Vermelho de metila
Vermelho de Metila
| |||||||||||
|---|---|---|---|---|---|---|---|---|---|---|---|
![]() | |||||||||||
| Nomes | |||||||||||
| Nome IUPAC | Methyl red | ||||||||||
| |||||||||||
| |||||||||||
| |||||||||||
| Página de dados suplementares | |||||||||||
| Estrutura e propriedades | n, εr, etc. | ||||||||||
| Dados termodinâmicos | Phase behaviour Solid, liquid, gas | ||||||||||
| Dados espectrais | UV, IV, RMN, EM | ||||||||||
| Exceto onde denotado, os dados referem-se a materiais sob condições normais de temperatura e pressão. Referências e avisos gerais sobre esta caixa. Alerta sobre risco à saúde. | |||||||||||
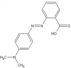
Vermelho de metila ou vermelho de metilo, também chamado C.I. Acid Red 2, C.I. 13020, é um corante indicador de pH que se torna vermelho em soluções ácidas. É um corante azóico, e é apresenta-se como um pó cristalino vermelho escuro.
Obtenção
É obtido pela copulação do ácido antranílico na forma de sal de diazônio com N,N-dimetilanilina.[1][2]
Usos
Indicador de pH
Como indicador, é vermelho em pH abaixo de 4.4, amarelo em pH acima de 6.2, e laranja entre estes valores.[3][4][5]
| Vermelho de Metila (indicador de pH) | ||
| pH abaixo de 4.4 | pH acima de 6.2 | |
| vermelho | ⇌ | amarelo |
Normalmente é formulado para uso como indicador de pH como uma solução de 0,02 % em m/v em etanol a 60% v/v em água.[4]
É o indicador indicado para a determinação do teor de ácido sulfúrico em suas soluções, através de uma titulação acidimétrica direta com solução titulante de hidróxido de sódio.[6]
Pode ser usado como indicador ácido-base na determinação simultânea de hidróxido de sódio e carbonato de sódio numa mistura (método de Warder), na determinação simultânea de ácido sulfúrico e ácido bórico numa mistura, como indicador na preparação de solução padronizadas de ácido clorídrico e hidróxido de sódio, na determinação de óxido de mercúrio (II), na determinação de tiossulfato de sódio pela formação na reação de oxidação de tiossulfato de sódio com bromo.[7]
É usado na forma sólida, conjuntamente com o azul de metileno, na determinação de íons de níquel (II) pela medição do ácido formado em uma reação em uma resina de troca iônica.[7]

Teste vermelho de metila
Em microbiologia, o vermelho de metila é usado no teste do vermelho de metila ou Methyl Red (MR) test, usado para identificar bactérias produzindo ácidos estáveis por mecanismos de mistura de ácidos pela fermentação da glucose. Cf. Teste Voges-Proskauer (VP).
O teste vermelho de metila é a porção "M" dos quatro testes IMViC usados para caracterizar bactérias entéricas. O teste vermelho de metila é usado para identificar bactérias entéricas baseado em seu padrão de metabolismo de glucose. Todas as entéricas inicialmente produzem ácido pirúvico do metabolismo da glicose. Algumas entéricas subsequentemente usam a rota de mistura de ácidos para metabolizar ácido pirúvico a outros ácidos, tais como ácidos lático, ácido acético e fórmico. Estas bactérias são chamadas "vermelho de metila positivas" e incluem Escherichia coli e Proteus vulgaris. Outras entéricas subsequentemente são a rota do butilenoglicol para metabolizar ácido pirúvico a produtos neutros finais. Estas bactérias são chamadas "vermelho de metila negativas" e incluem Serratia marcescens e Enterobacter aerogenes.[8]
Processo
Um isolado é inoculado em um tubo com uma alça de transferência estéril. O tubo é incubado a 35 °C por 2 a 5 dias. Após a incubação, 2.5 ml do meio é transferido para outro tubo. Cinco gotas do indicador de pH vermelho de metila é adicionado a este tubo. O tubo é gentilmente rolado entre as palmas das mãos para dispersar o indicador.[8]
Resultados esperados
Entéricas que subsequentemente metabolizam ácido pirúvico a outros ácido baixam o pH do meio a 4.2. A este pH, vermeho de metila torna-se vermelho. Uma cor vermelha representa um teste positivo. Entéricas que subsequentemente metabolizam ácido pirúvico a porutos finais neutros baixam o pH do meio a somente 6.0. A este pH, vermelho de metila é amarelo. Uma cor amarela representa um teste negativo.[8]
Outros usos
Murexida e vermelho de metila são pesquisados como promissores reforçadores para a destruição sonoquímica de organoclorados poluentes.[9]
É utilizado na produção de padrões artificiais juntamente com o azul de metileno para a titulação estequiométrica de cálcio, magnésio e manganês a baixa concentração com EDTA, com os indicadores murexida e preto de eriocromo T.[10]
Segurança
Vermelho de metila é classificado pela IARC no grupo 3 - não classificado como tendo potencial carcinogênico em humanos. Sua notações de risco são R20 R21 R22 R36 R37 R38 R40.
Ver também
- Metil
- Indicador universal
- Amarelo de metilo
- Alaranjado de metila
- Vermelho de parametila
- Violeta de metila
Referências
- ↑ Methyl Red em worldwideschool.org
- ↑ H. T. Clarke and W. R. Kirner (1941). «Methyl Red». Org. Synth.; Coll. Vol., 1
- ↑ 18.6 - Indicators Arquivado em 22 de setembro de 2009, no Wayback Machine. - ibchem.com
- ↑ a b Acid Base Indicators Arquivado em 16 de julho de 2011, no Wayback Machine. - ifs.massey.ac.nz (em inglês)
- ↑ Preparation of Acid-Base Indicators - www.csudh.edu
- ↑ Jesus Miguel Tajra Adad; Controle Químico de Qualidade; Vega, 1969 - books.google.com.br. ISBN 8570301073
- ↑ a b 1. ACID-BASE MEASUREMENTS - www.chem.science.unideb.hu
- ↑ a b c Assays and Characterization - www.ruf.rice.edu (em inglês)
- ↑ Activity-1 Chemical degradation of Persistent Organic Pollutants. (Responsible: Dr Giuseppe Mascolo) - www.irsa.cnr.it
- ↑ Odd Gjems; Stoicheiometry of titration of calcium, magnesium and manganese at low concentration with EDTA, with the metal indicators murexide and Eriochrome black T; Analyst, 1960, 85, 738 - 744, DOI: 10.1039/AN9608500738 - www.rsc.org (em inglês)
Ligações externas
- Nile Chemicals -- Methyl Red Um site mostrando algumas informações extras sobre vermelho de metila.
- Síntese do vermelho de metila

