilização entre o orbital σ C-H no carbono e o orbital σ* da ligação C-H carbono vizinho, que é máxima quando os dois orbitais atômicos ficam em posição paralela (hiperconjugação).[17]

.
Conformações da molécula de butano

Na molécula de butano se consegue distinguir três conformações diferentes. Uma conformação alternada chamada anti, trans ou antiperiplana, onde os substituintes ficam nas posições mais afastadas (em ângulo de 180°, mais à esquerda, abaixo); a conformação gauche (ϕ = ± 60°) ”); e dois tipos de conformações eclipsadas chamadas de sinperiplana (ϕ = 0°) e anticlinal (ϕ= ±120°).[18] A relação entre a energia e o ângulo de torção por rotação em torno do C(2)-C(3) da ligação é apresentado na figura de abaixo.[19]

A diferença entre as conformações antiperiplana e sinclinal (ou gauche) em n-butano é cerca de 0,6 kcal/mol. A diferença de energia entre as duas conformações é atribuída ao incremento de energia como resultado da repulsão de van der Waals entre os grupos metila.[15] Além de isso, este valor de energia depende do estado de agregação dos confôrmeros, sendo por volta de 0.89-0,97 kcal/mol (3,7-4,1 kJ/mol ) em fase gasosa e 0,54-0,57kcal/mol (2.3-2.4 kJ/mol) em fase líquida.[16]
A conformação simperiplana é ainda mais instável pela repulsão van der Waals entre os grupos metila. Não se conhece com precisão a barreira energética de metila/metila , mas o faixa de valores experimentais e teóricos é entre 4,0 e 6,0 kcal/mol.[20] Na tabela de abaixo mostra-se os valores de energia para os diferentes tipos de repulsão entre os substituintes de n-butano.
| X-Y | δE kcal*mol−1 |
|---|---|
| H-H | 1,0 |
| H-Me | 1,4 |
| Me-Me | 3,1 |
A população dos confôrmeros gauche e antino butano está definido pela constante de equilíbrio das conformações , que depende tanto de ΔG () como de ΔH° (ΔG° = ΔH° - TΔS°; onde R é a constante dos gases (1,98 cal /mol*K), T é a temperatura em condições padrão (298K))) e também do ΔS°.[16][21]

Conformações da molécula de pentano
O analises conformacional para a molécula de n-pentano é um pouco mais complexa que o butano devido ao fato de que a rotação entre as moléculas pode ser feita em torno dois ângulos de torção diferentes, ϕ1 e ϕ2, formando nove conformações alternadas (figura de abaixo).

As conformações em torno das ligações C(2,3) e C(3,4) são denotadas como anti(a) ou gauche(g); o sinal + e – indica se o ângulo de torção esta perto de 60° ou -60°, respectivamente. As conformações acima da linha horizontal são conformações indistinguíveis devido ao fato de que elas têm o mesmo valor de energia. Além disso, as conformações ag+ e g+a se interconvertem mediante uma rotação de 180°, e o mesmo entre as conformações ag- e a-g. Portanto, só seis confôrmeros são distintos. Devido a fato de que o n-pentano possui duas variáveis independentes (os ângulos de torção em torno C2-3 e C3-C4) é conveniente representar as energias dos confórmeros em função de ϕ2,3 e ϕ3,4, como um diagrama de contorno.[22]
Os máximos de energia correspondem aos confôrmeros onde os ângulos de torção são ϕ2,3 = 65° e ϕ3,4 = 180° ou vice versa, o seja, os confôrmeros ag- e g+a. A conformação de menor energia é quando ϕ2,3 e ϕ3,4 são 180°.[16]

e os substituintes são grupos polares (por exemplo halogênios, nitrogênio ou oxigênio) existem outros efeitos, além dos já discutidos, que fazem que aumentam as barreiras rotacionais entre os confôrmeros. Assim, as moléculas com grupos polares possuem momento de dipolo associado, que é o responsável pela interação eletrostática entre os substituintes, afetando a barreira rotacional dos confôrmeros e a estabilidade relativa entre eles. A magnitude destas interações pode ser influenciada pela presença do solvente. Em compostos de tipo XCH2-CH2X (donde X= Cl ou Br), a conformação anti é preferencial. Este comportamento é atribuído à diminuição da repulsão dipolo-dipolo no confôrmeros anti, onde os substituintes ficam mais afastados. Embora o 1,2-difluoroetano também devesse apresentar uma repulsão quando os átomo de flúor se aproximam, o confôrmero tipo gauche é a conformação preferencial, ainda em fase gasosa.[23]
Na figura encontra-se as diferenças de entalpia em fase gasosa para 1,2-dihaloetanos

