Acetileto metálico

Um acetileto metálico é um alquino no qual o próton terminal (hidrogênio) tenha sido substituído por um metal tal como sódio ou um organolítio. Então, por exemplo, o alquino CH3C≡CH deve ser deprotonado para formar o íon acetaleto CH3C≡C−. Uma vez tendo sido deprotonado ele torna-se um forte nucleófilo. Alguns acetiletos, eg. acetileto de prata ou acetileto de cobre, são explosivos.
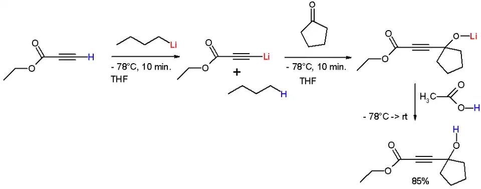
Íons acetileto são muito úteis em reações na química orgânica na combinação de cadeias de carbono, particularmente reações de adição e substituição. Um tipo de reação apresentada pelos acetiletos são as reações de adição com cetonas para formar álcoois terciários.[1]

Referências
- ↑ Synthesis of alkyl 4-hydroxy-2-alkynoates M. Mark Midland, Alfonso Tramontano, John R. Cable J. Org. Chem.; 1980; 45(1); 28-29. Abstract