Carbânion
Um carbânion é um ânion de composto orgânico onde um átomo de carbono possui elevada densidade eletrônica, seja por uma espécie formalmente carregada negativamente ou pela presença de um carbono com pares de elétrons extras contribuindo para o híbrido de ressonância.
- RnC-H + B → RnC– + H-B+ n=1,2,3
onde B é uma base.
Foi primeiramente proposto por Reginald W. L. Clarke e Arthur Lapworth em 1907[1] na síntese da benzoína. Há duas maneiras principais de se obter um carbânion: reações ácido-base e por ligação com elemento menos eletronegativos, como metais alcalino e alicalino-terrosos.
Via Desprotonação
O carbono possui eletronegatividade média de 2,5 enquanto que o hidrogênio de 2,2[2] de modo que, se o hidrogênio for abstraído, o par de elétrons deve ficará com o carbono gerando um carbânion. A eletronegatividade do carbono aumenta em função do caráter s de sua hidridização, assim o valor de pKa diminui do alcano para o alcino numa série homóloga.
A abstração desse hidrogênio é dependente da acidez do composto, que varia em função de arranjos geométricos e heteoátomos vizinhos, mas principalmente da estabilidade da espécie formada. Abaixo segue uma tabela com os diferentes valores de pKa para diferentes funções orgânicas:
|
Função |
Nome |
Estrutura |
pKa |
Solvente |
|---|---|---|---|---|
|
Alcano |
Metano |
![]() |
48,0 56,0 48,0 |
H2O DMSO DMF |
|
Propano |
![]() |
68 38 |
H2O DMF | |
|
Isobutano |
![]() |
51,0 |
H2O | |
|
Ciclopentano |
![]() |
52,0 |
H2O | |
|
Fluoreno |
![]() |
22,6 |
DMSO | |
|
Alceno |
Propeno |
![]() |
38 |
DMF |
|
1,6a-diidropentaleno |
![]() |
20,0 20,1 |
H2O DMSO | |
|
Indeno |
![]() |
20,1a |
DMSO | |
|
Pentadieno |
![]() |
16,0 18,1 |
H2O DMSO | |
|
Alcino |
Fenilacetileno |
![]() |
23,0 28,8 |
H2O DMSO |
|
Aromático |
Benzeno |
![]() |
43,0 |
H2O |
|
Tolueno |
![]() |
40,0 41,0 39 |
H2O DMSO DMF | |
|
Cetona |
Acetona |
![]() |
26,5a |
DMSO |
|
Ácido de Meldrum |
![]() |
4,97b |
H2O | |
|
Acetilacetona |
![]() |
9,0 13,3 |
H2O DMSO | |
|
Nitro |
Nitrometano |
![]() |
11,2 17,2 |
H2O DMSO |
|
Trinitrometano |
![]() |
0,17c |
H2O | |
|
Nitrila |
Ácido cianídrico |
9,4 12,9 |
H2O DMSO | |
|
Malononitrila |
![]() |
11,2 11,1 |
H2O DMSO | |
|
Cianofórmio |
![]() |
-5,13d -5,00d |
HClO4 H2SO4 | |
|
Sulfo |
Dimetilsulfóxido |
![]() |
35e |
H2O |
|
Metilfenilsulfona |
![]() |
29,0 |
DMSO | |
|
Referências |
Fenol |
![]() |
10,0 18,0 |
H2O DMSO |
|
Ácido acético |
![]() |
4,8 12,3 |
H2O DMSO | |
|
Ácido nítrico |
![]() |
-1,4 |
H2O |
a BORDWELL, F. G.; Equilibrium acidities in dimethyl sulfoxide solution, Accounts of Chemical Research, Vol 21, nº 12, pág. 456-463. DOI: 10.1021/ar00156a004
b MACNAB, H.; Meldrum's acid, Chem. Soc. Rev., Vol. 7, pág.345-358. DOI: 10.1039/CS9780700345
c Jiping Liu; Liquid Explosives, Springer, New York, 2015, pág. 157
d Boyd, R. H.; The Strenghts of Cyanocarbon Acids and an H-Acidity Scale for Concentrated Acid Solutions, J. Am. Chem. Soc. , Vol. 83, nº 20, pag. 4288-4290. DOI: 10.1021/ja01481a046
e MATTHEWS, W. S.; BARES, J. E.; BARTMESS, J. E.; BORDWELL, F. G.; CORNFORTH, F. J.; DRUCKER, G. E.; MARGOLIN, Z.; MCCALLUM, R. J.; MCCoLLUM, G. J.; VANIER, N. R.; Equilibrium acidities of carbon acids. VI. Establishment of an absolute scale of acidities in dimethyl sulfoxide solution, J. Am. Chem. Soc., Vol 97, nº24, pág. 7006-7014. DOI: 10.1021/ja00857a010
f Demais valores: Paulo Costa, Vitor Ferreira, Pierre Esteves, Mário Vasconcelos; Ácidos e Bases em Química Orgânica, Bookman, Porto Alegre, 2005, pág. 59-60, 64
Via efeito indutivo
Compostos em que o carbono está ligado a elementos de eletronegatividade[2] inferior a si mesmo são carbânions em potencial - sendo a formação de carbânion por desprotonação um caso particular do carbânion via efeito indutivo.
Em geral, um composto organometálico é preparado a partir da reação do composto halogenado com dois equivalentes da carga metálica. Solventes pouco ácidos como o éter etílico, dioxana ou THF secos são empregados para evitar reações colaterais competitivas. Os compostos com metais alcalinos e alcalino-terrosos são as principais fontes de carbânion organometálico.