Este fato pode ser explicado pela combinação de uma energia de repulsão de van der Waals relativamente baixa (em comparação com bromo ou cloro), devido ao pequeno tamanho do átomo de flúor, mais as duas interações de hiperconjugação no confôrmero tipo gauche, ilustrado na figura de abaixo.[24][25] A fim de utilizar os dois átomos de flúor simultaneamente em este tipo de interação, as duas ligações C-F devem estar ortogonais entre si, sendo esta interação ótima em um ângulo de torção de 90º onde a energia é mínima[23][26]
_1%252C2-difluoroetano.png)
A substituição de um átomo de carbono por um heteroátomo em moléculas de tipo CH3-X-CH2CH3, também as estabilidades relativas dos confôrmeros. Comparado com butano, por exemplo, onde a distancia entre CH3/CH3 é de 1,53 Å, moléculas com átomos mais eletronegativos como etilmetiléter ou N-metiletanamina, a conformação gauche possui uma menor estabilidade relativa que o confôrmero anti, devido ao fato de que os grupos metila ficarem mais próximos (1,43 e 1,47 Å, respectivamente). Para o átomo de enxofre observa-se o efeito contrário onde as distâncias entre os grupos metila é de 1,81 Å, criando uma menor repulsão entre os grupos. Assim, as diferenças de energia entre os confôrmeros anti e gauche é próxima de zero.[23]
Para as moléculas de etano, metilamina e metanol, a substituição de átomo de carbono, por grupos OH ou NH produz uma diminuição nas barreiras de rotação entre os confôrmeros. Assim, os valores de energia para etano, metilamina e metanol são 2.9, 2,0 e 1,1 kcal / mol, respectivamente.[27]
Barreiras rotacionais de outras moléculas orgânicas pequenas também foram medidas.
| Alcanos | Barreira de rotação
(kcal·mol−1) |
Compostos com
heteroátomo |
Barreira de rotação
(kcal·mol−1) |
|---|---|---|---|
| CH3-CH3 | 2,9 | CH3-NH2 | 2,0 |
| CH3-CH2CH3 | 3,4 | CH3-NHCH3 | 3,0 |
| CH3-CH(CH3)2 | 3,9 | CH3-N(CH3)2 | 4,4 |
| CH3-C(CH3)3 | 4,7 | CH3-OH | 1,1 |
| C(CH3)3-C(CH3)3 | 8,4 | CH3-OCH3 | 4,6 |
Análise conformacional de moléculas acíclicas insaturadas
Eteno é uma molécula plana e, devido à alta barreira de rotação em volta da dupla ligação, o eteno existe em uma simples conformação. Desta forma, toda porção da molécula de qualquer alceno que contiver uma ligação dupla também será planar, ou seja, os dois átomos de carbono unidos pela ligação dupla e os quatro átomos que a eles se ligam estarão no mesmo plano. Propeno sofre alterações conformacionais pela rotação em torno da ligação simples em CH3-CH=CH2. As duas conformações, nas quais a ligação dupla é o plano de simetria, são mostradas abaixo (Eliel & Wilen, 1994).

A configuração mais estável é aquela em que a ligação dupla encontra-se eclipsada (cis) com uma das ligações C-H do grupo metil (Herschbach & Krisher, 1958). A barreira de rotação no propeno é de aproximadamente 2,0 kcal mol−1 (Lowe, 1968) e seria plausível pensar que a conformação alternada (sinclinal ou bissectada) H2C=C/C-H correspondesse ao máximo de energia. No entanto, uma vez que a energia referente aos hidrogênios eclipsados na conformação bissectada corresponde somente a 1 kcal mol−1, ou seja, metade da barreira total, parece haver uma desestabilização adicional, de mesma magnitude, devido à interação desfavorável das outras duas ligações C-H com o orbital π C=C nesta conformação (Wiberg & Martin, 1985). Adicionalmente, a conformação do propeno é influenciada por hiperconjugação (Carey & Sundberg, 5ª ed.). O grupo metila exerce um efeito de estabilização (2,1 kcal mol−1) sobre a dupla ligação, por meio da interação σ-π*. O principal efeito é a transferência da densidade eletrônica da ligação σ C-H da metila para um orbital vazio π*. Cálculos computacionais estimam que a esta energia de estabilização seja de 5,4 kcal mol−1 (Y. Mo & Peyerimhoff, 1998) e também preveem o encurtamento da ligação C(2)–C(3) como resultado da deslocalização σ-π*. Uma vez que a extensão da hiperconjugação difere entre os dois confôrmeros, este fator também contribui para a diferença de energia entre eles.

Substituintes no C(1) do propeno, como em CH3-CH=CHX, diminuem a barreira energética para a rotação das metilas se estiverem na posição cis (Z) à metila, o que não ocorre na posição trans (E) (tabela 1). Como não parece haver razão óbvia para que a conformação bissectada seja estabilizada por um substituinte ligado ao C(1), a redução da barreira deve-se, provavelmente, à desestabilização da forma eclipsada. Tal desestabilização, que deve ocorrer por repulsão de van de Waals entre um hidrogênio do grupo metila e o substituinte X, é relevante quando Rc =X (Z), mas não quando Rt = X (E). Em propenos substituídos do tipo R-CH2-CH=CH2, em que R é um substituinte pequeno e eletronegativo, como F, CH3O ou CN-, a conformação cis é notoriamente dominante (karabatsos & Fenoglio, 1970).

| X | E ou Z | kcal mol-1 | kJ mol-1 |
|---|---|---|---|
| Cl | E | 2,17 | 9,1 |
| Cl | Z | 0,62 | 2,6 |
| CH3 | E | 1,95 | 8,2 |
| CH3 | Z | 0,75 | 3,1 |
No caso de alcenos com quatro átomos de carbono, a presença de uma dupla ligação possibilita quatro estruturas possíveis:

O 1-buteno possui duas conformações eclipsadas, a primeira cis, com o grupo C=CH2 eclipsado com CH3 e outra gauche (anticlinal), mais estável, com o grupo C=CH2 eclipsado com H. A barreira para a interconversão entre os confôrmeros gauche e cis é de aproximadamente 0,5 kcal mol−1. Já a barreira entre a forma gauche e as formas bissectadas é de aproximadamente 1,7 kcal mol−1 (Eliel & Wilen, 1994).

Substituições podem introduzir repulsão de van der Waals que vão influenciar o equilíbrio conformacional. Por exemplo, a introdução de uma metila no C(2), como em 2-metil-1-buteno, origina uma repulsão entre metilas na conformação gauche e, como resultado, as duas formas eclipsadas possuem praticamente a mesma energia (Shimanouchi, T. et al, 1968).

O aumento do tamanho do grupo no carbono C(3) favorece a conformação em que o hidrogênio encontra-se eclipsado. Por exemplo, o 4,4-dimetil-1-penteno existe principalmente na conformação em que o hidrogênio está eclipsado, e não as metilas.

Esta interação é um exemplo de tensão 1,3-alílica (Hoffman, R.W., 1989). Este tipo de tensão surge na conformação eclipsada quando substituintes coplanares na dupla ligação e no grupo ligado ao C(3) são volumosos o suficiente para haver repulsão entre eles. A conformação de alcenos é um importante fator com referência à estereoseletividade de reações de adição de alcenos. A tensão alílica e demais fatores conformacionais contribuem para a energia relativa dos possíveis estados de transição e podem conduzir a um estereoisômero específico como produto. Quanto ao 2-buteno, segue a análise se os isômeros cis e trans podem ser isolados ou se os isômeros sofrem fácil interconversão, como as conformações do butano. A interconversão entre as formas cis e trans implica na rotação em torno da ligação dupla carbono-carbono. A separação dos isômeros depende da energia necessária para que esta rotação se efetue. A formação da ligação π resulta da sobreposição dos orbitais p que se situam acima e abaixo do plano dos orbitais σ. Para a interconversão dos butenos, é obrigatório girar uma das metades da molécula relativamente à outra, o que demandaria a quebra da ligação π. A ruptura desta ligação requer energia de aproximadamente 293 kJ, que não se alcança à temperatura ambiente. Devido a esta barreira de energia, a rotação em volta da ligação dupla torna-se impedida. Como resultado, é possível isolar os isômeros cis e trans do 2-buteno. Os isômeros cis- e trans-2-buteno, visto diferirem apenas na orientação espacial, são estereoisômeros. Como não são imagens especulares um do outro, os isômeros não são enantiômetros, mas sim, diasteroisômeros. Algumas propriedades físicas dos isômeros são mostradas na tabela 2.
| Isômero | PE(°C) | PF (°C) | Densidade (-20 °C) | Índice de refração (-12,7 °C) |
|---|---|---|---|---|
| 2-Metilpropeno | -7 | -141 | 0,640 | 1,3727 |
| 1-Buteno | -6 | <- 195 | 0,641 | 1,3711 |
| Cis-2-buteno | +1 | -106 | 0,649 | 1,3778 |
| Trans-2-buteno | +4 | -139 | 0,667 | 1,3868 |
Tendo o exemplo do (Z)-2-penteno, observa-se que o confôrmero de maior energia é o cis, em que os grupos metila estão eclipsados.