Apesar de carbânions de sódio, potássio e césio serem conhecidos, os de lítio são os mais empregados. Como são monovalentes, devem ser empregados pelo menos dois equivalentes do metal na reação e não há limitação de reatividade para os haletos.
Os reagentes organolítios tendem a existir sob a forma de tetrâmeros ou hexâmeros devido à natureza covalente da ligação carbono-lítio. Os compostos organolítios, como o metil-lítio, costumam ser bons nucleófilos e bases fortes[3],[4].

O equilíbrio entre a formação de tetrâmeros e hexâmeros ocorre pela adição de aditivos e por efeitos de solvente. Tetramêros são favorecidos por solventes oxigenados, como éter etílico, enquanto que hexâmetros são favorecidos por hidrocarbonetos[5].
A Reação de Grignard é a principal forma de obter organometálicos de metais alcalino-terrosos. A reação consiste em reagir um haleto com ao menos um equivalente de magnésio metálico em éter ou THF seco, obtendo a ligação carbono-magnésio. Pode ser obtida para cloretos, brometos e iodetos, mas fluoretos não reagem.

Outros metais como antimônio, chumbo, cobre, ferro e mercúrio também formam compostos organometálicos, entretanto a ligação carbono-metal é covalente e não costumam gerar carbânions.
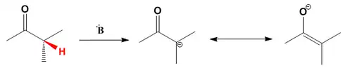
Estabilidade
Enolatos
O hidrogênio α-cetona possui elevada acidez relativa, devido a estabilização por ressonância, gerando enol em equilíbrio com a cetona. Essa característica pode ser aproveitada sinteticamente, utilizando bases fortes para abstrair o hidrogênio α-cetona e provocar a formação do enolato - que é um híbrido de ressonância em que há contribuição do carbânion de cetona.

A reatividade do par enolato/ carbânion pode ocorrer tanto pelo oxigênio quanto pelo carbânion, a depender do favorecimento dado pelas condições reacionais.
Carbânions aromáticos
A formação de carbânions pode ser facilitada se o produto apresentar aromaticidade. O ciclopentadieno possui elevada acidez para um alcano (16 em água), o que sugere a alta estabilidade do produto. Esse par de elétrons extra é capaz de realizar ressonância com o sistema π e o torna aromático.

O ciclooctatetraeno possui capacidade semelhante, mas são necessárias quatro pares de elétrons extras. Assim, a reação de ciclooctatetraeno com dois equivalentes de potássio metálico também leva ao produto aromático:

Grupos vizinhos
Grupos vizinhos elétron retiradores podem estabilizar o carbânion por efeito indutivo, mas este efeito sozinho acaba por ser fraco. A estabilização ocorre mais efetivamente quando a ressonância passa a contribuir, fazendo com que o carbono α-grupo possa ser um carbânion em potencial. Carbono β-flúor também bem estabilizados por hiperconjugação negativa[6].
As cetonas, nitrilas e nitro são grupos que estabilizam muito bem o carbânion, tornando-o muito mais ácidos que o esperado por sua estrutura química - vide ácido de Meldrum (pKa = 4,97), cianofórmio (pKa = -5,00) e trinitrometano (pKa = 0,17). Comparativamente, o ácido acético possui pKa = 4,8 e o ácido nítrico pKa = -1,4.
Essa capacidade de estabilização leva a possibilidades sintéticas únicas, principalmente se o grupo estabilizador puder ser removido após o acoplamento de interesse.
Carbânions pró-quirais
A energia de inversão do carbânion é fortemente dependente dos substituintes. Para R = H a barreira é de apenas 2Kcal/mol, enquanto que se R = F a barreira é de 120Kcal/mol - levando o carbânion a possuir um par de enântiomeros[7].