Um exemplo de sistema insaturado com ligações duplas conjugadas é o 1,3-butadieno. Sua conformação mais estável é a antiperiplanar (s-trans), com Φ = 180º, por possuir o máximo de conjugações e o mínimo de interação estérica. O termo s refere-se às conformações envolvendo as ligações simples e não as ligações duplas. As demais conformações são a gauche (Φ =60º) e s-cis (sin-periplanar, Φ =0º). A conformação planar s-cis experimenta uma repulsão de van der Waals entre os hidrogênios C(1) e C(4), que é aliviada na conformação gauche.

A barreira para a conversão da conformação gauche para s-trans é de 3,9 kcal mol−1 (Carey & Sundberg, 5ª ed.). O máximo de energia presumidamente se refere à conformação na qual as duas ligações π estão mutualmente perpendiculares. Diversos cálculos apontam que a energia da conformação s-trans é menor que as energias das demais configurações em 2 - 5 kcal mol−1 (Rablen & Marques, 1992; Head-Gordon & Pople, 1993). Compostos carbonilados, como os 1-alcenos, preferem a conformação eclipsada à bissectada, como mostrado para o etanal e propanal. A barreira para a rotação do grupo metil no etanal é 1,17 kcal mol−1 (Kleiner et al, 1992; Belov, S.P. et al, 1993). Análises computacionais indicam que pequenos ajustes na geometria da molécula, incluindo o comprimento da ligação σ, devem ser considerados para a análise quantitativa da barreira (Goodman et al, 1995). A energia total pode ser dissociada em nuclear-nuclear, elétron-elétron, nuclear-elétron e cinética (Δt). A barreira de energia calculada aproxima-se muito do valor experimental. As contribuições para a barreira de energia do etanal obtidas por método computacional são apresentadas abaixo (Carey & Sundberg, 5ª ed.).
| ΔVm | -10,621 |
| ΔVee | -5,492 |
| ΔVne | +18,260 |
| Δt | -0,938 |
| Δ total | +1,209 |
No propanal, é o grupo metila, e não o hidrogênio, que está eclipsado com o grupo carbonila na conformação mais estável. A diferença entre as duas conformações eclipsadas, determinada por microscopia de micro-ondas, é de 0,9 kcal mol−1 (Butcher & Wilson, 1964). Porém, quando se trata de substituintes alquila muito volumosos, a conformação com o hidrogênio eclipsado torna-se mais estável. Este é o caso do 3,3-dimetilbutanal.

Outros exemplos a serem citados são a acroleína (propenal), ácido acrílico (ácido propanóico) e acrilato de metila. Acroleína (X = H) existe predominantemente sob a conformação s-trans, de menor interação estérica, sendo a diferença em energia entre as formas s-trans e s-cis de 1,7 kcal mol−1 e a energia de barreira de 5,0 – 6,4 kcal mol−1 (Courtieu et al, 1974; Carreira, 1976; Blom e Balder, 1982). Ambas as estruturas são planares (Blom et al 1982). No caso do ácido acrílico (X = OH) e acrilato de metila (X = OCH3), as diferenças entre as respectivas conformações s-cis e s-trans devido a interações estéricas são pequenas. Para o ácido acrílico, a diferença em energia é de 0,17 kcal mol−1 (Bolton et al, 1974), com barreira de 3,8 kcal mol−1, ao passo que a diferença entre as energias dos confôrmeros para o acrilato de metila é 0,31 kcal mol−1. Não há certeza sobre qual é a conformação menos estável, a cis ou a gauche (Eliel & Wilen, 1994). O fato da conformação s-trans ser pouco favorecida nestes compostos sugere que a vantagem estereoeletrônica é mínima e que, no caso da acroleína, sua substancial predominância deva-se a questões estéricas, ou seja, uma interação desfavorável =CH2/O= na conformação s-cis ou gauche. O menor valor da barreira na conformação s-trans do ácido acrílico em relação à acroleína está de acordo com a maior interação estérica existente no ácido (=CH2/OH eclipsado).

Cetonas também preferem a conformação eclipsada, estando o grupo alquil, e não o hidrogênio, eclipsado com o grupo carbonila. Esta conformação é mais estável porque permite que os dois grupos alquila sejam antie não gauche em relação ao outro substituinte da carbonila.

A conformação dominante da 2-butanona é anticom o hidrogênio do C(1) e o metil do C(4) eclipsados com a carbonila. A barreira rotacional C(3) – C(4) é 2,48 kcal mol−1, enquanto que a barreira C(1) – C(2) é 0,67 kcal mol−1 (Carey & Sundberg, 5ª ed.). A conformação dominante do 3-metil-2-butanona é similar (Sakurai, T. et al, 2003). Adicionalmente, no caso da 3-pentanona, estudos de difração de elétrons indicam que na conformação mais estável, a metila está eclipsada com a carbonila (Romers & Creutzberg, 1956). Portanto, a tendência é que os grupos metila prefiram estar eclipsados com o grupo carbonila.

O equilíbrio entre as conformações s-trans e s-cis de cetonas α,β-insaturadas substituídas depende da extensão da interação de van der Waals entre os substituintes ligados aos carbonos C(1) e C(4) (Montaudo et al, 1973). Metil-vinil-cetona sofre o mínimo de repulsão devido e existe predominantemente como confôrmero s-trans.

Quando grupos alquila volumosos substituem a metila, a razão da forma s-cis cresce progressivamente à medida que o tamanho do substituinte aumenta (Bienvenue, A., 1973).

Uma interação desfavorável metil-metil desestabiliza a conformação s-trans do 4-metilpent-3-en-2-ona (óxido de mesitila) em relação à conformação s-cis e o equilíbrio favorece a forma s-cis (Carey & Sundberg, 5ª ed.).