Dessa maneira, a presença de substituintes eletronegativos e/ou volumosos elevam a barreira de inversão permitindo carbânions pró-quirais[8].

Carbânion Cinético x Carbânion Termodinâmico
O pKa é determinado pela acidez termodinâmica, ou seja, pelo produto de menor energia absoluta - carbânion termodinâmico. A isso se aplicam as regras na formação de alcenos mais substituídos para enolatos termodinâmicos, por exemplo.

Entretanto, esse comportamento depende de fatores como a temperatura e a base utilizada. Em geral, maiores temperaturas levam a produtos termodinâmicos já que, com maior energia disponível no sistema, é possível estabelecer rapidamente os equilíbrios que levarão aos produtos menos energéticos.

Um carbânion cinético é aquele formado pelo caminho de reação com menor energia de ativação (Ea), mesmo que não seja o mínimo de energia. Dessa maneira, baixas temperaturas favorecem a formação de produtos cinéticos. Os parâmetros geométricos afetam diretamente a Ea do Estado de Transição Controlador da Velocidade de Reação (ETCVR), de modo que hidrogênios mais acessíveis costumam ter menor Ea na desprotonação. Da mesma forma, se a base for volumosa, como o amideto de lítio (LDA), o ETCVR será o de menor energia e levará preferencialmente a um carbânion cinético.


Reatividade
A reatividade do carbânion está intimamente ligada à sua acessibilidade e/ou estabilidade, podendo se comportar como um nucleófilo - se estiver geometricamente disponível e for estabilizado - ou como uma base em caso contrário[9].
Os carbânions são intermediários reacionais muito úteis em reações de condensação como a condensação aldólica, adição de Michael, reação de Wittig, reação de Grignard e as reações de acoplamento com organolítio.
Referências
- ↑ Clarke, Reginald W. L.; Arthur. «LXV.?An extension of the benzoin synthesis». Journal of the Chemical Society, Transactions (em inglês). 91. doi:10.1039/ct9079100694
- ↑ a b Little, Elbert J.; Mark M. (1 de maio de 1960). «A complete table of electronegativities». Journal of Chemical Education (em inglês). 37 (5). doi:10.1021/ed037p231
- ↑ Chan, Lock Lim.; K. H. (1 de maio de 2002). «Complexation of lithium, sodium, and potassium carbanion pairs with polyglycol dimethyl ethers (glymes). Effect of chain length and temperature». Journal of the American Chemical Society (em inglês). 92 (7): 1955-1963. doi:10.1021/ja00710a029
- ↑ Fraenkel, Gideon; Albert (1 de maio de 2002). «Structure and dynamic behavior of solvated neopentyllithium monomers, dimers, and tetramers: proton, carbon-13 and lithium-6 NMR». Journal of the American Chemical Society (em inglês). 112 (17): 6190-6198. doi:10.1021/ja00173a005
- ↑ Brown, Theodore L.; Max T. (1 de maio de 2002). «The Preparation and Properties of Crystalline Lithium Alkyls». Journal of the American Chemical Society (em inglês). 79 (8): 1859-1861. doi:10.1021/ja01565a024
- ↑ Exner, Otto; Stanislav. «Negative hyperconjugation of some fluorine containing groups». New Journal of Chemistry (em inglês). 32 (8). doi:10.1039/b718430a
- ↑ Niemeyer, Hermann M. (1 de janeiro de 1977). «On the inversion barriers of pyramidal carbanions». Tetrahedron. 33 (17): 2267-2270. doi:10.1016/0040-4020(77)80014-8
- ↑ Sasaki, Michiko; Tomo. «Enantioselective trapping of an α-chiral carbanion of acyclic nitrile by a carbon electrophile». Chemical Communications (em inglês). 48 (23). doi:10.1039/c2cc00082b
- ↑ Carey, Francis A.; Richard J., Sundberg (2007). Advanced Organic Chemistry Part A: Structure and Mechanisms. [S.l.: s.n.] ISBN 978-0-387-44899-2
