Referências
- ↑ IUPAC, Compêndio de Terminologia Química, 2ª ed. ("Gold Book"). Compilado por A. D. McNaught e A. Wilkinson. Blackwell Scientific Publications, Oxford (1997). Versão online: "conformer" (2006–) criado por M. Nic, J. Jirat, B. Kosata; atualizações compiladas por A. Jenkins. ISBN 0-9678550-9-8.
- ↑ IUPAC, Compêndio de Terminologia Química, 2ª ed. ("Gold Book"). Compilado por A. D. McNaught e A. Wilkinson. Blackwell Scientific Publications, Oxford (1997). Versão online: "Free rotation (hindered rotation, restricted rotation)" (2006–) criado por M. Nic, J. Jirat, B. Kosata; atualizações compiladas por A. Jenkins. ISBN 0-9678550-9-8.
- ↑ IUPAC, Compêndio de Terminologia Química, 2ª ed. ("Gold Book"). Compilado por A. D. McNaught e A. Wilkinson. Blackwell Scientific Publications, Oxford (1997). Versão online: "Rotamer" (2006–) criado por M. Nic, J. Jirat, B. Kosata; atualizações compiladas por A. Jenkins. ISBN 0-9678550-9-8.
- ↑ Hunt, Ian. «Stereochemistry». University of Calgary. Consultado em 28 de outubro de 2013
- ↑ Anslyn, Eric; Dennis Dougherty (2006). Modern Physical Organic Chemistry. [S.l.]: University Science. p. 95. ISBN 978-1891389313
- ↑ Barton, Derek. «The Principles of Conformational Analysis.». Nobel Media AB 2013. Elsevier Publishing Co. Consultado em 10 de novembro de 2013
- ↑ Klyne, W.; Prelog, V. (15 de dezembro de 1960). «Description of steric relationships across single bonds». Experientia. 16: 521-568
- ↑ Cahn, R. S.; Ingold, Sir. Christopher; Prelog, V. (abril de 1966). «Specification of Molecular Chirality». Angewandte Chemie International Edition in English. 5 (4): 385-415. doi:10.1002/anie.196603851
- ↑ a b Eliel, Ernest L; Wilen, Samuel H. (1994). Stereochemistry Of Organic Compounds. New York: John Wiley and Sons. p. 597-611. ISBN 0-471-01670-5
- ↑ «Definitions: Conformational Isomers» (em inglês). Chemical Education Digital Library. Consultado em 1 de agosto de 2015
- ↑ «conformation» (em inglês). IUPAC GOLD BOOK. Consultado em 1 de agosto de 2015
- ↑ ,March, Jerry (1994). Advance Organic Chemistry: Reactions Mechanisms and Structure. New York: John Wiley and Sons. p. 139. ISBN 0471-601802
- ↑ Carey, Francis A. (2000). Organic chemistry. 4th ed. Boston ; Toronto: McGraw-Hill. ISBN 0-07-290501-8
- ↑ Carey, Francis A. (2000). Organic chemistry. 4th ed. Boston ; Toronto: McGraw-Hill. ISBN 0-07-290501-8
- ↑ a b Carey, Frank A.; Sundberg, Richard J. (2007). Advanced organic chemistry : PART A. 5th ed. Berlin: Springer. ISBN 978-0-387-44897-8
- ↑ a b c d Eliel, Ernest L; Wilen, Samuel H. (1994). Stereochemistry Of Organic Compounds. New York: John Wiley and Sons. p. 597-611. ISBN 0-471-01670-5
- ↑ Lowe, John P. (junho de 1970). «Simple molecular orbital explanation for the barrier to internal rotation in ethane and other molecules». Journal of the American Chemical Society. 92 (12): 3799–3800. doi:10.1021/ja00715a049
- ↑ ,March, Jerry (1994). Advance Organic Chemistry: Reactions Mechanisms and Structure. New York: John Wiley and Sons. p. 139. ISBN 0471-601802
- ↑ Allinger, N. L.; Profeta, S. (1980). «The torsional potential function forn-butane». Journal of Computational Chemistry. 1 (2): 181–184. doi:10.1002/jcc.540010211
- ↑ Allinger, Norman L.; Grev, Roger S.; Yates, Brian F.; Schaefer, Henry F. (janeiro de 1990). «The syn rotational barrier in butane». Journal of the American Chemical Society. 112 (1): 114–118. doi:10.1021/ja00157a018
- ↑ Evans, D. A. «Acyclic Conformational Analysis-1» (PDF). Consultado em 2 de agosto de 2015
- ↑ Martin, Jan M. L. (11 de abril de 2013). «What Can We Learn about Dispersion from the Conformer Surface of -Pentane?». The Journal of Physical Chemistry A. 117 (14): 3118–3132. doi:10.1021/jp401429u
- ↑ a b c Eliel, Ernest L; Wilen, Samuel H. (1994). Stereochemistry Of Organic Compounds. New York: John Wiley and Sons. p. 597-611. ISBN 0-471-01670-5
- ↑ Wolfe, Saul (março de 1972). «Gauche effect. Stereochemical consequences of adjacent electron pairs and polar bonds». Accounts of Chemical Research. 5 (3): 102–111. doi:10.1021/ar50051a003
- ↑ Goodman, Lionel; Gu, Hongbing; Pophristic, Vojislava (fevereiro de 2005). «Gauche Effect in 1,2-Difluoroethane. Hyperconjugation, Bent Bonds, Steric Repulsion». The Journal of Physical Chemistry A. 109 (6): 1223–1229. doi:10.1021/jp046290d
- ↑ Reusch, William. «Acyclic Conformational Analysis» (em inglês). Consultado em 2 de agosto de 2015
- ↑ Carey, Frank A.; Sundberg, Richard J. (2007). Advanced organic chemistry : PART A. 5th ed. Berlin: Springer. ISBN 978-0-387-44897-8